View Article

  • Thiazole Derivatives in Diabetes Management: Recent Progress and Future Perspective

  • Amity Institute of Pharmacy, Lucknow, Amity University Uttar Pradesh, Sector-125, Noida-201313, India.

Abstract

Objectives: This review explores the potential of thiazole derivatives as innovative anti-diabetic agents, emphasizing their structural diversity and effectiveness in Type-II diabetes mellitus. Theoretical Framework: Diabetes mellitus (DM), characterized by chronic hyperglycemia, is a progressive metabolic disorder affecting millions worldwide. Heterocyclic compounds, mainly thiazole derivatives, have recently shown promise as novel anti-diabetic agents with the potential to target specific mechanisms in DM2. Method: This review focuses on findings from recent studies on thiazole derivatives for diabetes management, focusing on synthetic routes, structural diversity, and therapeutic activities. The structure-activity relationship (SAR) along with the synthesis procedure of thiazole derivatives is also discussed to understand their pharmacological potential. Results and Discussion: Thiazole derivatives demonstrated significant activity in both in vitro and in vivo models, confirming their affinity for diabetic targets, which supports their potential as diabetic treatments. The review highlights the need for further research in SAR analysis and toxicological evaluations to optimize the therapeutic profile of these compounds. Research Implications: This review underscores the need for advanced research into the safety and selectivity of thiazole derivatives, suggesting that future studies should focus on toxicological assessments and SAR studies. Effective translation of these compounds into clinical applications may provide a new avenue for DM2 treatment and improve the current anti-diabetic drug landscape. Originality: This review highlighting key research gap and it offers a pathway for future investigations in developing safe and selective thiazole derivatives-based treatments for diabetes.

Keywords

Diabetes Mellitus, Synthetic Agents, Thiazole Derivatives, Antidiabetic Activities, Sustainable Development Goals, And Chemical Moiety

Introduction

Diabetes mellitus (DM) is a metabolic disorder characterized by elevated blood glucose levels, resulting in hyperglycemia. This condition is associated with complications affecting the eyes, kidneys, and heart (Maulina et al., 2025). The prevalence of DM is increasing globally, and over the past two decades, there has been a rise in the use of synthetic agents for treating chronic diseases, including diabetes DM is broadly categorized into two types: Type II DM is caused by resistance to insulin or a malfunction of insulin hormone, while Type I DM can be brought on by the death of pancreatic beta cells. More than eighty per cent of individuals with diabetes worldwide suffer from type II, or non-insulin-dependent diabetes, which is the most predominant type of the medical condition. Resistance to glucose and reduced production of insulin are characteristics of this complex conditions. Because DM frequently coexists with cardiac and metabolic challenges, it has a substantial influence on public health (Kumaret al., 2013; Siddiqui et al., 2011). This group of metabolic disorders impacts approximately half a billion individuals globally and responsible for almost 5 million deaths every year. An inefficient use of nutritional energy by the body is caused by DM. The WHO estimates that by the year 2025, there will be 422 million instances of diabetes around the world, compared to a total of 108 million cases in the year 1980. Additionally, according to the WHO, there are currently 250 million patients worldwide who have diabetes, and by 2030, it is expected that this figure will rise to nearly 367 million. Anxiety, increased obesity rates, and longer lifespans are all responsible for this explosion. Molecular hybridization—the method for mixing many pharmacophoric moieties of physiologically active chemicals to form new, more efficient hybrid molecules is becoming increasingly accepted in the 5medicinal chemistry arena. In 2016, diabetes was the seventh leading cause of death worldwide. Another WHO report indicated that the number of diabetes cases could rise to 592 million by 2035, largely due to an increase in adult-onset diabetes (Shyam et al., 2016; Khatik et al., 2011).  Substituted 1,3,4-thiadiazole derivatives have garnered significant research interest due to their diverse pharmacological activities. The N−C−S moiety present in these derivatives is believed to play a key role in their biological effects. Researchers suggest that the biological activities of 1,3,4-thiadiazole are attributed to its strong aromatic nature, in vivo stability, and minimal toxicity to higher vertebrates, including humans, making it suitable for cancer treatment. The five-membered aromatic ring of 1,3,4-thiadiazole comprises two nitrogen atoms and one sulfur atom, along with a two-electron donor system and a hydrogen bonding domain (Kumar et al., 2014). These features enable it to function as a carbonic anhydrase inhibitor. 1,3,4-Thiadiazole exhibits a wide array of biological activities, including antimicrobial, antituberculosis, anti-inflammatory, carbonic anhydrase inhibitory, anticonvulsant, antihypertensive, antioxidant, anticancer, and antifungal properties (Kaur &Khatik 2016). Examples of drug molecules incorporating the 1,3,4-thiadiazole group include carbonic anhydrase inhibitors like acetazolamide and methazolamide. Additionally, the thiadiazole group can act as a bioisosteric replacement for the thiazole moiety, enhancing its biological activity through strong aromaticity and structural stability. The significance of thiazole in synthetic and biological chemistry began to gain traction after the pioneering work of several studies. Numerous reviews have since been published, exploring the diverse biological activities of thiazole and its derivatives (Mazalan et al., 2025; Chhabria et al., 2016). This review focuses on the biological significance of thiazole and its derivatives as antidiabetic agents, emphasizing recent advancements in this field. It serves as a complement to earlier reviews by summarizing research on thiazole and thiazolidinedione derivatives as antidiabetic compounds in recent years. Since 1995, there has been a surge in the development of new classes of antidiabetic agents, including insulin and its analogs, sulfonylureas, glinides, biguanides, glitazones, and α-glucosidase inhibitors (Borelli et al., 2008). However, many of these drugs are associated with side effects such as metabolic disorders, poor patient compliance, hypoglycemia, and obesity. As a result, there is a growing need for novel antidiabetic drugs with improved patient compliance and reduced adverse effects. This review discusses recent progress in the study of thiazole compounds, highlighting their potential in the design and development of promising new antidiabetic drug candidates (Agustini et al., 2025; Ichaleet al., 2024).

2. Theoretical Framework

Literature Review

Gupta et al., (2024) in their research primarily focuses on 2,4-thiazolidinedione derivatives, which are nitrogen-containing heterocyclic compounds used in managing type 2 diabetes mellitus. It discusses their synthesis, structure-activity relationships, and various therapeutic potentials, including anticancer and anti-inflammatory activities. However, it does not specifically address thiazole derivatives in diabetes management. The review emphasizes mitigating side effects of marketed TZD derivatives and presents novel TZD derivatives with enhanced therapeutic potentials, warranting further evaluation of their biological activities (Gupta et al., 2024). Ullah et al., (2024) The research investigates eleven novel thiazole derivatives derived from thiophene carbaldehyde for their potential in diabetes management. Seven derivatives exhibited excellent α-glucosidase inhibitory activity, outperforming the standard acarbose, with IC50 values ranging from 10.21 to 18.21 μM. The study also confirmed that these compounds do not exhibit cytotoxic effects. Additionally, molecular docking studies indicated strong binding potential to the α-glucosidase active site, suggesting their promise as therapeutic agents in managing diabetes (Ullah et al., (2024). Maslat et al., (2024) suggested that thiazole derivatives have shown potential in diabetes management, as evidenced by a study investigating their effects on STZ-induced diabetic mice. The synthesized thiazole compound significantly reduced hyperglycemia, restored pancreatic insulin secretion, decreased serum triglyceride levels, and increased pancreatic superoxide dismutase (SOD) activity. These findings suggest that thiazole derivatives possess anti-hyperglycemic and antioxidant properties, indicating their potential as therapeutic agents in the treatment of diabetes. Further research is needed to explore their mechanisms of action (Maslat et al., 2024). Fettach et al., (2024) in their study focuses on thiazolidine-2,4-dione derivatives in diabetes management. These derivatives were evaluated for their anti-hyperglycemic and anti-hyperlipidemic effects in a diabetic animal model. The study found that they significantly reduced fasting blood glucose levels and improved lipid profiles, suggesting their potential role in managing Type 2 diabetes mellitus by enhancing insulin sensitivity through activation of peroxisome proliferator-activated receptor-gamma (PPAR-γ) (Fettach et al., 2024). Singh et al., (2024) concluded in their about thiazolidinediones (TZDs), a class of anti-diabetic agents that reduce insulin resistance and activate PPARγ. The review highlights the medicinal potential, structure-activity relationships, and safety aspects of TZD analogues developed over the last two decades, emphasizing their efficacy and side effects. While thiazole derivatives may be relevant, they are not the primary focus of this research (Singh et al., 2024). Kashyap et al., (2024) in their review suggested that thiazole derivatives exhibit significant anti-diabetic activity, making them valuable in diabetes management. The research highlights their potential to modulate biological pathways associated with glucose metabolism and insulin sensitivity. By optimizing the structural properties of these compounds, researchers aim to enhance their efficacy and reduce toxicity. The exploration of thiazole derivatives in this context paves the way for developing innovative therapeutic agents that can provide alternative treatment options for diabetes, contributing to improved patient outcomes (Kashyap et al., (2024). Rajesh et al., (2023) revived about thiazole derivatives have been recognized for their hypoglycemic properties, contributing significantly to diabetes management. Compounds such as rosiglitazone, pioglitazone, and troglitazone demonstrate effectiveness in controlling elevated blood sugar levels. The unique aromatic properties of thiazole allow for various chemical reactions, enhancing their biological activities, including antidiabetic effects. This review highlights the synthesis of different thiazole derivatives and their potential role in developing effective treatments for diabetes, showcasing their importance in pharmacological advancements (Gupta et al., (2023). Hussain et al., (2023) in their research suggested that thiazole derivatives, specifically the synthesized imidazopyridine-based compounds have shown promising potential as antidiabetic agents by inhibiting the α-glucosidase enzyme. The docking analysis revealed that these  compounds and demonstrated excellent binding interactions with the enzyme's active site, indicating their potential utility in diabetes management through effective carbohydrate absorption inhibition (Hussain et al., 2023). Arineitwe et al., (2023) in their paper focuses on thiazolidinedione (TZD) derivatives, which are a class of compounds related to thiazole, synthesized to evaluate their anti-diabetic properties. Four novel TZD derivatives were tested for their effects on glucose metabolism and enzyme inhibition. The study found that these derivatives exhibited significant inhibition of key enzymes involved in glucose utilization, with TZDD2 showing enhanced glucose uptake in liver cells and notable inhibition in α-amylase, α-glucosidase, and aldose reductase assays, indicating their potential in diabetes management (Arineitwe et al., (2023). Naseem et al., (2022) synthesized xanthene-based thiazole derivatives exhibit significant inhibition of key enzymes related to diabetes management, specifically α-amylase and α-glycosidase. Among them many compounds demonstrated superior inhibitory potential with IC50 values of 56.47 nM and 61.34 nM for α-Gly, and 152.48 nM and 124.84 nM for α-Amy, respectively. These findings suggest that thiazole derivatives could serve as promising candidates for developing effective antidiabetic agents (Naseem et al., (2022).

3. METHODOLOGY

Gupta et al., (2023) in their paper primarily focuses on 2,4-thiazolidinedione derivatives containing heterocyclic rings used in managing type 2 diabetes mellitus. It discusses their synthesis, structure-activity relationships, and various therapeutic potentials, including anticancer and anti-inflammatory activities. However, it does not specifically address thiazole derivatives in diabetes management. The review emphasizes mitigating side effects of marketed TZD derivatives and presents novel TZD derivatives with enhanced therapeutic potentials, warranting further evaluation of their biological activities (Gupta et al., 2023).

Fig.1:3-(4-Methylphenyl)-2-thioxo-1,3-thiazolidin-4-one

Fig. 2: 2-[2-(Diphenylmethyl)-1H-imidazol-1-yl]-N-phenylthiazolidine-4-carboxamide

Ullah et al., (2024) in their research investigates novel thiazole derivatives derived from cholorophenyl for their potential in diabetes management namely 2-[3-(2,4-dichlorophenyl)-1-(4-phenylphenyl)-2-propen-1-ylidene]-4-thiazolidinone. These derivatives exhibited excellent α-glucosidase inhibitory activity, outperforming the standard acarbose, with IC50 values ranging from 10.21 to 18.21 μM. The study also confirmed that these compounds do not exhibit cytotoxic effects. Additionally, molecular docking studies indicated strong binding potential to the α-glucosidase active site, suggesting their promise as therapeutic agents in managing diabetes (Ullah et al.,2024).

Fig. 3: 2-[3-(2,4-dichlorophenyl)-1-(4-phenylphenyl)-2-propen-1-ylidene]-4-thiazolidinone

Maslat et al., (2024) suggested that thiazole derivatives have shown potential in diabetes management, as evidenced by a study investigating their effects on STZ-induced diabetic mice. The synthesized thiazole compound significantly reduced hyperglycemia, restored pancreatic insulin secretion, decreased serum triglyceride levels, and increased pancreatic superoxide dismutase (SOD) activity. These findings suggest that thiazole derivatives possess anti-hyperglycemic and antioxidant properties, indicating their potential as therapeutic agents in the treatment of diabetes. Further research is needed to explore their mechanisms of action (Maslat et al.,2024).

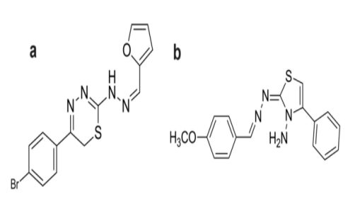
Figure 4: Thiadiazine and thiazole derivatives: (a) N-[5-(4-Bromo-phenyl)-6H-[1,3,4]- thiadiazine-2-yl]-N'-furan-2-ylmethylene-hydrazine, (b) 2-[(4-methoxy-benzylidene)-hydrazono]-4-phenyl-thiazol-3-ylamine.

Fettach et al., (2024) in their study focses on thiazolidine-2,4-dione derivatives in diabetes management. These derivatives were evaluated for their anti-hyperglycemic and anti-hyperlipidemic effects in a diabetic animal model. The study found that they significantly reduced fasting blood glucose levels and improved lipid profiles, suggesting their potential role in managing Type 2 diabetes mellitus by enhancing insulin sensitivity through activation of peroxisome proliferator-activated receptor-gamma (PPAR-γ) (Fettach et al., 2024).

Fig.5: 2,4-thiazolidinedione

Singh et al., (2024) concluded in their about thiazolidinediones (TZDs), a class of anti-diabetic agents that reduce insulin resistance and activate PPARγ. The review highlights the medicinal potential, structure-activity relationships, and safety aspects of TZD analogues such as Troglitazone, Ciglitazone, and Pioglitazone as shown in figure 6 and 7 developed over the last two decades, emphasizing their efficacy and side effects. While thiazole derivatives may be relevant, they are not the primary focus of this research (Singh et al., 2024).

Fig. 6: Troglitazone (5-[[4-[(6-hydroxy-2,5,7,8-tetramethyl-3,4-dihydrochromen-2-yl) methoxy] phenyl]methyl]-1,3-thiazolidine-2,4-dione)

Fig. 6: Ciglitazonei (5-{4-[(1-methylcyclohexyl) methoxy] benzyl}-1,3-thiazolidine-2,4-dione)

Kashyap et al., (2024) in their review suggested that thiazole derivatives exhibit significant anti-diabetic activity, making them valuable in diabetes management. The research highlights their potential to modulate biological pathways associated with glucose metabolism and insulin sensitivity. By optimizing the structural properties of these compounds, researchers aim to enhance their efficacy and reduce toxicity. The exploration of thiazole derivatives in this context paves the way for developing innovative therapeutic agents that can provide alternative treatment options for diabetes, contributing to improved patient outcomes (Kashyap et al., 2024).

Fig. 7: Ethyl 5-((Z)-((Z)-3-(4-fluorophenyl)-2-((4-fluorophenyl) imino)-4-oxothiazolidin-5-ylidene) methyl)-2,4-dimethyl-1H-pyrrole-3-carboxylate.

Rajesh et al., (2023) revived about thiazole derivatives have been recognized for their hypoglycemic properties, contributing significantly to diabetes management. Compounds such as rosiglitazone, pioglitazone, and troglitazone demonstrate effectiveness in controlling elevated blood sugar levels. The unique aromatic properties of thiazole allow for various chemical reactions, enhancing their biological activities, including antidiabetic effects. This review highlights the synthesis of different thiazole derivatives and their potential role in developing effective treatments for diabetes, showcasing their importance in pharmacological advancements (Rajesh et al., 2023).

Fig. 8: Methyl (S)-2-(2-chlorophenyl)-2-(6,7-dihydrothieno[3,2-c]pyridin-5(4H)-yl)acetate.

Hussain et al., (2023) in their research suggested that thiazole derivatives, specifically the synthesized imidazopyridine-based compounds (fig. 9), have shown promising potential as antidiabetic agents by inhibiting the α-glucosidase enzyme. Among these, compounds 4a, 4g, 4o, and 4p exhibited superior α-glucosidase activity with IC50 values of 5.57, 8.85, 7.16, and 10.48, respectively. The docking analysis revealed that compounds 4a and 4o demonstrated excellent binding interactions with the enzyme's active site, indicating their potential utility in diabetes management through effective carbohydrate absorption inhibition [23].

Fig. 9:(2R,3S)-2-(2,4-difluorophenyl)-3-(5-fluoro-1H-1,2,4-triazol-1-yl)-2-butanol.

Arineitwe et al., (2023) in their paper focuses on thiazolidinedione (TZD) derivatives, which are a class of compounds related to thiazole, synthesized to evaluate their anti-diabetic properties. Four novel TZD derivatives were tested for their effects on glucose metabolism and enzyme inhibition. The study found that these derivatives exhibited significant inhibition of key enzymes involved in glucose utilization, with TZDD1 and TZDD3 showing enhanced glucose uptake in liver cells and notable inhibition in α-amylase, α-glucosidase, and aldose reductase assays, indicating their potential in diabetes management (Arineitwe et al.,2023).

Fig. 10:(6R,7R)-3-[(carbamoyloxy)methyl]-7-[2-(furan-2-yl)-2-methoxyiminoacetamido] ceph-3-em-4-carboxylic acid

Fig. 11: Methyl (S)-2-(2-chlorophenyl)-2-(6,7-dihydrothieno[3,2-c] pyridin-5(4H)-yl) acetate.

Patchipala et al., (2022) synthesized xanthene-based thiazole derivatives exhibit significant inhibition of key enzymes related to diabetes management, specifically α-amylase and α-glycosidase. These compounds demonstrated superior inhibitory potential with IC50 values of 56.47 nM and 61.34 nM for α-Gly, and 152.48 nM and 124.84 nM for α-Amy, respectively. These findings suggest that thiazole derivatives could serve as promising candidates for developing effective antidiabetic agents (Patchipala et al.,2022).

Fig. 12: Synthesis of tetrahydro benzo[d]thiazole tethered nicotinohydrazide derivatives.

4. RESULTS AND DISCUSSION

The prevalence of DM is increasing in a tremendous manner which is an alarming signal for researchers (Sharma et al., 2024). This review highlights recent discoveries of novel heterocyclic compounds being explored for diabetes management. Heterocyclic compounds have gained significant attention in the treatment of DM due to their diverse chemical structures and potential to interact with various biological targets. This review provides an organized summary of the positive antidiabetic effects of synthetic analogs. Diabetes, being a widespread and chronic metabolic disorder, requires innovative therapeutic strategies, particularly in controlling blood sugar levels and managing complications (Bahal et al., 2018; Barkat et al., 2025).  Heterocyclic compounds have emerged as valuable prospects in the treatment of DM due to their structural versatility and potential to target key biological pathways involved in the disease. Compounds such as thiazolidinones, azoles, pyrroles, chalcones, and pyrimidines show promise in regulating blood sugar levels by inhibiting enzymes like α-glucosidase, enhancing insulin release, and interacting with receptors like DPP-4.In recent years, medicinal chemists have focused heavily on α-glucosidase inhibitors, sulfonylureas, and DPP-4 inhibitors, as these compounds are involved not only in diabetes treatment but also in other carbohydrate-related diseases. These compounds exhibit potential antidiabetic properties through mechanisms such as inhibiting key enzymes like α-glucosidase, modulating insulin release, and interacting with receptors like DPP-4, making them relevant for both type 1 and type 2 diabetes. Newer approaches can be established such as estimating therapeutic efficacy of polyherbal formulations using computational approach for type II DM (Thottappillil et al., 2023). Most research efforts have concentrated on developing heterocyclic compounds mainly thiazole derivatives shown having promising activity. Despite this progress, comprehensive studies are still lacking, and no heterocyclic-based molecules have reached clinical trials. Many herbal approaches has also been adopted that might consist of some heterocyclic compounds and can be utilized for the treatment of DM. This review aims to support researchers and the pharmaceutical industry by providing a foundation for further advancements in this area (Rayginia et al., 2024).    

4.1. Khan et al 2024,the biological activity of the compounds is significantly influenced by the number, nature, and position of the substituent on the aryl ring, prompting a structure–activity relationship (SAR) analysis of all reported compounds. Among them, analogue 8 was identified as the most potent, with IC?? values of 3.50 ± 0.20 µM and 4.20 ± 0.20 µM. This heightened activity is attributed to the meta-positioned chloro group, which acts as an electron donor, enhancing electron density on the aryl ring, and the para-positioned fluoro group, which forms strong hydrogen bonds with the enzyme, thereby increasing its potency. A comparison between analogues 1 and 4, both containing fluoro (-F) moieties at different positions, revealed variations in their inhibitory potential. In analogue 1, the para-substituted trifluoromethyl (-CF?) group enhances inhibitory activity by facilitating effective binding to the target enzyme through hydrogen bonding with amino acid residues, thereby improving its potency. Additionally, para-substitution reduces steric hindrance, making the compound less bulky and enhancing its binding efficiency. In contrast, analogue 4 exhibited lower inhibition potential, likely due to the different positioning of the trifluoromethyl group. Since the meta-position has a lower electron density, the formation of hydrogen bonds is reduced, making analogue 1 more pharmacologically significant than analogue 4. A comparative analysis of analogues 12, 13, and 14 demonstrated that analogue 14 was the most active, featuring a methyl group at the para-position and a methoxy group at the ortho-position. Both groups are electron-donating, activating the ring through an inductive effect. In contrast, analogue 12, which contains a chloro group, and analogue 13, which has a bromine atom at the para-position, exhibit steric hindrance due to the larger size of these substituents. Additionally, the presence of a basic amine group in the structure of analogue 11 increases its hydrophilicity while decreasing its lipophilicity. More basic analogues tend to form salts more readily and exhibit slower transport across lipid membranes. The nitrogen in the amine group also participates in hydrogen bonding with the enzyme, contributing to its inhibitory potential (Khan et al., 2024)

Figure 21: Syntheis and SAR of novel benzimidazole-based thiazole derivatives.

(Analogue 1 R-Trifluorbenzene; Analogue 2 R- 1-Chloro-2-methylbenzene (o-Chlorotoluene); Analogue 3 R- 1,4-Dichlorobenzene (p-Dichlorobenzene); Analogue 4 R- 1-Chloro-2,4-dimethylbenzene; Analogue 5 R-1-(Trifluoromethyl)benzene;Analogue 6 R-2-Fluorophenol;Analogue 7 R-1-Chloro-4-methylnaphthalene; Analogue 8 R-1-Methoxy-2-methylbenzene (o-Anisole); Analogue 9 R-N,N-Dimethyl-4-methylaniline;Analogue 10 R-1-Methoxy-2-phenylbenzene (o-Phenylanisole);Analogue 11 R-1-Chloro-4-fluorobenzene.;Analogue 12 R-2-Chloro-4-methoxybenzene; Analogue 13 R-1-Methoxy-2,4-dimethylbenzene; and Analogue 14 R1-Bromo-2-methoxybenzene).

4.2. Hussain et al., 2022, conducted structure–activity relationship (SAR) studies on newly synthesized analogs (4a–p) by modifying the substituents around the aryl portion while keeping the imidazole and thiazole rings unchanged. Among the synthesized compounds, analogs a, g, o, and p, which contained strong electron-withdrawing groups (e.g., -CF3 and -NO2) or hydrogen-bonding groups (-OH) in different positions on the extended benzene ring, exhibited significant potency. Notably, compound 4g, which features an ortho-CF3 and meta-NO2 substitution on the phenyl ring, demonstrated considerably higher potency than both the standard acarbose drug and other analogs in the series. Compound 4a, which also contains -CF3 and -NO2 groups but in different positions, was slightly less potent than g, yet still ranked as the second-most potent inhibitor. Comparing scaffold g (with 2-CF3 and 5-NO2) to analog o (which has 2-OH and 5-NO2), g exhibited greater inhibitory potential, suggesting that the -CF3 group interacts more effectively with the target site than the -OH group. Similarly, analog 4p, which carries di-hydroxy groups at the 2,4-positions of the phenyl ring, was significantly more potent than acarbose but less effective than 4a, 4g, and 4o. Furthermore, when comparing o (2-OH, 5-NO2) with 4p (2,4-dihydroxy), 4o showed superior inhibitory activity due to the presence of the electron-withdrawing -NO2 group at the 5-position, which facilitates stronger interactions with the target active sites(Hussain et al., 2022).

Figure 21: Preparation of Imidazopyridine-based thiazole derivatives (21a-p).

(R=a:3-CF3?-5-NO2?C6?H3; R=b:2-NO2?-4-ClC6?H3?; R=c:4-PhC6?H4?; R=d:4-N(CH3?)2?C6?H4; ?R=e:2-OCH3?-4-CH3?C6?H3?; R=f:2,4-diCH3?C6?H3; R=g:2-CF3?-5-NO2?C6?H3; R=h:2-CH3C6H4; R=i:2-OCH3?-4-OHC6?H3?; R=j:2-NO2?-4-CH3?C6?H3?; R=k:2-CH3?-4-ClC6?H3?; R=l:2,4-diClC6?H3; R=m:2,4-diOCH3?C6?H3?; R=n:4-(4-CH3?Ph)C6?H4?; R=o:2-OH-5-NO2?C6?H3?; and R=p:2,4-diOHC6H3).

4.3. Meng et al., 2016 synthesized a series of 2-imino-3 substituted-5-heterarylidene-1, 3-thiazolidine-4-ones and conducted a study to assess their efficacy as PTP1B inhibitors. The results of this study indicate that pyrrole substitutions at position 5, particularly exemplified by compound 18, exhibit superior inhibitory activity. Compound 23, in particular, demonstrated a significant PTP1B inhibitory activity with an IC50 of 6.37 µM. Compound 23 presents itself as a promising candidate for further structural optimization, which could lead to the development of potent PTP1B inhibitors (Meng et al., 2016).

 

Figure 23: Synthesis of series of 2-imino-3 substituted-5-heterarylidene-1, 3-thiazolidine-4-ones.

4.4. Wu et al., 2020 synthesized thiazole-5-carboxylates containing ethyl 4-(substituted phenoxymethyl) motifs, which were potent inhibitors of PTP1B. Among these, compound 20 showed an IC50 value of 4.46 µM, making it the most potent inhibitor. The biological activity of these compounds was significantly influenced by structural modifications made to the benzene ring. These findings underscore the importance of such alterations in optimizing thiazole-5-carboxylates as inhibitors of PTP1B (Wu et al., 2020).

Figure 24: Structure of ethyl 4-(substituted phenoxy methyl)5- carboxylate derivatives.

4.5.Celestina et al., 2020 have successfully synthesized two compounds, 25a and 25b (Figure 25), with a diverse range of substitutions such as nitro, fluorine, methyl, chlorine, and bromine. These compounds have displayed robust Aldose reductase-2 inhibitory activity, as evidenced by their IC50 values of 40 and 60 µM. Furthermore, docking studies have revealed that the hippuric acid chain present in the compounds has strong interactions with the crucial catalytic residues located in the ALR2 enzyme’s anionic interaction zone. This finding highlights the potential of these compounds as a promising source of inhibitors for therapeutic applications (Celestina et al., 2020).

Figure 25: Structures of 1,3-diarylpyrazolrhodanine-3-hippuric acid derivatives.

(25a R-F; 25b R-CH3).

4.6. Patel et al., 2020, developed a series of thiazolidine 4-one derivatives, among which compound 26e demonstrated noteworthy inhibitory activity against PTP1B, with an IC50 of 5.88 ± 0.06 µM. Molecular docking studies elucidated the mechanism of its action, revealing that it interacts with catalytic residues, Cys215, Ser216, and Gln262, acting as a potent antagonist. Moreover, compounds 21a–f also exhibited significant inhibitory efficacy, showcasing the potential for designing enhanced PTP1B inhibitors for therapeutic development. These findings suggest that the development of PTP1B inhibitors may hold promise for future therapeutic interventions (Patel et al., 2020).

Figure 26: Structures of thiazolidine-4-one derivatives.

(26a: X = S, R = CH?26b: X = S, R = NO?; 26c: X = S, R = Cl; 26d: X = O, R = CH?; 26e: X = S, R = NO?; 26f: X = NH, R = NO?).

4.7. Sharma et al., 2024 described thiazolidinedione have effectively employed to create strong antidiabetic compounds. The few substances with exceptional antidiabetic efficacy that we have found in this study may serve as a starting point for future studies into other antidiabetic processes. In order to fully utilize this scaffold's biological potential and create antidiabetic agents that would overcome the drawbacks of currently available medications for the treatment of diabetes, scientists may find the information in this review about the design, biological activity, structure–activity relationships, and docking studies helpful (Sharma et al., 2024).

Figure 27: Different Thiazolidinedione Derivatives

4.8. Chhajed et al., 2020 described the de novo design and synthesis of conformationally limited thiazolidine-2, 4-dione derivatives (Figure 28 a-e), using mass analysis, FT-IR, and H-NMR to clarify their chemical structure. The produced compounds' anti-diabetic properties as PPAR-γ (peroxisome proliferator-activated receptor gamma) agonists were investigated. Due to the presence of NO2, 12d cells exhibited the highest efficacy in the glucose uptake experiment, absorbing 2.6 mmol/L of glucose, marginally exceeding pioglitazone (2.5 mmol/L). According to molecular docking experiments, 12d had a high binding affinity (eight.2 kcal/mol) for the PPAR-γ active site. The researchers concluded that compound 12d merits additional assessment for its potential as a PPAR-γ agonist to prevent diabetes (Chhajed et al., 2020).

(R: a= -H; b= 2,-Cl; c= 4, Cl; d= 4,-NO2; e=4,Br )

Figure 28: Thiazolidine-2, 4-dione derivatives.

4.9. Sucheta et al., 2017 showed the thiazole moiety is a significant het erocyclic unit in drug invention. Literature survey shows that the wide-spread studies have been carried out on the production of thiazolidinediones. Thiazolidiones compounds shows a number of pharmacological activities such as antimicrobial, antitubercular, anti-tumor, anti-viral, anti-HIV, anti-inflammatory and anti-diabetic effects (Sucheta et al., 2017)

Figure 29: Synthesis of thiazole derivative.

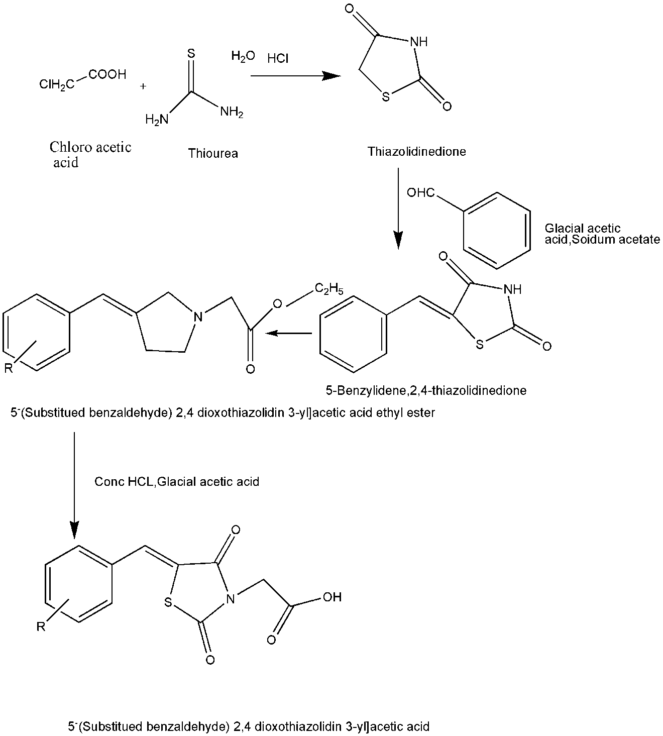
4.10. Datar et al.,2016created a new series of thiazolidinediones by reacting thiazolidenedione with several benzaldehyde derivatives using Scheme 2. The SLM model was used to determine the compound's in vitro anti-diabetic activity, and compounds 1 and 2 were found to be the most active in this series [5-(3,4-dimethoxy)benzylidine 2,4-thiazolidinedione,5-(3,4,5 trimethoxy)benzylidine 2,4-thiazolidenedione] because they contained the methoxy group OHC S COOH ClH2C + H2N NH2 O H2O, HCl NH O S Chloro acetic acid, Thiourea Thiazolidinedione Glacial acetic acid, sodium acetate, and were comparable to standard drug pioglitazone studies (Datar et al., 2016).

Figure 30: Synthesis Of new Series of Thiazolidinediones.

5.  CONCLUSION

Diabetes remains one of the most serious global health concerns, and natural resources alone are insufficient for completely eradicating the disease. Despite the ongoing and challenging search for novel antidiabetic compounds with desired pharmacological profiles, heterocyclic compounds with favorable physicochemical and pharmacodynamic properties offer promising avenues for future research. The existing literature on thiazole analogs presents a solid foundation for pharmaceutical chemists to pursue efficient synthesis and develop advanced treatments. The structural diversity and modifiable nature of heterocyclics enable researchers to optimize their pharmacological profiles, including potency, selectivity, and reduced side effects. Despite the promising preclinical data, comprehensive studies and clinical validation are still needed to advance heterocyclic-based drugs for clinical use. The continued development of these compounds, with an emphasis on improving safety profiles and minimizing toxicity, holds the potential for breakthroughs in diabetes management. Thus, heterocyclic chemistry remains a valuable area of exploration for pharmaceutical chemists aiming to develop new and effective antidiabetic therapies. The strategies of addition, substitution, and elimination reactions of functional groups are practical approaches for designing new drug molecules. The antihyperglycemic activities, whether explored through in vitro or in vivo mechanisms, as well as drug-receptor or enzyme interactions, demonstrate how ligand modification can enhance mechanistic studies. In the near future, toxicological studies and evaluations of reversibility and selectivity of novel heterocyclic compounds are expected to predict both their therapeutic benefits and potential adverse effects in diabetes treatment. Although preclinical research highlights their potential as antidiabetic agents, further comprehensive studies and clinical trials are necessary to confirm their efficacy and safety. The continued exploration of heterocyclics in drug discovery offers hope for developing new, effective therapies for diabetes management

REFERENCES

  1. Agustini, T. D., & Rakhmahappin, Y. (2025). Correlation Between Spiritual Needs and Self-Efficacy with the Risk of Relapse in Drug Users at Badan Narkotika Nasional Provinsi (BNNP) of East Java. Journal of Lifestyle and SDGs Review, 5(1), e03380-e03380.
  2. Arineitwe, C., Oderinlo, O., Tukulula, M., Khanye, S., Khathi, A., & Sibiya, N. (2023). Discovery of Novel Thiazolidinedione-Derivatives with Multi-Modal Antidiabetic Activities In Vitro and In Silico. International Journal of Molecular Sciences, 24(3), 3024.
  3. Bahal, S. P., Saxena, S., & Srivastava, A. (2018). Correlates of type-2 diabetes mellitus in urban slums population Moradabad. Int J Community Med Public Health, 5(6), 2425-30.
  4. Barkat, K., Barkat, A., Bellitir, S., Barkat, A., Fares, R., Chamlal, H., ... & El Hanchi, Z. (2025). Associations between overweight in early pregnancy and newborn conditions: A focus on the SDGs, with emphasis on SDG 3 for ensuring healthy lives and well-being for all ages. Journal of Lifestyle and SDGs Review, 5(1), e02547-e02547.
  5. Borelli, C., Schaller, M., Niewerth, M., Nocker, K., Baasner, B., Berg, D., ... & Korting, H. C. (2008). Modes of action of the new arylguanidine abafungin beyond interference with ergosterol biosynthesis and in vitro activity against medically important fungi. Chemotherapy, 54(4), 245-259.
  6. Celestina, S. K., Sundaram, K., & Ravi, S. (2020). In vitro studies of potent aldose reductase inhibitors: Synthesis, characterization, biological evaluation and docking analysis of rhodanine-3-hippuric acid derivatives. Bioorganic Chemistry, 97, 103640.
  7. Chhabria, M., Patel, S., Modi, P., & S. Brahmkshatriya, P. (2016). Thiazole: A review on chemistry, synthesis and therapeutic importance of its derivatives. Current topics in medicinal chemistry, 16(26), 2841-2862.
  8. Chhajed, S. S., Shinde, P. E., Kshirsagar, S. J., Sangshetti, J. N., Gupta, P. P., Parab, M. M., & Dasgupta, D. (2020). De-novo design and synthesis of conformationally restricted thiazolidine-2, 4-dione analogues: Highly selective PPAR-γ agonist in search of anti-diabetic agent. Structural Chemistry, 31, 1375-1385.
  9. Datar, P. A., & Aher, S. B. (2016). Design and synthesis of novel thiazolidine-2, 4-diones as hypoglycemic agents. Journal of Saudi Chemical Society, 20, S196-S201.
  10. Fettach, S., Thari, F. Z., Karrouchi, K., Benbacer, L., Lee, L. H., Bouyahya, A., & Faouzy, M. E. A. (2024). Assessment of anti-hyperglycemic and anti-hyperlipidemic effects of thiazolidine-2, 4-dione derivatives in HFD-STZ diabetic animal model. Chemico-Biological Interactions, 391, 110902.
  11. Gupta, S., Jha, S., Rani, S., Arora, P., & Kumar, S. (2024). Medicinal Perspective of 2, 4?Thiazolidinediones Derivatives: An Insight into Recent Advancements. ChemistryOpen, 13(11), e202400147.
  12. Hussain, R., Rehman, W., Khan, S., Maalik, A., Hefnawy, M., Alanazi, A. S., ... & Rasheed, L. (2023). Imidazopyridine-based thiazole derivatives as potential antidiabetic agents: synthesis, in vitro bioactivity, and in silico molecular modeling approach. Pharmaceuticals, 16(9), 1288.
  13. Ichale, R., Kanhed, A. M., & Vora, A. (2024). Coumarin linked thiazole derivatives as potential α-glucosidase inhibitors to treat diabetes mellitus. Molecular Diversity, 28(3), 1239-1247.
  14. Kashyap, M., Mazumder, M. U., Patowary, P., Talukdar, A., Sahariah, B. J., & Majumder, M. (2024). An Overview of Synthetic Derivatives of Thiazole and Their Role in Therapeutics. Fabad Journal of Pharmaceutical Sciences, 49(3), 603-626.
  15. Kaur, P. A. R. A. N. J. E. E. T., & Khatik, G. L. (2016). Identification of novel 5-styryl-1, 2, 4-oxadiazole/Triazole derivatives as the potential antiandrogens. Through molecular docking study. Int J Pharm Pharm Sci, 8(10), 72-77.
  16. Khan, S., Hussain, R., Khan, Y., Iqbal, T., Shoaib, K., Batool, K., ... & Khowdiary, M. M. (2024). Novel benzimidazole-based thiazole derivatives as a magic bullet for controlling diabetes mellitus based on synthetic and computational approaches. Results in Chemistry, 101574.
  17. Khatik, G. L., Kaur, J., Kumar, V., Tikoo, K., & Nair, V. A. (2012). 1, 2, 4-Oxadiazoles: A new class of anti-prostate cancer agents. Bioorganic & medicinal chemistry letters, 22(5), 1912-1916.
  18. Khatik, G. L., Kaur, J., Kumar, V., Tikoo, K., Venugopalan, P., & Nair, V. A. (2011). Aldol derivatives of Thioxoimidazolidinones as potential anti-prostate cancer agents. European journal of medicinal chemistry, 46(8), 3291-3301.
  19. Kumar, P. (2013). Study of Synthesis and Biological Importance of Thiozole (Hetrocyclic Compound). Oriental Journal of Chemistry, 29(3), 1225.
  20. Kumar, V., Rachamalla, M., Nandekar, P., Khatik, G. L., Sangamwar, A. T., Tikoo, K., & Nair, V. A. (2014). Design and synthesis of optically pure 3-aryl-6-methyl-2-thioxotetrahydropyrimidin-4 (1 H)-ones as anti-prostate cancer agents. RSC Advances, 4(71), 37868-37877.
  21. Maslat, A., Al-Trad, B., Alameen, I., Al-Talib, M., Tashtoush, H., & Ababneh, B. (2024). The Effect of Two Novel Substituted Thiazole and Thiadiazine Derivatives on Experimental Type-1 Diabetes Mellitus. Jordan Journal of Chemistry (JJC), 19(1), 41-47.
  22. Maulina, N., Sawitri, H., Nadira, C. S., Rahayu, M. S., Arvinda, A. D., & Lubis, R. I. H. (2025). Body Mass Index and Waist Circumference as Parameters of Diabetes Mellitus in Nursing Homes with HBA1C Indicators: Contributing to Ensure Healthy Lives and Promote Well-Being for All at All Age. Journal of Lifestyle and SDGs Review, 5(2), e03231-e03231.
  23. Mazalan, A. B. M., Mustapha, S. Z., Ahmad, Y., Aziz, N. A., Ayob, N. A., & Johari, N. F. (2025). Build Resilience Against Drugs for Good Health and Well-Being: Key Strategies to Break the Drug Abuse—Smuggling—Trafficking Dependency Cycle. Journal of Lifestyle and SDGs Review, 5(1), e02872-e02872.
  24. Meng, G., Zheng, M., Wang, M., Tong, J., Ge, W., Zhang, J., ... & Li, J. (2016). Design and synthesis of new potent PTP1B inhibitors with the skeleton of 2-substituted imino-3-substituted-5-heteroarylidene-1, 3-thiazolidine-4-one: Part I. European journal of medicinal chemistry, 122, 756-769.
  25. Patchipala, S. B., Pasupuleti, V. R., Audipudi, A. V., & babu Bollikolla, H. (2022). Synthesis, in-vivo anti-diabetic & anticancer activities and molecular modelling studies of tetrahydrobenzo [d] thiazole tethered nicotinohydrazide derivatives. Arabian Journal of Chemistry, 15(2), 103546.
  26. Patel, A. D., Pasha, T. Y., Lunagariya, P., Shah, U., Bhambharoliya, T., & Tripathi, R. K. (2020). A library of thiazolidin?4?one derivatives as protein tyrosine phosphatase 1B (PTP1B) inhibitors: an attempt to discover novel antidiabetic agents. ChemMedChem, 15(13), 1229-1242.
  27. Rajesh, G. D., Kumar, P., Kumar, A., Kumbar, S. A., Murugeshwari, V., & Dixit, S. R. (2023). A Review on Thiazole derivatives and their impact as hypoglycemic agents in drug developments. Research Journal of Pharmacy and Technology, 16(12), 6077-6080.
  28. Rayginia, T. P., Keerthana, C. K., Shifana, S. C., Pellissery, M. J., Abhishek, A., & Anto, R. J. (2024). Phytochemicals as potential lead molecules against hepatocellular carcinoma. Current Medicinal Chemistry, 31(32), 5199-5221.
  29. Sharma, A., Kumar, N., Gulati, H. K., Rana, R., Jyoti, Khanna, A., ... & Bedi, P. M. S. (2024). Antidiabetic potential of thiazolidinedione derivatives with efficient design, molecular docking, structural activity relationship, and biological activity: an update review (2021–2023). Molecular Diversity, 1-25.
  30. Sharma, P., Thakur, A., Goyal, A., & Grewal, A. S. (2023). Molecular docking, 2D-QSAR and ADMET studies of 4-sulfonyl-2-pyridone heterocycle as a potential glucokinase activator. Results in Chemistry, 6, 101105.
  31. Shyam, M., Debnath, B., & Devbhut, P. (2016). Search for biological active thiazolidinedione: a short review. Indo Am J Pharm Res, 6(4), 5282-5311.
  32. Siddiqui, N., Arya, S. K., Ahsan, W., & Azad, B. (2011). Diverse biological activities of Thiazoles: A Retrospect. Int J Drug Dev Res, 3(4), 55-67..
  33. Singh, G., Kumar, R., DS, D., Chaudhary, M., Kaur, C., & Khurrana, N. (2024). Thiazolidinedione as a Promising Medicinal Scaffold for the Treatment of Type 2 Diabetes. Current Diabetes Reviews, 20(6), 89-109.
  34. Sucheta, Tahlan, S., & Verma, P. K. (2017). Biological potential of thiazolidinedione derivatives of synthetic origin. Chemistry Central Journal, 11, 1-29.
  35. Thottappillil A, Kouser S, Badiger AV, Pinto PG, Ramachandran S, Janadri S, Mudagal MP, Kukkupuni SK, Mohan S S, Chethala N V. Anti-diabetic and anti-adipogenic effects of polyherbal formulation Varanadi kashayam with a focus on incretin modulation. bioRxiv. 2024:2024-06.
  36. Ullah, N., Alam, A., Zainab, Elhenawy, A. A., Naz, S., Islam, M. S., & Ahmad, M. (2024). Investigating novel thiophene carbaldehyde based thiazole derivatives as potential hits for diabetic management: synthesis, in vitro and in silico approach. ChemistrySelect, 9(8), e202304601.
  37. Wu, J., Ma, Y., Zhou, H., Zhou, L., Du, S., Sun, Y., ... & Wang, R. (2020). Identification of protein tyrosine phosphatase 1B (PTP1B) inhibitors through De Novo Evoluton, synthesis, biological evaluation and molecular dynamics simulation. Biochemical and Biophysical Research Communications, 526(1), 273-280.

Reference

  1. Agustini, T. D., & Rakhmahappin, Y. (2025). Correlation Between Spiritual Needs and Self-Efficacy with the Risk of Relapse in Drug Users at Badan Narkotika Nasional Provinsi (BNNP) of East Java. Journal of Lifestyle and SDGs Review, 5(1), e03380-e03380.
  2. Arineitwe, C., Oderinlo, O., Tukulula, M., Khanye, S., Khathi, A., & Sibiya, N. (2023). Discovery of Novel Thiazolidinedione-Derivatives with Multi-Modal Antidiabetic Activities In Vitro and In Silico. International Journal of Molecular Sciences, 24(3), 3024.
  3. Bahal, S. P., Saxena, S., & Srivastava, A. (2018). Correlates of type-2 diabetes mellitus in urban slums population Moradabad. Int J Community Med Public Health, 5(6), 2425-30.
  4. Barkat, K., Barkat, A., Bellitir, S., Barkat, A., Fares, R., Chamlal, H., ... & El Hanchi, Z. (2025). Associations between overweight in early pregnancy and newborn conditions: A focus on the SDGs, with emphasis on SDG 3 for ensuring healthy lives and well-being for all ages. Journal of Lifestyle and SDGs Review, 5(1), e02547-e02547.
  5. Borelli, C., Schaller, M., Niewerth, M., Nocker, K., Baasner, B., Berg, D., ... & Korting, H. C. (2008). Modes of action of the new arylguanidine abafungin beyond interference with ergosterol biosynthesis and in vitro activity against medically important fungi. Chemotherapy, 54(4), 245-259.
  6. Celestina, S. K., Sundaram, K., & Ravi, S. (2020). In vitro studies of potent aldose reductase inhibitors: Synthesis, characterization, biological evaluation and docking analysis of rhodanine-3-hippuric acid derivatives. Bioorganic Chemistry, 97, 103640.
  7. Chhabria, M., Patel, S., Modi, P., & S. Brahmkshatriya, P. (2016). Thiazole: A review on chemistry, synthesis and therapeutic importance of its derivatives. Current topics in medicinal chemistry, 16(26), 2841-2862.
  8. Chhajed, S. S., Shinde, P. E., Kshirsagar, S. J., Sangshetti, J. N., Gupta, P. P., Parab, M. M., & Dasgupta, D. (2020). De-novo design and synthesis of conformationally restricted thiazolidine-2, 4-dione analogues: Highly selective PPAR-γ agonist in search of anti-diabetic agent. Structural Chemistry, 31, 1375-1385.
  9. Datar, P. A., & Aher, S. B. (2016). Design and synthesis of novel thiazolidine-2, 4-diones as hypoglycemic agents. Journal of Saudi Chemical Society, 20, S196-S201.
  10. Fettach, S., Thari, F. Z., Karrouchi, K., Benbacer, L., Lee, L. H., Bouyahya, A., & Faouzy, M. E. A. (2024). Assessment of anti-hyperglycemic and anti-hyperlipidemic effects of thiazolidine-2, 4-dione derivatives in HFD-STZ diabetic animal model. Chemico-Biological Interactions, 391, 110902.
  11. Gupta, S., Jha, S., Rani, S., Arora, P., & Kumar, S. (2024). Medicinal Perspective of 2, 4?Thiazolidinediones Derivatives: An Insight into Recent Advancements. ChemistryOpen, 13(11), e202400147.
  12. Hussain, R., Rehman, W., Khan, S., Maalik, A., Hefnawy, M., Alanazi, A. S., ... & Rasheed, L. (2023). Imidazopyridine-based thiazole derivatives as potential antidiabetic agents: synthesis, in vitro bioactivity, and in silico molecular modeling approach. Pharmaceuticals, 16(9), 1288.
  13. Ichale, R., Kanhed, A. M., & Vora, A. (2024). Coumarin linked thiazole derivatives as potential α-glucosidase inhibitors to treat diabetes mellitus. Molecular Diversity, 28(3), 1239-1247.
  14. Kashyap, M., Mazumder, M. U., Patowary, P., Talukdar, A., Sahariah, B. J., & Majumder, M. (2024). An Overview of Synthetic Derivatives of Thiazole and Their Role in Therapeutics. Fabad Journal of Pharmaceutical Sciences, 49(3), 603-626.
  15. Kaur, P. A. R. A. N. J. E. E. T., & Khatik, G. L. (2016). Identification of novel 5-styryl-1, 2, 4-oxadiazole/Triazole derivatives as the potential antiandrogens. Through molecular docking study. Int J Pharm Pharm Sci, 8(10), 72-77.
  16. Khan, S., Hussain, R., Khan, Y., Iqbal, T., Shoaib, K., Batool, K., ... & Khowdiary, M. M. (2024). Novel benzimidazole-based thiazole derivatives as a magic bullet for controlling diabetes mellitus based on synthetic and computational approaches. Results in Chemistry, 101574.
  17. Khatik, G. L., Kaur, J., Kumar, V., Tikoo, K., & Nair, V. A. (2012). 1, 2, 4-Oxadiazoles: A new class of anti-prostate cancer agents. Bioorganic & medicinal chemistry letters, 22(5), 1912-1916.
  18. Khatik, G. L., Kaur, J., Kumar, V., Tikoo, K., Venugopalan, P., & Nair, V. A. (2011). Aldol derivatives of Thioxoimidazolidinones as potential anti-prostate cancer agents. European journal of medicinal chemistry, 46(8), 3291-3301.
  19. Kumar, P. (2013). Study of Synthesis and Biological Importance of Thiozole (Hetrocyclic Compound). Oriental Journal of Chemistry, 29(3), 1225.
  20. Kumar, V., Rachamalla, M., Nandekar, P., Khatik, G. L., Sangamwar, A. T., Tikoo, K., & Nair, V. A. (2014). Design and synthesis of optically pure 3-aryl-6-methyl-2-thioxotetrahydropyrimidin-4 (1 H)-ones as anti-prostate cancer agents. RSC Advances, 4(71), 37868-37877.
  21. Maslat, A., Al-Trad, B., Alameen, I., Al-Talib, M., Tashtoush, H., & Ababneh, B. (2024). The Effect of Two Novel Substituted Thiazole and Thiadiazine Derivatives on Experimental Type-1 Diabetes Mellitus. Jordan Journal of Chemistry (JJC), 19(1), 41-47.
  22. Maulina, N., Sawitri, H., Nadira, C. S., Rahayu, M. S., Arvinda, A. D., & Lubis, R. I. H. (2025). Body Mass Index and Waist Circumference as Parameters of Diabetes Mellitus in Nursing Homes with HBA1C Indicators: Contributing to Ensure Healthy Lives and Promote Well-Being for All at All Age. Journal of Lifestyle and SDGs Review, 5(2), e03231-e03231.
  23. Mazalan, A. B. M., Mustapha, S. Z., Ahmad, Y., Aziz, N. A., Ayob, N. A., & Johari, N. F. (2025). Build Resilience Against Drugs for Good Health and Well-Being: Key Strategies to Break the Drug Abuse—Smuggling—Trafficking Dependency Cycle. Journal of Lifestyle and SDGs Review, 5(1), e02872-e02872.
  24. Meng, G., Zheng, M., Wang, M., Tong, J., Ge, W., Zhang, J., ... & Li, J. (2016). Design and synthesis of new potent PTP1B inhibitors with the skeleton of 2-substituted imino-3-substituted-5-heteroarylidene-1, 3-thiazolidine-4-one: Part I. European journal of medicinal chemistry, 122, 756-769.
  25. Patchipala, S. B., Pasupuleti, V. R., Audipudi, A. V., & babu Bollikolla, H. (2022). Synthesis, in-vivo anti-diabetic & anticancer activities and molecular modelling studies of tetrahydrobenzo [d] thiazole tethered nicotinohydrazide derivatives. Arabian Journal of Chemistry, 15(2), 103546.
  26. Patel, A. D., Pasha, T. Y., Lunagariya, P., Shah, U., Bhambharoliya, T., & Tripathi, R. K. (2020). A library of thiazolidin?4?one derivatives as protein tyrosine phosphatase 1B (PTP1B) inhibitors: an attempt to discover novel antidiabetic agents. ChemMedChem, 15(13), 1229-1242.
  27. Rajesh, G. D., Kumar, P., Kumar, A., Kumbar, S. A., Murugeshwari, V., & Dixit, S. R. (2023). A Review on Thiazole derivatives and their impact as hypoglycemic agents in drug developments. Research Journal of Pharmacy and Technology, 16(12), 6077-6080.
  28. Rayginia, T. P., Keerthana, C. K., Shifana, S. C., Pellissery, M. J., Abhishek, A., & Anto, R. J. (2024). Phytochemicals as potential lead molecules against hepatocellular carcinoma. Current Medicinal Chemistry, 31(32), 5199-5221.
  29. Sharma, A., Kumar, N., Gulati, H. K., Rana, R., Jyoti, Khanna, A., ... & Bedi, P. M. S. (2024). Antidiabetic potential of thiazolidinedione derivatives with efficient design, molecular docking, structural activity relationship, and biological activity: an update review (2021–2023). Molecular Diversity, 1-25.
  30. Sharma, P., Thakur, A., Goyal, A., & Grewal, A. S. (2023). Molecular docking, 2D-QSAR and ADMET studies of 4-sulfonyl-2-pyridone heterocycle as a potential glucokinase activator. Results in Chemistry, 6, 101105.
  31. Shyam, M., Debnath, B., & Devbhut, P. (2016). Search for biological active thiazolidinedione: a short review. Indo Am J Pharm Res, 6(4), 5282-5311.
  32. Siddiqui, N., Arya, S. K., Ahsan, W., & Azad, B. (2011). Diverse biological activities of Thiazoles: A Retrospect. Int J Drug Dev Res, 3(4), 55-67..
  33. Singh, G., Kumar, R., DS, D., Chaudhary, M., Kaur, C., & Khurrana, N. (2024). Thiazolidinedione as a Promising Medicinal Scaffold for the Treatment of Type 2 Diabetes. Current Diabetes Reviews, 20(6), 89-109.
  34. Sucheta, Tahlan, S., & Verma, P. K. (2017). Biological potential of thiazolidinedione derivatives of synthetic origin. Chemistry Central Journal, 11, 1-29.
  35. Thottappillil A, Kouser S, Badiger AV, Pinto PG, Ramachandran S, Janadri S, Mudagal MP, Kukkupuni SK, Mohan S S, Chethala N V. Anti-diabetic and anti-adipogenic effects of polyherbal formulation Varanadi kashayam with a focus on incretin modulation. bioRxiv. 2024:2024-06.
  36. Ullah, N., Alam, A., Zainab, Elhenawy, A. A., Naz, S., Islam, M. S., & Ahmad, M. (2024). Investigating novel thiophene carbaldehyde based thiazole derivatives as potential hits for diabetic management: synthesis, in vitro and in silico approach. ChemistrySelect, 9(8), e202304601.
  37. Wu, J., Ma, Y., Zhou, H., Zhou, L., Du, S., Sun, Y., ... & Wang, R. (2020). Identification of protein tyrosine phosphatase 1B (PTP1B) inhibitors through De Novo Evoluton, synthesis, biological evaluation and molecular dynamics simulation. Biochemical and Biophysical Research Communications, 526(1), 273-280.

Photo
Anila Mishra
Corresponding author

Amity Institute of Pharmacy, Lucknow, Amity University Uttar Pradesh, Sector-125, Noida-201313, India.

Photo
Simiran Singh
Co-author

Amity Institute of Pharmacy, Lucknow, Amity University Uttar Pradesh, Sector-125, Noida-201313, India.

Simiran Singh, Anila Mishra*, Thiazole Derivatives in Diabetes Management: Recent Progress and Future Perspective, Int. J. of Pharm. Sci., 2025, Vol 3, Issue 5, 3020-3037. https://doi.org/10.5281/zenodo.15458382

More related articles
Phytochemical and Pharmacological Insights into Fi...
Chaithra K, Rishika H Menon, Ramya S, S Vidyasree, Sachin G, Ranj...
A Review Article On Hyperuricemia And Gout Disease...
Dnyaneshwari Kure, Komal Chavan, Kavita Kulkarni , Ashish Shalik ...
Herbal Jelly: A Natural Functional Food for Health and Wellness...
Mansee Bhoir, Aniket Gudur, Rini Punathil, Sanket Dharashivkar, ...
A Review On Updates To OECD Guidelines On The Testing Of Chemicals ...
Aniket Dattatraya Takale, Dr. Ajay Y. Kale, Dr. Kishor V. Otari, ...
Related Articles
A Review on Formulation and Evaluation of Mirabegron Extended-Release Tablets...
Chandra Prakash Sunuwar, Meenakshi Kandwal, Shivanand Patil, ...
Drug-Device Combinations And Materiovigilance In The Cardiology Department Of A ...
Abhirami Jose, Jeeva Santhiya, eepika Kumar, Anjali M. A., Manjula Devi A. S, R. Vickram Vignesh, ...
More related articles
Phytochemical and Pharmacological Insights into Ficus platyphylla and Ricinus co...
Chaithra K, Rishika H Menon, Ramya S, S Vidyasree, Sachin G, Ranjith Kumar P, ...
A Review Article On Hyperuricemia And Gout Disease...
Dnyaneshwari Kure, Komal Chavan, Kavita Kulkarni , Ashish Shalik Faltankar, ...
Phytochemical and Pharmacological Insights into Ficus platyphylla and Ricinus co...
Chaithra K, Rishika H Menon, Ramya S, S Vidyasree, Sachin G, Ranjith Kumar P, ...
A Review Article On Hyperuricemia And Gout Disease...
Dnyaneshwari Kure, Komal Chavan, Kavita Kulkarni , Ashish Shalik Faltankar, ...