View Article

Abstract

The 5-HT (serotonin) and dopamine receptor antagonist ziprasidone (CP-88,059) has strong effects in preclinical tests that predict antipsychotic effectiveness. In vitro and in vivo, the molecule has dopamine antagonistic properties; however, its strongest effect is on 5-HT2A receptors, where its affinity is an order of magnitude higher than that of dopamine D2 sites. [1] Antagonism of 5-HT2A receptors in the brain is thought to boost efficacy against negative symptoms of schizophrenia and decrease the unwanted motor side effects associated with dopamine receptor blockade, based on laboratory and clinical data.[2] Ziprasidone has a greater affinity ratio for the 5-HT2A/dopamine D2 receptor in vitro than any other antipsychotic medication currently on the market. In vivo, ziprasidone has six times the potency to block d-amphetamine-induced hyperactivity, a measure of central dopamine D2 receptor antagonism, than it does to prevent 5-HT2A receptor-induced head twitch. Additionally, ziprasidone exhibits strong affinity for the 5-HT1A, 5-HT1D, and 5-HT2C receptor subtypes, which may enhance its therapeutic efficacy. Ziprasidone's relatively weak ability to cause catalepsy in animals, in contrast to its strong antagonism of conditioned avoidance responding and dopamine agonist-induced locomotor activation and stereotypy, supports the prediction of antipsychotic efficacy without severe motor side effects. Animals can tolerate the substance at levels that effectively block dopamine in the brain. The treatment of psychotic disorders should benefit from the addition of ziprasidone.[3][4].

Keywords

Additionally, ziprasidone exhibits strong affinity for the 5-HT1A, 5-HT1D, and 5-HT2C receptor subtypes

Introduction

Antipsychotic medications can manage psychotic and other symptoms that are present in several neuropsychiatric conditions, such as schizophrenia, bipolar disorder, major depressive disorder, Tourette's syndrome, generalized anxiety disorder, obsessive-compulsive disorder, autism, and some personality disorders. The widespread use of these medications, particularly second-generation antipsychotics, has shown that long-term usage can result in serious adverse effects like long QT syndrome, metabolic syndrome, and type 2 diabetes. However, Tek et al.'s meta-analysis of data from clinical studies revealed that the metabolic adverse effects of antipsychotic medications are not all the same. When compared to a placebo, the results indicated that olanzapine and clozapine induced the greatest weight gain. Ziprasidone (ZIP), on the other hand, had little effect on metabolism. An antipsychotic drug is a type of medication used to treat symptoms of psychosis, such as hallucinations, delusions, and disorganized thinking. They are also used to manage other psychiatric disorders like schizophrenia, bipolar disorder, and schizoaffective disorder. Antipsychotics work by influencing neurotransmitters in the brain, particularly dopamine and serotonin, to reduce psychotic symptoms.

Side Effects:

  • Abnormal movements
  • Constipation
  • Dizziness and sedation
  • Drug-induced movement disorders
  • Drug interactions
  • Dry mouth
  • Heart and circulatory problems
  • High blood sugar
  • High cholesterol
  • High prolactin levels
  • Immune disruption
  • Jaundice
  • Painful muscle contractions (dystonias)
  • Tardive dyskinesia
  • Type 2 diabetes
  • Urinary retention
  • Weight gain

Common Uses:

  • Schizophrenia
  • Bipolar disorder (manic or mixed episodes)
  • Severe depression with psychosis
  • Tourette syndrome
  • Severe agitation or
  • aggression (especially in dementia, autism, or intellectual disabilities)

Monitoring and Risks:

  • Blood tests may be needed (especially for clozapine).
  • Weight, glucose, and cholesterol monitoring are crucial for individuals with atypical conditions.
  • Regular check-ups for movement disorders (like tardive dyskinesia).

Structure:

Ziprasidone is chemically similar to risperidone, a structural analogue of which it is. It was first synthesized in 1987 at the Pfizer Central Research Campus in Groton, Connecticut. Phase I trials started in 1995. In 1998, ziprasidone was approved in Sweden. After the FDA raised concerns about long QT syndrome, more clinical trials were conducted and submitted to the FDA, which approved the drug on February 5, 2001.

Physicochemical Properties:

Pharmacokinetic Properties:

BCS Classification: -

Absorption: When taken orally with food, the bioavailability is around 70%. IM administration offers close to 100% bioavailability. The time to reach peak plasma concentration (Tmax) is swift with the IM formulation (60 minutes), while for the oral formulation, Tmax is approximately 6 to 8 hours. Steady-state plasma concentration is achieved within 1 to 3 days of dosing[5]

Distribution: Ziprasidone has a high plasma protein binding of 99%.

Metabolism: Ziprasidone undergoes primary metabolism mediated by glutathione and aldehyde oxidase, with CYP1A2 and CYP3A4 having a minor role. Active metabolites generated include benzothiazole sulfoxide and benzothiazole sulfone.[6]

Mechanism Of Action:

Ziprasidone is an atypical antipsychotic that has a binding affinity for dopaminergic (DA), serotonergic (5HT), adrenergic (α1), and histaminergic (HA) receptors. Regarding treatment for schizophrenia, antagonism of the dopamine (D2) receptor in the mesolimbic pathway is efficacious in diminishing positive symptoms, whereas the antagonism of the 5-HT2A receptor in the mesocortical pathway demonstrated a reduction of negative symptoms of psychosis.[7] The drug's efficacy and mechanism of action for treating bipolar disorder are unknown. Ziprasidone also demonstrates weak activity at the norepinephrine and serotonin transporters. Histaminergic and adrenergic (α1) receptor antagonization can induce somnolence and orthostatic hypotension.[8]

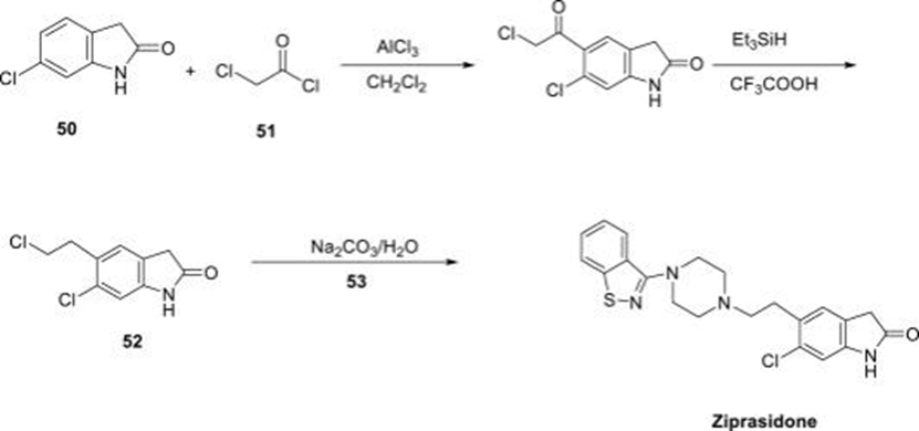
Method Of Synthesis:

Medicinal Uses:

Approved Indications:

1. Schizophrenia: Treatment of schizophrenia in adults and adolescents (13-17 years old).

2. Bipolar Disorder: Treatment of manic or mixed episodes associated with bipolar disorder in adults and children (10-17 years old).

3. Major Depressive Disorder (MDD) with Psychotic Features: Adjunct therapy with antidepressants for MDD with psychotic features.

Off-Label Uses:

1. Agitation and Aggression: Management of agitation and aggression in patients with dementia, autism spectrum disorder, or other conditions.

2. Post-Traumatic Stress Disorder (PTSD): Reduction of symptoms of PTSD.

3. Tourette's Syndrome: Treatment of tics and other symptoms associated with Tourette's syndrome.

Other Potential Uses:

1. Anxiety Disorders: Treatment of anxiety disorders, such as generalized anxiety disorder or social anxiety disorder.

2. Sleep Disorders: Management of sleep disorders, such as insomnia or sleep apnea.

3. Substance Use Disorders: Treatment of substance use disorders, such as addiction to opioids or other substances.

Important Considerations:

1. Dosage and Administration: Varies depending on condition, age, and response.

2. Side Effects: Common side effects include drowsiness, weight gain, and increased risk of suicidal thoughts and behaviors.

3. Contraindications and Warnings: Contraindicated in patients with QT interval prolongation or hypersensitivity reactions. Use with caution in pregnancy and lactation.

Adverse Effects:

Adverse effects that usually do not require medical attention (report to your care team if they continue or are bothersome):[15]

  • Constipation
  • Dizziness
  • Drowsiness
  • Headache
  • Nausea
  • Upset stomach
  • Weight gain

Treatment Of Overdose:

Overdose of Ziprasidone:

Symptoms:

  • Sedation or drowsiness
  • Tachycardia (fast heart rate)
  • Hypotension (low blood pressure)
  • QT prolongation leading to serious arrhythmias (e.g., torsades de pointes)
  • Extrapyramidal symptoms
  • Seizures (rare)
  • Coma (in extreme cases)

Management:

  • No specific antidote; treatment is supportive and symptomatic.
  • Cardiac monitoring is critical due to the risk of QT prolongation.
  • Activated charcoal may be given if the patient presents early (within 1 hour).
  • IV fluids, vasopressors for hypotension if needed.
  • Monitoring for arrhythmias and electrolytes.
  • Airway protection and intubation if respiratory depression is significant.
  • Benzodiazepines may be used for seizures or severe agitation.

Contraindications:

  • Besides hypersensitivity reactions to ziprasidone or formulation excipients, several contraindications are listed below.
  • Patients with a known history of QT prolongation, including congenital long QT syndrome.
  • Patients with uncompensated heart failure.
  • Patients with recent acute myocardial infarction.
  • Patients taking medicines that have demonstrated QT prolongation, including class Ia and III antiarrhythmics, dofetilide, sotalol, quinidine, thioridazine, mesoridazine, chlorpromazine,  pimozide, droperidol, sparfloxacin, moxifloxacin, gatifloxacin, halofantrine, pentamidine, mefloquine, arsenic trioxide, levomethadyl acetate, dolasetron mesylate, probucol, or tacrolimus.[9]

Warning and Precautions:

Patients taking drugs that act on the central nervous system should also not take ziprasidone due to potential adverse reactions.[10][11] Many antihypertensive agents increase their effects when used with ziprasidone, leading to hypotension. Dopamine D2 receptor antagonism by ziprasidone may counter the therapeutic effect of levodopa and dopamine agonists.[12][13]

Box Warning:

Older patients with dementia-related psychosis undergoing treatment with antipsychotic drugs, including ziprasidone, face an elevated risk of mortality. As a result, ziprasidone is not approved by the FDA for use in older patients with dementia-related psychosis. The increased mortality risk is mainly attributed to cardiovascular or infectious causes, such as heart failure, sudden cardiac death, or pneumonia.[14]

Interaction:

Pharmacodynamic Interactions:

1. Central Nervous System (CNS) Depressants: Concomitant use with CNS depressants (e.g., benzodiazepines, opioids) may increase the risk of sedation and respiratory depression.

2. Anticholinergic Medications: Concomitant use with anticholinergic medications (e.g., antihistamines, antipsychotics) may increase the risk of anticholinergic side effects.

3. Dopaminergic Medications: Concomitant use with dopaminergic medications (e.g., levodopa, dopamine agonists) may increase the risk of dopamine-related side effects.

Other Interactions:

1. Food: High-fat meals may increase ziprasidone absorption.

2. Grapefruit Juice: Grapefruit juice may increase ziprasidone levels.

3. Smoking: Smoking may decrease ziprasidone levels.

Monitoring and Precautions:

1. Electrocardiogram (ECG) Monitoring: Regular ECG monitoring is recommended for patients taking ziprasidone, especially when co-administered with other medications that prolong the QT interval.

2. Vital Sign Monitoring:  Regular monitoring of vital signs, including blood pressure, heart rate, and respiratory rate, is recommended.

3. Clinical Monitoring: Regular clinical monitoring for signs of adverse effects, such as sedation, anticholinergic side effects, or dopamine-related side effects, is recommended.

Conventional Marketed Formulation:

  • Brand Names: Geodon, Zeldox
  • Generic Name: Ziprasidone

Pharmaceutical Companies:

1. Pfizer: Pfizer is one of the primary manufacturers of ziprasidone, marketing it under the brand name Geodon.

2. Teva Pharmaceuticals: Teva Pharmaceuticals offers a generic version of ziprasidone.

3. Mylan Pharmaceuticals: Mylan Pharmaceuticals also offers a generic version of ziprasidone.

4. Sun Pharmaceutical Industries: Sun Pharmaceutical Industries is another company that manufactures and markets generic ziprasidone.

Brand Names:

1. Geodon: Geodon is a brand name for ziprasidone marketed by Pfizer.

2. Ziprasidone HCl: This is a generic name for ziprasidone hydrochloride, which is available from various manufacturers.

Dosage of Ziprasidone:

Oral Formulation:

1. Schizophrenia: The recommended initial dose is 20mg twice daily, with a target dose of 40-80mg twice daily.

2. Bipolar Disorder: The recommended initial dose is 40mg twice daily, with a target dose of 40-80mg twice daily.

3. Major Depressive Disorder (MDD) with Psychotic Features: The recommended initial dose is 20mg twice daily, with a target dose of 40-80mg twice daily.

 

Types/form

Description

Strength Available

Brand Name

Capsule

(Oral)

Oral solid dosage

From, taken by mouth

20mg, 40mg,60mg,80mg

Geodon

Injection

(IM)

Intramuscular injection is used for acute agitation in schizophrenia

20mg (single-dose vial)

Geodon Injection

Oral

Suspension

Not commonly available may be compounded if needed

Variable (compounded)

-

Injectable Formulation:

1. Schizophrenia: The recommended dose is 10-20mg intramuscularly, with a maximum dose of 40mg per day.

2. Bipolar Disorder: The recommended dose is 10-20mg intramuscularly, with a maximum dose of 40mg per day.

Dosage Adjustments:

1. Renal Impairment: No dosage adjustment is necessary for patients with mild to moderate renal impairment. However, patients with severe renal impairment should be closely monitored.

2. Hepatic Impairment: No dosage adjustment is necessary for patients with mild to moderate hepatic impairment. However, patients with severe hepatic impairment should be closely monitored.

Administration:

1. Oral: Ziprasidone should be taken orally, twice daily, with or without food.

2. Intramuscular: Ziprasidone should be administered intramuscularly, into the gluteal or deltoid muscle.

Monitoring:

1. Electrocardiogram (ECG): Regular ECG monitoring is recommended for patients taking ziprasidone, especially when co-administered with other medications that prolong the QT interval.

2. Vital Signs: Regular monitoring of vital signs, including blood pressure, heart rate, and respiratory rate, is recommended.

3. Clinical Monitoring: Regular clinical monitoring for signs of adverse effects, such as sedation, anticholinergic side effects, or dopamine-related side effects, is recommended.

Sources:

- Online pharmacies

- Pharmaceutical company websites

- Medical billing websites

Patent:

Ziprasidone, known as Geodon, is an atypical antipsychotic medication with patents held by Pfizer, Inc., and its expiration dates vary depending on the specific patent.

Here's a more detailed breakdown:

Patent Holder: Pfizer, Inc.

Drug Type: Atypical antipsychotic

Uses: Approved for treating schizophrenia, bipolar mania, and acute agitation in individuals with schizophrenia.

Patents and Expiration:

  • The oral form of ziprasidone is the hydrochloride salt, ziprasidone hydrochloride.
  • The intramuscular form is the mesylate salt, ziprasidone mesylate trihydrate, and is provided as a lyophilized powder.
  • According to accessdata.fda.gov, the ANDA, Geodon Capsules of Pfizer, Inc., is subject to periods of patent protection.
  • US Patent US-7175855-B1 chemical patent summary.
  • US Patent US6150366A Ziprasidone formulations.
  • US Patent US8178674B2 Process for the preparation of ziprasidone.
  • EP Patent EP1476162B1 Controlled synthesis of ziprasidone.
  • EP Patent EP 0965343 B1 Ziprasidone formulations.

CONCLUSION:

Ziprasidone has been reported to be an effective antipsychotic drug for both positive and negative symptoms of schizophrenia, and long-term use has been effective in preventing relapse. Ziprasidone has been associated with a low incidence of sedative effects, a low likelihood of extrapyramidal symptoms and postural hypotension, and no anticholinergic effect, although it may cause transient hyperprolactinemia. Unlike most atypical antipsychotic drugs, ziprasidone is not associated with weight gain, hyperlipidemia, or elevated plasma glucose levels. Differences in efficacy and tolerability between existing atypical antipsychotic drugs allow individualization of drug therapy for patients with schizophrenia or schizoaffective disorder. Ziprasidone differs from other atypical antipsychotic drugs in several clinically important ways, although further experience is necessary to clarify the significance of these differences.

REFERENCES

  1. Seeger, T.F., Seymour, P.A., Schmidt, A.W., Zorn, S.H., D.W., Lebel, L.A., McLean, S., Guanowsky, V., Howard, H.R., & Lowe, J.A. Ziprasidone (CP-88,059): a new antipsychotic combined dopamine and serotonin receptor antagonist activity. The Journal of Pharmacology and Experimental Therapeutics,(1995), 275(1), 101-113.
  2. Stahl, S.M., & Shayegan, D.K. The psychopharmacology of ziprasidone: receptor–binding properties and real–world psychiatric practice. The Journal of Clinical Psychiatry,(2003),64(Suppl 19), 6- 12.
  3. Bristow, L.J., Cook, G.J., Gay, J.C., & Hutsob, P.H. Ziprasidone: a novel antipsychotic agent with a unique human receptor binding profile. European Journal of Pharmacology, (1997),338(2-3), R3-R5.
  4. Gefvert,O., Erikson,B., Persson,P., Helldin,L., Bjork,A., & Mannnaert,E.,. A PET study of dopamine D2 and serotonin 5-HT2 receptor occupancy in patients with schizophrenia treated with therapeutic doses of ziprasidone. The American Journal of Psychiatry, (2004), 161(5), 818-825.
  5. Mauri MC, Paletta S, Di Pace C, Reggiori A, Cirnigliaro G, Valli I, Altamura AC. Clinical Pharmacokinetics of Atypical Antipsychotics: An Update. Clin Pharmacokinet. 2018 Dec;57(12):1493-1528.
  6. Keepers GA, Fochtmann LJ, Anzia JM, Benjamin S, Lyness JM, Mojtabai R, Servis M, Walaszek A, Buckley P, Lenzenweger MF, Young AS, Degenhardt A, Hong SH. (Systematic Review). The American Psychiatric Association Practice Guideline for the Treatment of Patients With Schizophrenia. Am J Psychiatry. 2020 Sep 01;177(9):868-872.
  7. Davis KL, Kahn RS, Ko G, Davidson M. Dopamine in schizophrenia: a review and reconceptualization. Am J Psychiatry. 1991 Nov;148(11):1474-86.
  8. Rao NP, Remington G. Targeting the dopamine receptor in schizophrenia: investigational drugs in Phase III trials. Expert Opin Pharmacother. 2014 Feb;15(3):373-83.
  9. Aronow WS, Shamliyan TA. Effects of atypical antipsychotic drugs on QT interval in patients with mental disorders. Ann Transl Med. 2018 Apr;6(8):147.
  10. Jeon SW, Kim YK. Unresolved Issues for Utilization of Atypical Antipsychotics in Schizophrenia: Antipsychotic Polypharmacy and Metabolic Syndrome. Int J Mol Sci. 2017 Oct 18;18(10)
  11. Crotti L, Celano G, Dagradi F, Schwartz PJ. Congenital long QT syndrome. Orphanet J Rare Dis. 2008 Jul 07;3:18.
  12. Tisdale JE. Drug-induced QT interval prolongation and torsades de pointes: Role of the pharmacist in risk assessment, prevention, and management. Can Pharm J (Ott). 2016 May;149(3):139-52.
  13. Stroup TS, Gray N. Management of common adverse effects of antipsychotic medications. World Psychiatry. 2018 Oct;17(3):341-356.
  14. Steinberg M, Lyketsos CG. Atypical antipsychotic use in patients with dementia: managing safety concerns. Am J Psychiatry. 2012 Sep;169(9):900-6.
  15. Caley CF, Cooper CK. Ziprasidone: the fifth atypical antipsychotic. Ann Pharmacother. 2002 May;36(5):839-51.

Reference

  1. Seeger, T.F., Seymour, P.A., Schmidt, A.W., Zorn, S.H., D.W., Lebel, L.A., McLean, S., Guanowsky, V., Howard, H.R., & Lowe, J.A. Ziprasidone (CP-88,059): a new antipsychotic combined dopamine and serotonin receptor antagonist activity. The Journal of Pharmacology and Experimental Therapeutics,(1995), 275(1), 101-113.
  2. Stahl, S.M., & Shayegan, D.K. The psychopharmacology of ziprasidone: receptor–binding properties and real–world psychiatric practice. The Journal of Clinical Psychiatry,(2003),64(Suppl 19), 6- 12.
  3. Bristow, L.J., Cook, G.J., Gay, J.C., & Hutsob, P.H. Ziprasidone: a novel antipsychotic agent with a unique human receptor binding profile. European Journal of Pharmacology, (1997),338(2-3), R3-R5.
  4. Gefvert,O., Erikson,B., Persson,P., Helldin,L., Bjork,A., & Mannnaert,E.,. A PET study of dopamine D2 and serotonin 5-HT2 receptor occupancy in patients with schizophrenia treated with therapeutic doses of ziprasidone. The American Journal of Psychiatry, (2004), 161(5), 818-825.
  5. Mauri MC, Paletta S, Di Pace C, Reggiori A, Cirnigliaro G, Valli I, Altamura AC. Clinical Pharmacokinetics of Atypical Antipsychotics: An Update. Clin Pharmacokinet. 2018 Dec;57(12):1493-1528.
  6. Keepers GA, Fochtmann LJ, Anzia JM, Benjamin S, Lyness JM, Mojtabai R, Servis M, Walaszek A, Buckley P, Lenzenweger MF, Young AS, Degenhardt A, Hong SH. (Systematic Review). The American Psychiatric Association Practice Guideline for the Treatment of Patients With Schizophrenia. Am J Psychiatry. 2020 Sep 01;177(9):868-872.
  7. Davis KL, Kahn RS, Ko G, Davidson M. Dopamine in schizophrenia: a review and reconceptualization. Am J Psychiatry. 1991 Nov;148(11):1474-86.
  8. Rao NP, Remington G. Targeting the dopamine receptor in schizophrenia: investigational drugs in Phase III trials. Expert Opin Pharmacother. 2014 Feb;15(3):373-83.
  9. Aronow WS, Shamliyan TA. Effects of atypical antipsychotic drugs on QT interval in patients with mental disorders. Ann Transl Med. 2018 Apr;6(8):147.
  10. Jeon SW, Kim YK. Unresolved Issues for Utilization of Atypical Antipsychotics in Schizophrenia: Antipsychotic Polypharmacy and Metabolic Syndrome. Int J Mol Sci. 2017 Oct 18;18(10)
  11. Crotti L, Celano G, Dagradi F, Schwartz PJ. Congenital long QT syndrome. Orphanet J Rare Dis. 2008 Jul 07;3:18.
  12. Tisdale JE. Drug-induced QT interval prolongation and torsades de pointes: Role of the pharmacist in risk assessment, prevention, and management. Can Pharm J (Ott). 2016 May;149(3):139-52.
  13. Stroup TS, Gray N. Management of common adverse effects of antipsychotic medications. World Psychiatry. 2018 Oct;17(3):341-356.
  14. Steinberg M, Lyketsos CG. Atypical antipsychotic use in patients with dementia: managing safety concerns. Am J Psychiatry. 2012 Sep;169(9):900-6.
  15. Caley CF, Cooper CK. Ziprasidone: the fifth atypical antipsychotic. Ann Pharmacother. 2002 May;36(5):839-51.

Photo
Bhagyashri Randhawan
Corresponding author

Arihant College of Pharmacy, Kedgaon, Ahilyanagar – 414005.

Photo
Chaudhari Gauri
Co-author

Arihant College of Pharmacy, Kedgaon, Ahilyanagar – 414005.

Photo
Mule Gayatri
Co-author

Arihant College of Pharmacy, Kedgaon, Ahilyanagar – 414005.

Photo
Munot Navinya
Co-author

Arihant College of Pharmacy, Kedgaon, Ahilyanagar – 414005.

Photo
Javane Nalini
Co-author

Arihant College of Pharmacy, Kedgaon, Ahilyanagar – 414005.

Photo
Damale Anjali
Co-author

Arihant College of Pharmacy, Kedgaon, Ahilyanagar – 414005.

Photo
Bhavar Pradnya
Co-author

Arihant College of Pharmacy, Kedgaon, Ahilyanagar – 414005.

Photo
Maske Vaibhavi
Co-author

Arihant College of Pharmacy, Kedgaon, Ahilyanagar – 414005.

Chaudhari Gauri, Bhagyashri Randhawan*, Mule Gayatri, Munot Navinya, Javane Nalini, Damale Anjali, Bhavar Pradnya, Maske Vaibhavi, Ziprasidone: A Potent Drug as an Antipsychotic, Int. J. of Pharm. Sci., 2025, Vol 3, Issue 8, 2709-2717 https://doi.org/10.5281/zenodo.16947413

More related articles
An Overview Of Breast Cancer: Pathogenesis, Histol...
Rohini Satdive, Snehal Rathod, Prachi Kawade, Laxmi Korde, Sabafa...
Formulation and Evaluation of Herbal Jam Containin...
Dr. Gourishankar Birtia, Dron Kumar Sahu, Suchita Wamanka, Tilak ...
Analyzing Daridorexant Using RP-HPLC Method: Devel...
Sunil V Garad, Nanda B Bhalke, Gajanan Y Rapelliwar , S. S. Pati...
Preparation and Formulation of Adulsa Cough Syrup...
Hanuman Idhole , Swati Aswani, Dr M .D. Kitukale , ...
Green Chemistry Approaches in Drug Synthesis: Eco-Friendly Solvents, Catalysts a...
Deep Jyoti Shah, Ankita Singh, Pratik Kumar, Ankit Kumar, Abhishek Kumar , Anushreya Soreng, Aryan R...
Related Articles
Anti-Helminthic Syrup by Herbal Extract...
Kanifnath Nanvare , Samruddhi Rajpure , Ulka Mote, ...
Review Article On Crisium Arvense...
Shivani, Dev Prakash, Bhavneshwari Devi, ...
A Review on : In-situ Nasal Gel of Vortioxetine hydrobromide...
Mitali Oza, Krina Patel, Varsha Chaudhary, Dr. Pankaj Prajapati, ...
Complexity of In - Vitro Cultivation of Human Spine by Researchers ...
Shaik Parveen, Dundi Harika, Nandam Deepak japhanya, Ganta Yamini, ...
An Overview Of Breast Cancer: Pathogenesis, Histology, Epidemiology, Risk Factor...
Rohini Satdive, Snehal Rathod, Prachi Kawade, Laxmi Korde, Sabafarin Shaikh, Renuka Sagane, ...
More related articles
An Overview Of Breast Cancer: Pathogenesis, Histology, Epidemiology, Risk Factor...
Rohini Satdive, Snehal Rathod, Prachi Kawade, Laxmi Korde, Sabafarin Shaikh, Renuka Sagane, ...
Formulation and Evaluation of Herbal Jam Containing Chlorophytum Borivilianum as...
Dr. Gourishankar Birtia, Dron Kumar Sahu, Suchita Wamanka, Tilak Kumar Sinha, Diksha Dilliwar, ...
Analyzing Daridorexant Using RP-HPLC Method: Development And Validation...
Sunil V Garad, Nanda B Bhalke, Gajanan Y Rapelliwar , S. S. Patil, S P. Kumbhar , ...
An Overview Of Breast Cancer: Pathogenesis, Histology, Epidemiology, Risk Factor...
Rohini Satdive, Snehal Rathod, Prachi Kawade, Laxmi Korde, Sabafarin Shaikh, Renuka Sagane, ...
Formulation and Evaluation of Herbal Jam Containing Chlorophytum Borivilianum as...
Dr. Gourishankar Birtia, Dron Kumar Sahu, Suchita Wamanka, Tilak Kumar Sinha, Diksha Dilliwar, ...
Analyzing Daridorexant Using RP-HPLC Method: Development And Validation...
Sunil V Garad, Nanda B Bhalke, Gajanan Y Rapelliwar , S. S. Patil, S P. Kumbhar , ...