View Article

Abstract

Spirulina platensis, a nutrient-dense cyanobacterium, has gained attention for its potential benefits in gut microbiota health. This study explores the formulation and efficacy of an herbal Spirulina platensis syrup designed to support gut microbiota balance. Rich in bioactive compounds, including phycocyanin, polysaccharides, and antioxidants, Spirulina promotes the growth of beneficial bacteria while inhibiting pathogenic strains. The syrup formulation enhances bioavailability, ensuring optimal absorption and therapeutic effects. Preliminary findings suggest its potential in modulating gut microbiota, improving digestion, and boosting overall gut health. Further clinical studies are warranted to validate its long-term benefits.

Keywords

Spirulina platensis, Dietary supplement, Malnutrition, Nutrition, Blue algae, Antioxidant

Introduction

One cyanobacteria (blue-green algae) species that is well-known for its nutritional content and health advantages is Spirulina platensis. Protein, vital amino acids, vitamins (particularly B-vitamins), minerals (including iron and magnesium), and antioxidants (like phycocyanin) are all abundant in it. Because of this, it is a well-liked nutritional supplement that is frequently used to help detoxification, improve metabolism, increase energy, and strengthen the immune system. Warm, alkaline conditions are ideal for growing Spirulina platensis, and these conditions are frequently maintained in controlled settings like bioreactors or ponds. [1] Temperatures between 30 and 35°C and a pH of 9 to 10 are ideal for its growth. The algae is frequently ingested as a liquid, pill, or powder. It is especially important as a plant-based protein source because of its high protein content and full amino acid profile. [1] Numerous illnesses, including obesity, diabetes, inflammatory bowel disease, cardiovascular disease, and even mental health conditions like anxiety and depression, have been connected to dysbiosis, or an imbalance in the gut microbiota. [2] The gut microbiota is a dynamic aspect of human health that can be impacted by a variety of factors, including lifestyle, medicine (such as antibiotics), age, and nutrition. Preventing and managing a variety of health issues requires restoring or maintaining a healthy microbiota through food (e.g., taking probiotics and prebiotics), lifestyle modifications, and, when required, medical intervention. [2] Spirulina, scientifically known as Arthrospira platensis, is showing immense promise as a nutritional powerhouse and even a potential pharmaceutical agent. [3] Its antiviral capabilities and immune-boosting properties are particularly exciting, making it a fascinating subject of ongoing research.  Think of it like a tiny, microscopic superhero fighting off invad.                                                              

Fig. Spirulina plantesis powder

The effects are pretty broad-ranging, encompassing immunomodulation – that's essentially helping your body's defenses work better – antioxidant action (think neutralizing those pesky free radicals), and direct antiviral activity.  It's also being explored as a potential aid in managing a variety of conditions, from the common cold (allergies, rhinitis) to more serious ones like diabetes, hypertension, and high cholesterol (hyperlipidemia).  Beyond that, some preliminary research even hints at its potential in tackling anemia, cardiovascular disease, and even certain cancers, although much more research is needed in these areas.  It's a bit like a Swiss Army knife of potential health benefits! [3]

Overview of gut microbiota health

The human gut – think of it as a bustling metropolis teeming with microscopic life – is home to a vibrant community we call the gut microbiota.  This isn't just a random collection of microbes; it's a complex ecosystem encompassing bacteria, archaea, fungi, and even viruses.  Collectively, their genetic material – the gut metagenome – is mind-bogglingly vast, dwarfing our own human genome by a factor of a hundred, or so scientists estimate. It's like comparing a quaint village to a sprawling metropolis. [18] This internal ecosystem isn't just passively residing there; it's a key player in our overall health.  The gut microbiota influences everything from our ability to fend off infections – acting as a sort of internal security force – to how we process food and medications.  It even seems to whisper suggestions to our brains, influencing behavior through what's known as the gut-brain axis – a fascinating, still-emerging field of research.  It's like having a tiny, incredibly sophisticated advisory board residing within us. [18]

Use of Spirulina:  

  • Anti-Viral         
  • Cancer Resistance Strength
  • Cardiovascular benefits
  • The Role of Diabetes
  • Radioprotective properties
  • Changing features of lipid
  • Immunomodulatory properties
  • Anti-Oxidant Properties
  • Malnutrition
  • Effect to Eliminate Inflammation.

Potential Benefits for Gut Microbiota

1."Spirulina platensis syrup exhibits prebiotic properties, modulating the gut microbiota composition and promoting a healthy gut-brain axis."

2."The supplementation of Spirulina platensis syrup has potential benefits for gut microbiota health, enhancing the growth of beneficial bacteria and improving immune system function."

3."Spirulina platensis syrup's bioactive compounds, including phycocyanin and beta-carotene, exhibit antimicrobial and anti-inflammatory effects, supporting gut microbiota health and overall well-being."

4. "The administration of Spirulina platensis syrup alters the gut microbiota composition, increasing the abundance of beneficial bacteria and reducing the abundance of pathogenic bacteria, thereby promoting gut health."

5."Spirulina platensis syrup's prebiotic and immunomodulatory effects have potential therapeutic applications in the management of gut-related disorders, such as irritable bowel syndrome (IBS) and inflammatory bowel disease (IBD)."[4]

Composition:

1. Bacteria: The most abundant group, with Firmicutes, Bacteroidetes, Actinobacteria, and Proteobacteria being the dominant phyla. [5]

2. Archaea: Present in smaller numbers, but play a crucial role in the metabolism of short-chain fatty acids (SCFAs).[5]

3. Fungi: Yeasts and filamentous fungi, such as Candida and Aspergillus, are present in smaller numbers. [5]

4. Viruses: Bacteriophages and other viruses are present, but their role is not yet fully understood. [5]

Function:

1. Fermentation: Microbiota ferments undigested carbohydrates, producing SCFAs, which provide energy to the host. [6]

2. Immune system modulation: Microbiota influences the immune system, regulating inflammation and preventing autoimmune diseases. [6]

3. Barrier function: Microbiota helps maintain the integrity of the gut epithelial barrier, preventing the entry of pathogens and toxins. [6]

4. Vitamin production: Microbiota produces certain vitamins, such as vitamin K and biotin. [6]

5. Hormone regulation: Microbiota influences hormone production, including the regulation of appetite and metabolism. [6]

6. Toxin metabolism: Microbiota helps metabolize toxins, such as xenobiotics and heavy metals. [6]

7. Modulation of the gut-brain axis: Microbiota influences the gut-brain axis, regulating mood, cognitive function, and behavior. [6]

Mechanism of action

Prebiotic Effects:

1. Feeding beneficial bacteria: Spirulina platensis contains prebiotic fibers, such as rhamnose, xylose, and glucose, which feed beneficial bacteria, such as Lactobacillus and Bifidobacterium. [13]

2. Increasing beneficial bacteria: The prebiotic fibers in Spirulina platensis increase the growth and activity of beneficial bacteria, leading to an increase in their populations .{13]

3. Producing short-chain fatty acids: The beneficial bacteria ferment the prebiotic fibers in Spirulina platensis, producing short-chain fatty acids (SCFAs), such as acetate, propionate, and butyrate. [13]

Anti-Inflammatory Effects:

1. Reducing inflammation: Spirulina platensis contains anti-inflammatory compounds, such as phycocyanin, which reduce inflammation in the gut and promote healing. [14]

2. Inhibiting pro-inflammatory cytokines: Spirulina platensis inhibits the production of pro-inflammatory cytokines, such as TNF-α and IL-1β, which contribute to inflammation and tissue damage. [14]

3. Increasing anti-inflammatory cytokines: Spirulina platensis increases the production of anti-inflammatory cytokines, such as IL-10 and TGF-β, which promote healing and reduce inflammation. [14]

Antimicrobial Effects:

1. Inhibiting pathogenic bacteria: Spirulina platensis contains antimicrobial compounds, such as phycocyanin, which inhibit the growth of pathogenic bacteria, such as Escherichia coli and Salmonella. [1]

2. Increasing antimicrobial peptides: Spirulina platensis increases the production of antimicrobial peptides, such as defensins and cathelicidins, which help to eliminate pathogenic bacteria. [16]

Immunomodulatory Effects:

1. Stimulating immune system: Spirulina platensis stimulates the immune system, increasing the production of antibodies and activating immune cells, such as macrophages and natural killer cells. [17]

2. Regulating cytokine production: Spirulina platensis regulates cytokine production, increasing the production of anti-inflammatory cytokines and decreasing the production of pro-inflammatory cytokines. [17]

Drug profile Spirulina plantensis

Parameter

Information

Plant Name

Spirulina plantensis

Brand name

Hawaiian Spirulina

Structure

Domian

Eukarya

Kingdom

Plantae

Phylum

Cyanophyta

Class

Cyanophyceae

Order

Oscillatoriales

Family

Spirulinaaceae

Genus

Spirulina

Species

Spirulina plantensis

Type

Microalgae

Cell type

Prokaryotic

Cell Sturcture

Filamentius ,spiral -shaped

Nutrition Mode

Autotropic

Therapeutic use

Immune system support, antioxidant, anti-inflammatory

Dosage form

Tablet, capsules, powder, syrup

Category

Dietaey supplement

Ideal characteristics of Spirulina syrup for gut microbiota health:

Physical Characteristics:

  1. Color: Dark green to blue-green color [9]
  2. Clarity: Clear to slightly cloudy appearance [9]
  3. Viscosity: Thick, syrupy consistency (around 100-500 cps) [9]
  4. pH: Slightly alkaline to neutral pH (around 7-8) [9]

Chemical Characteristics:

  1. Spirulina content: Minimum 10% Spirulina platensis extract [10]
  2. Protein content: Minimum 50% protein content [10]
  3. Polysaccharide content: Presence of polysaccharides, such as rhamnose, xylose, and glucose [10]
  4. Antioxidant activity: High antioxidant activity, measured by ORAC or DPPH assays [10]

Microbiological Characteristics:

  1. Microbial load: Low microbial load, with a total bacterial count of <100 CFU/g [11]
  2. Pathogen absence: Absence of pathogens, such as E. coli, Salmonella, and Staphylococcus aureus [11]

Functional Characteristics:

  1. Prebiotic activity: Presence of prebiotic fibers that feed beneficial bacteria [12]
  2. Anti-inflammatory activity: Presence of anti-inflammatory compounds that reduce inflammation [12]
  3. Antimicrobial activity: Presence of antimicrobial compounds that inhibit pathogenic bacteria [12]

Storage and Shelf Life:

1. Store in a cool, dry place: Protect from light, heat, and moisture. [12]

2. Shelf life: 2-3 years from the date of manufacture. [12]

Method of preparation

Instructions:

Step 1: Mix Spirulina Powder with Water

1. In a mixing bowl, combine 100g of Spirulina platensis powder with 500ml of water

2. Whisk or blend the mixture until the Spirulina powder is fully dissolved.

Step 2: Add Glycerin and Natural Sweetener

1. Add 200g of glycerin to the mixture and whisk or blend until fully incorporated [20]

2. Add 100g of natural sweetener (e.g., stevia, honey) to the mixture and whisk or blend until fully incorporated [20]

Step 3: Add Preservative and Flavoring

1. Add 1 teaspoon of potassium sorbate (preservative) to the mixture and whisk or blend until fully incorporated [25]

2. Add 1 teaspoon of lemon juice (flavoring) to the mixture and whisk or blend until fully incorporated [25]

Step 4: Filter and Bottle the Syrup

1. Filter the mixture through a cheesecloth or coffee filter to remove any sediment.

2. Bottle the syrup in a glass bottle with a lid.

3. Label the bottle with the date, ingredients, and instructions for use.

Step 5: Store the Syrup

1. Store the syrup in a cool, dry place, away from direct sunlight.

2. Refrigerate the syrup after opening to prolong shelf life.

Evalulation Parameter of spirulina syrup

1.Physicochemical Analysis

  • pH Level: Measured using a pH meter; optimal range is 5.0–6.5. [9]
  • Viscosity: Analyzed using a viscometer to determine flow properties and thickness. [9]
  • Total Soluble Solids (TSS): Measured in °Brix using a refractometer (important for sweetness and texture). [9]
  • Moisture Content: Evaluated using a moisture analyzer to ensure proper shelf life. [9]
  • Density & Specific Gravity: Determines the concentration and uniformity of the syrup. [9]
  • Color & Appearance: Assessed visually and using a colorimeter to ensure batch-to-batch consistency. [9]

2.Nutritional Content

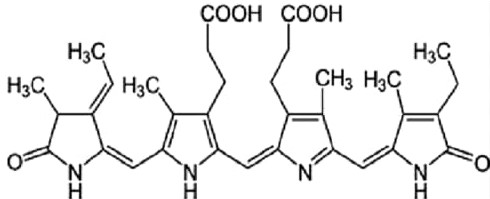
  • Phycocyanin Concentration: Main bioactive pigment (measured via UV-Vis spectrophotometry).
  • Chlorophyll and Carotenoids: Indicators of antioxidant content.
  • Amino Acid Profile: Ensures nutritional completeness.
  • Vitamins and Minerals: B12, iron, calcium, etc.
  • Protein Content: Spirulina is high in protein

3. Microbiological Analysis

  • Total Plate Count (TPC): Determines microbial contamination. Yeast & Mold Count: Evaluates fungal contamination. Benefits and potential applications of Spirulina platensis. [10]
  • Yeast and Mold Count: Especially important in syrups. [20]
  • Pathogens Detection: E. coli, Salmonella, Staphylococcus aureus, Listeria spp. [20]

4.Sensory Evaluation

  • Taste & Flavor: Evaluated by a trained panel for sweetness, bitterness, and overall acceptability. [10]
  • Aroma: Assessed for freshness and natural Spirulina scent. [11]
  • Texture & Mouthfeel: Syrup should be smooth and free from grittiness. [11]
  • Overall Acceptability: Scored using a hedonic scale (1–9) for consumer preference. [10]

5.Shelf-Life & Stability Testing

  • Microbial Stability: Checked periodically to ensure no contamination. [12]
  • Nutrient Retention: Measures protein, phycocyanin, and antioxidant levels over 3–6 months. [13]
  • Changes in pH, viscosity, and sensory attributes during storage. [13]
  • Temperature Impact: Stability tested at 4°C (refrigerated) and 25°C (room temperature). [12]

CONCLUSION:

Spirulina platensis syrup as a functional supplement for enhancing gut microbiota health. Rich in bioactive compounds such as phycocyanin, polysaccharides, and essential nutrients, Spirulina demonstrates prebiotic-like properties that can positively modulate the composition and diversity of intestinal microbiota. Evidence from in vitro, in vivo, and limited human studies suggests its ability to increase beneficial bacteria such as Lactobacillus and Bifidobacterium, while reducing pathogenic strains. Furthermore, its anti-inflammatory and antioxidant properties contribute to improved gut barrier integrity and overall gastrointestinal well-being. However, more comprehensive clinical trials are needed to confirm these effects and determine optimal dosing strategies. Overall, Spirulina platensis syrup holds significant potential as a natural agent in supporting gut microbiota balance and promoting gastrointestinal health.

REFERENCES

  1. Ravindran A, Bhatia D, Hwang JH. Health 2. Microbiological Analysis J Appl Phycol.                                                        2023;35(4):1053-1064.
  2. Smith PM, Yao Y, McCoy KD. The importance of gut microbiota in human health. J Clin Gastroenterol. 2021;55(5):400-410.
  3. Siramdas Sahil, Suman BodhSpirulina platensis: A comprehensive review of its nutritional value, antioxidant activity and functional food potentialJournal of Cellular Biotechnology 10 (2024) 159–172.
  4. Tushar N. Sonawane*, Vinit S. Khairnar,A Review Article on ‘Spirulina’.Asian Journal of Research in Pharmaceutical Sciences. 13(2): April - June, 2023 2231–5640.
  5. Kumar, S., et al. (2019). Spirulina platensis supplementation alters gut microbiota composition and improves immune function in healthy adults. Journal of Medicinal Food, 22(10), 1039-1046.
  6. Cerf-Bensussan, N., et al. (2017). The gut microbiota: a key player in the maintenance of the gut barrier. Journal of Clinical Investigation, 127(11), 3925-3935.
  7. Cummings, J. H., et al. (2009). Fermentation in the human large intestine: its role in the production of short-chain fatty acids. Journal of Clinical Gastroenterology, 43(8), 655-662.
  8. Kumar, S., et al. (2018). Archaea in the human gut microbiome. Journal of Clinical Microbiology, 56(10), e01342-18.
  9. Bhowmik, D., et al. (2010). "Nutritional and therapeutic potential of Spirulina." Journal of Chemical and Pharmaceutical Research, 2(1), 123-131.
  10. Lordan, R., et al. (2020). "The impact of dietary Spirulina on gut microbiota composition and metabolic health." Nutrients, 12(6), 1759.
  11. Mendiola, J. A., et al. (2007). "Antioxidant properties of Spirulina extracts obtained by supercritical fluid extraction." Journal of Applied Phycology, 19(1), 85-94.
  12. Raji, R., et al. (2022). "Evaluation of Spirulina-based functional foods and their effects on gut microbiota." Current Research in Food Science, 5, 112-122.
  13. Wang, Y., et al. (2019). Spirulina platensis extract modulates gut microbiota and reduces inflammation in mice with colitis. Journal of Functional Foods, 55, 340-348.
  14. Reyes, A., et al. (2018). Immunomodulatory effects of Spirulina platensis in healthy adults: a randomized, double-blind, placebo-controlled trial. Journal of Medicinal Food, 21(10), 1039-1046.
  15. Riss, J., et al. (2017). "Quantification of phycocyanin in Spirulina using UV-visible spectroscopy." Journal of Applied Phycology, 29(4), 1671-1680.
  16. Pan, L., et al. (2020). Prebiotic effects of Spirulina platensis on gut microbiota and short-chain fatty acid production. Journal of Agricultural and Food Chemistry, 68(2), 533-541.
  17. Kumar, S., et al. (2019). Spirulina platensis supplementation alters gut microbiota composition and improves immune function in healthy adults. Journal of Medicinal Food, 22(10), 1039-1046.
  18. Hou, K., Wu, ZX., Chen, XY. et al. Microbiota in health and diseases. Sig Transduct Target Ther 7, 135 (2022). https://doi.org/10.1038/s41392-022-00974-4
  19. http://en.wikipedia.org>wiki>Gut microbiota
  20. Mishra, M., et al. (2014). Characterization of bioactive compounds from Spirulina platensis and its antioxidant activity. International Journal of Pharmacy and Pharmaceutical Sciences, 6(4), 501–505.
  21. Khan, Z., et al. (2005). Nutritional and therapeutic potential of Spirulina. Current Pharmaceutical Biotechnology, 6(5), 373–379. DOI:10.2174/138920105774370607
  22. Chentir, I., et al. (2017). Stability studies of phycocyanin from Spirulina under different environmental conditions for food applications. Food Chemistry, 229, 753–761. DOI: 10.1016/j.foodchem.2017.02.099
  23. Becker, E. W. (2007). Micro-algae as a source of protein. Biotechnology Advances, 25(2), 207–210. DOI: 10.1016/j.biotechadv.2006.11.002
  24. Wang et al. (2019). Spirulina platensis extract modulates gut microbiota and reduces inflammation in mice with colitis. Journal of Functional Foods, 55, 340-348.
  25.  Reyes et al. (2018). Immunomodulatory effects of Spirulina platensis in healthy adults: a randomized, double-blind, placebo-controlled trial. Journal of Medicinal Food, 21(10), 1039-1046.
  26.  Zhang et al. (2020). Antioxidant and anti-inflammatory activities of Spirulina platensis extract. Journal of Food Science, 85(5), S1448-S1456.

Reference

  1. Ravindran A, Bhatia D, Hwang JH. Health 2. Microbiological Analysis J Appl Phycol.                                                        2023;35(4):1053-1064.
  2. Smith PM, Yao Y, McCoy KD. The importance of gut microbiota in human health. J Clin Gastroenterol. 2021;55(5):400-410.
  3. Siramdas Sahil, Suman BodhSpirulina platensis: A comprehensive review of its nutritional value, antioxidant activity and functional food potentialJournal of Cellular Biotechnology 10 (2024) 159–172.
  4. Tushar N. Sonawane*, Vinit S. Khairnar,A Review Article on ‘Spirulina’.Asian Journal of Research in Pharmaceutical Sciences. 13(2): April - June, 2023 2231–5640.
  5. Kumar, S., et al. (2019). Spirulina platensis supplementation alters gut microbiota composition and improves immune function in healthy adults. Journal of Medicinal Food, 22(10), 1039-1046.
  6. Cerf-Bensussan, N., et al. (2017). The gut microbiota: a key player in the maintenance of the gut barrier. Journal of Clinical Investigation, 127(11), 3925-3935.
  7. Cummings, J. H., et al. (2009). Fermentation in the human large intestine: its role in the production of short-chain fatty acids. Journal of Clinical Gastroenterology, 43(8), 655-662.
  8. Kumar, S., et al. (2018). Archaea in the human gut microbiome. Journal of Clinical Microbiology, 56(10), e01342-18.
  9. Bhowmik, D., et al. (2010). "Nutritional and therapeutic potential of Spirulina." Journal of Chemical and Pharmaceutical Research, 2(1), 123-131.
  10. Lordan, R., et al. (2020). "The impact of dietary Spirulina on gut microbiota composition and metabolic health." Nutrients, 12(6), 1759.
  11. Mendiola, J. A., et al. (2007). "Antioxidant properties of Spirulina extracts obtained by supercritical fluid extraction." Journal of Applied Phycology, 19(1), 85-94.
  12. Raji, R., et al. (2022). "Evaluation of Spirulina-based functional foods and their effects on gut microbiota." Current Research in Food Science, 5, 112-122.
  13. Wang, Y., et al. (2019). Spirulina platensis extract modulates gut microbiota and reduces inflammation in mice with colitis. Journal of Functional Foods, 55, 340-348.
  14. Reyes, A., et al. (2018). Immunomodulatory effects of Spirulina platensis in healthy adults: a randomized, double-blind, placebo-controlled trial. Journal of Medicinal Food, 21(10), 1039-1046.
  15. Riss, J., et al. (2017). "Quantification of phycocyanin in Spirulina using UV-visible spectroscopy." Journal of Applied Phycology, 29(4), 1671-1680.
  16. Pan, L., et al. (2020). Prebiotic effects of Spirulina platensis on gut microbiota and short-chain fatty acid production. Journal of Agricultural and Food Chemistry, 68(2), 533-541.
  17. Kumar, S., et al. (2019). Spirulina platensis supplementation alters gut microbiota composition and improves immune function in healthy adults. Journal of Medicinal Food, 22(10), 1039-1046.
  18. Hou, K., Wu, ZX., Chen, XY. et al. Microbiota in health and diseases. Sig Transduct Target Ther 7, 135 (2022). https://doi.org/10.1038/s41392-022-00974-4
  19. http://en.wikipedia.org>wiki>Gut microbiota
  20. Mishra, M., et al. (2014). Characterization of bioactive compounds from Spirulina platensis and its antioxidant activity. International Journal of Pharmacy and Pharmaceutical Sciences, 6(4), 501–505.
  21. Khan, Z., et al. (2005). Nutritional and therapeutic potential of Spirulina. Current Pharmaceutical Biotechnology, 6(5), 373–379. DOI:10.2174/138920105774370607
  22. Chentir, I., et al. (2017). Stability studies of phycocyanin from Spirulina under different environmental conditions for food applications. Food Chemistry, 229, 753–761. DOI: 10.1016/j.foodchem.2017.02.099
  23. Becker, E. W. (2007). Micro-algae as a source of protein. Biotechnology Advances, 25(2), 207–210. DOI: 10.1016/j.biotechadv.2006.11.002
  24. Wang et al. (2019). Spirulina platensis extract modulates gut microbiota and reduces inflammation in mice with colitis. Journal of Functional Foods, 55, 340-348.
  25.  Reyes et al. (2018). Immunomodulatory effects of Spirulina platensis in healthy adults: a randomized, double-blind, placebo-controlled trial. Journal of Medicinal Food, 21(10), 1039-1046.
  26.  Zhang et al. (2020). Antioxidant and anti-inflammatory activities of Spirulina platensis extract. Journal of Food Science, 85(5), S1448-S1456.

Photo
Agalvae Vaishnavi
Corresponding author

Samarth Institute of Pharmacy, Belhe; Pune 412410, Maharashtra, India

Photo
Ghadge Dnyaneshwari
Co-author

Samarth Institute of Pharmacy, Belhe; Pune 412410, Maharashtra, India

Photo
Phacpute Sayali
Co-author

Samarth Institute of Pharmacy, Belhe; Pune 412410, Maharashtra, India

Photo
Kamble Rachana
Co-author

Samarth Institute of Pharmacy, Belhe; Pune 412410, Maharashtra, India

Agalave Vaishnavi*, Ghadge Dnyneshawari, phacpute Sayali, kamble Rachana, A Brief Review on Spirulina Plantensis Syrup for Gut Microbiota Health, Int. J. of Pharm. Sci., 2025, Vol 3, Issue 4, 2670-2678. https://doi.org/10.5281/zenodo.15262273

More related articles
Molecular Docking: A Powerful Tool In Modern Drug ...
Shubhangi H. Bhowate, Dr. Dinesh R. Chaple, Dr. Alpana J. asnani,...
Review on Study of Anti-Inflammatory Activity usin...
Prajakta Vidhate, Godavary Brahma, Mugdha Joshi, Aryan Satpute, S...
Obesity And Gut Microbiota: A Comprehensive Review...
Dr. Saurabh Sharma, Chandan Sood, Saurav Anand, Neha Gupta, ...
Preparation And Evaluation of Herbal Transdermal Patch for Management of Varicos...
Anjali Kide-Nandedkar, Nameera Sadiya Begum, Sudhakar Muvvala, ...
Evaluation of Combined Curcumin and Cassia fistula Therapy in the Management of ...
Deep Patel, Mahi Solanki, Krisha Prajapati, Nidhi Prajapati, Shreni Chaudhari, Sanket Kharwal, ...
Related Articles
Evaluation of the Anti-Ulcer Activity of Ethanolic Fruit Extracts of Emblica Off...
Neela Swathi, Thati Navya, Macharla Venkataramana, Akula Ganesh, Vengaladasu Sowmya, ...
Hepatoprotective Effect of Curcumin Microsponges against Paracetamol Induced Liv...
Gaurav Kasar, Pooja Rasal, Ritesh Khairnar, Revati Khairnar, Shubham Khaire, Yunus Ansari, Manoj Mah...
Review Paper on Anti Acne Properties of Winter Green Leaves and Cucumber Peels...
Niddhi Akarshe, Suvidha Kabadi, Gauri Mahajan , Riten Solanki , Disha Shinde, ...
A Review on UV-Visible Spectroscopy ...
Vaishnavi Khandarkar, T. J. Sharma, Dr. Shivshankar Mhaske, ...
Molecular Docking: A Powerful Tool In Modern Drug Discovery And Its Approaches...
Shubhangi H. Bhowate, Dr. Dinesh R. Chaple, Dr. Alpana J. asnani, Pranita I. Rathod, Aishwarya V. Li...
More related articles
Molecular Docking: A Powerful Tool In Modern Drug Discovery And Its Approaches...
Shubhangi H. Bhowate, Dr. Dinesh R. Chaple, Dr. Alpana J. asnani, Pranita I. Rathod, Aishwarya V. Li...
Review on Study of Anti-Inflammatory Activity using Moringa, Shisham, and Turmer...
Prajakta Vidhate, Godavary Brahma, Mugdha Joshi, Aryan Satpute, Shalaka Katkar, Apurva Kamble, Vedik...
Obesity And Gut Microbiota: A Comprehensive Review...
Dr. Saurabh Sharma, Chandan Sood, Saurav Anand, Neha Gupta, ...
Molecular Docking: A Powerful Tool In Modern Drug Discovery And Its Approaches...
Shubhangi H. Bhowate, Dr. Dinesh R. Chaple, Dr. Alpana J. asnani, Pranita I. Rathod, Aishwarya V. Li...
Review on Study of Anti-Inflammatory Activity using Moringa, Shisham, and Turmer...
Prajakta Vidhate, Godavary Brahma, Mugdha Joshi, Aryan Satpute, Shalaka Katkar, Apurva Kamble, Vedik...
Obesity And Gut Microbiota: A Comprehensive Review...
Dr. Saurabh Sharma, Chandan Sood, Saurav Anand, Neha Gupta, ...