View Article

Abstract

Rheumatoid arthritis (RA) is a chronic autoimmune inflammatory disorder characterized by persistent synovial inflammation, cartilage degradation, and progressive joint damage, which ultimately leads to functional disability and reduced quality of life. Conventional management primarily involves disease-modifying anti-rheumatic drugs (DMARDs) such as methotrexate and sulfasalazine administered through oral or parenteral routes. Although these therapies are effective in controlling disease progression, long-term administration is frequently associated with gastrointestinal irritation, systemic adverse effects, fluctuating plasma drug levels, and reduced patient compliance. Transdermal drug delivery systems (TDDS) have emerged as a promising alternative approach that enables controlled and sustained drug release while bypassing hepatic first-pass metabolism and minimizing gastrointestinal complications. Several studies have reported the development of transdermal delivery systems for anti-rheumatic drugs to improve therapeutic efficiency and maintain stable plasma drug concentrations. The combination of methotrexate and sulfasalazine has demonstrated synergistic therapeutic effects through complementary anti-inflammatory and immunomodulatory mechanisms. Furthermore, recent advancements such as microneedle-assisted delivery, iontophoresis, and nanocarrier-based systems have enhanced drug permeation through the skin and improved the overall effectiveness of TDDS. This review highlights the therapeutic potential, formulation considerations, advantages, challenges, and future perspectives of transdermal combination therapy for improved management of rheumatoid arthritis

Keywords

Rheumatoid arthritis; Transdermal drug delivery system; Methotrexate; Sulfasalazine; Combination therapy

Introduction

Rheumatoid arthritis (RA) is a chronic, systemic autoimmune inflammatory disorder that primarily affects synovial joints. It is characterized by persistent synovial inflammation, pannus formation, cartilage destruction, and progressive bone erosion, which ultimately lead to joint deformity and functional disability. The global prevalence of RA is estimated to be approximately 0.5–1%, with a higher incidence observed in women¹?. The pathogenesis of RA involves complex immune-mediated mechanisms, including activation of T-cells, B-cells, and macrophages, which results in the release of pro-inflammatory cytokines such as **tumor necrosis factor-alpha (TNF-α), interleukin-1 (IL-1), and interleukin-6 (IL-6)**¹¹. Persistent inflammation and immune dysregulation contribute to progressive structural damage of the joints and significantly impair the quality of life of affected individuals¹¹. Conventional treatment strategies mainly involve oral or injectable disease-modifying anti-rheumatic drugs (DMARDs) such as methotrexate and sulfasalazine, which help control disease progression. However, long-term therapy with these drugs may be associated with systemic side effects, gastrointestinal irritation, and reduced patient compliance¹?,¹?. These limitations highlight the need for alternative drug delivery approaches that can enhance therapeutic efficacy while minimizing systemic toxicity¹³.

Transdermal Drug Delivery Systems (TDDS) have emerged as a promising strategy for delivering therapeutic agents through the skin into systemic circulation. These systems offer several advantages, including avoidance of first-pass metabolism, controlled drug release, reduced gastrointestinal irritation, and improved patient compliance¹?,²?. Furthermore, transdermal patches can maintain sustained therapeutic drug levels over extended periods, making them particularly suitable for the management of chronic diseases such as rheumatoid arthritis¹?. Recent studies have emphasized the importance of advanced drug delivery technologies in improving therapeutic outcomes. Raina et al. highlighted the role of nanotechnology in enhancing drug penetration and therapeutic efficiency in topical drug delivery systems¹. Prajapati et al. discussed formulation strategies aimed at improving stability and effectiveness of topical delivery systems³. Similarly, Bandawane and Saudagar described emerging trends in novel drug delivery systems and their potential to improve bioavailability and targeted drug action?. Bansal et al. reviewed the development of transdermal drug delivery systems and emphasized their ability to provide sustained and controlled drug release¹³. Singh and Morris also reported that biological factors significantly influence drug permeation through the skin and affect the performance of transdermal therapeutic systems?. Considering these advantages, transdermal delivery of anti-rheumatic drugs such as methotrexate and sulfasalazine has gained increasing attention as an alternative therapeutic strategy for rheumatoid arthritis management. Transdermal systems may improve drug bioavailability, reduce systemic toxicity, and enhance patient adherence during long-term therapy¹².

AIM & OBJECTIVE

Aim :

To review the therapeutic potential of Transdermal Drug Delivery System in the management of Rheumatoid Arthritis, focusing on improving drug efficacy, safety, and patient compliance compared to conventional therapy.

Objectives:

  1. To study the pathophysiology, causes, and clinical manifestations of Rheumatoid Arthritis.
  2. To analyze the limitations of conventional oral and injectable therapies used in RA management.
  3. To review the principles, mechanism, components, and types of Transdermal Drug Delivery Systems (TDDS).
  4. To evaluate formulation strategies and evaluation parameters of transdermal patches.
  5. To assess the suitability of drugs such as Methotrexate and Sulfasalazine for transdermal delivery.
  6. To highlight the advantages of TDDS in providing sustained drug release, reducing gastrointestinal side effects, and enhancing long-term patient adherence.

METHODOLOGY OF LITERATURE REVIEW

The present review was conducted by collecting and analyzing previously published research articles, review papers, and scientific reports related to rheumatoid arthritis and transdermal drug delivery systems. Relevant literature was obtained from scientific databases such as PubMed, Google Scholar, ScienceDirect, and other peer-reviewed journals. The collected studies were carefully evaluated to understand the pathophysiology of rheumatoid arthritis, limitations of conventional therapies, and the potential role of transdermal drug delivery systems in improving therapeutic outcomes. Particular emphasis was given to studies describing formulation strategies, drug permeation mechanisms, evaluation parameters, and recent advancements in transdermal drug delivery technologies.

DRUG DESCRIPTION

Sulfasalazine

Sulfasalazine is a disease-modifying anti-rheumatic drug (DMARD) used in the management of autoimmune and inflammatory conditions. It may be administered alone or in combination with other medications, particularly methotrexate, in the treatment of rheumatoid arthritis. Sulfasalazine was introduced in the 1950s, initially for the treatment of inflammatory bowel disease. At that time, rheumatoid arthritis was thought to be associated with bacterial infection, which led to its therapeutic use in arthritis. Following positive clinical trial results in the late 1970s, its use expanded significantly in rheumatoid arthritis and certain forms of juvenile arthritis. It is also widely used in the management of ulcerative colitis and Crohn’s disease.

Mechanism of Action

Sulfasalazine is converted by intestinal bacteria into its active metabolites. These active components help regulate and suppress the overactive immune response, thereby reducing inflammation and disease activity. The medication is typically started at a low dose and gradually increased over approximately three weeks until the full therapeutic dose is achieved.

Sulfasalazine is available in tablet and liquid formulations and can be used either as monotherapy or in combination with other DMARDs.

Adverse Effects

Like all medications, sulfasalazine may cause side effects, although not all patients experience them. Most side effects occur within the first three to six months of treatment.

Commonly reported adverse effects include nausea, vomiting, dizziness, headache, diarrhea, and loss of appetite. Other possible reactions include skin rash, raised temperature, insomnia, itching, tinnitus (ringing in the ears), bruising, sore throat, mouth ulcers, and cough.

Sulfasalazine may also affect laboratory parameters, including blood cell counts, liver function tests, and inflammatory markers such as C-reactive protein (CRP) and erythrocyte sedimentation rate (ESR).

1

                                      

 

  1. Name: Sulfasalazine
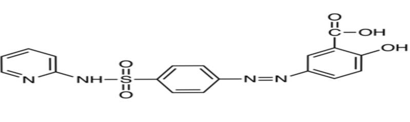
  2. IUPAC Name: 2-Hydroxy-5-[(4-(pyridin-2-yl-sulfamoyl)phenyl)azo]benzoic acid
  3. Molecular Formula: C??H??N?O?S
  4. Molecular Weight:398.39 g/mol
  5. Structure: Sulfasalazine is an azo compound formed by linking 5-aminosalicylic acid (5-ASA)andSulfapyridinethrough an –N=N– (azo linkage).
  6. Structural Features:
  • One azo group (–N=N–)
  • One carboxylic acid group (–COOH)
  • One phenolic –OH group
  • One sulfonamide group (–SO?NH–)
  • One pyridine ring
  • It consists of: Salicylic acid ring — N=N — Phenyl ring — SO?NH — Pyridine ring
  1. Appearance
      • Color: Yellow to brownish-yellow crystalline powder
      • Odor: Odorless or nearly odorless
      • Taste: Slightly bitter
      • Solubility: Practically insoluble in water, soluble in dilute alkali

Methotrexate

Methotrexate (MTX) is a folic acid analogue and antimetabolite widely used as a first-line disease-modifying anti-rheumatic drug (DMARD) in severe and persistent rheumatoid arthritis (RA). It is significantly more effective than placebo in reducing disease activity and slowing progression. It is also used in psoriasis and certain malignancies.

Pharmacokinetics

Methotrexate is rapidly but incompletely absorbed after oral administration and is about 50% bound to plasma albumin. It distributes into extracellular fluids, including synovial fluid, and accumulates in the liver and kidneys. In the liver, it may be converted to 7-hydroxymethotrexate.

Inside cells, methotrexate is converted into methotrexate polyglutamate forms by folylpolyglutamate synthase (FPGS), which prolong intracellular retention. It is primarily eliminated through the kidneys by filtration and tubular secretion. At higher doses, elimination may become saturated, leading to non-linear kinetics.

Mechanism of Action

Methotrexate inhibits dihydrofolate reductase (DHFR), blocking DNA and RNA synthesis. In rheumatoid arthritis, its anti-inflammatory effect is mainly due to increased adenosine accumulation following intracellular polyglutamation.

Adverse Effects

Common adverse effects include:

  • Nausea, vomiting, diarrhea
  • Stomatitis
  • Fatigue and dizziness
  • Skin rash and photosensitivity
  • Decreased white blood cells and platelets
  • Elevated liver enzymes

Regular monitoring of blood counts and liver function is recommended.

 

 

 

  1. Name: Methotrexate
  2. IUPAC Name: (2S)-2-[(4-{[2,4-diaminopteridin-6-yl)methylamino}benzoyl)amino]pentanedioic acid
  3. Chemical Class: Antimetabolite (Folic acid analogue)
  4. Molecular Formula: C20H22N8O5
  5. Molecular Weight: 454.44 g/mol
  6. Structure Description:

    Methotrexate consists of:

  • A pteridine ring
  • A para-aminobenzoic acid (PABA) group
  • A glutamic acid moiety

It is structurally similar to folic acid, which allows it to inhibit the enzyme dihydrofolate reductase (DHFR).

  1. Appearance:
  • Yellow to orange crystalline powder
  • Odorless
  • Slightly soluble in water

Methodology

Combination Therapy: Transdermal Patch Formulation

Combination therapy using Sulfasalazine and Methotrexate is considered an effective strategy in rheumatoid arthritis patients who show an inadequate response to monotherapy. Both drugs belong to conventional disease-modifying antirheumatic drugs (DMARDs) and possess different mechanisms of action. Sulfasalazine helps reduce inflammation by inhibiting inflammatory mediators, whereas Methotrexate suppresses immune activation through folate antagonism. The combined use of these drugs can produce a synergistic therapeutic effect by targeting multiple inflammatory pathways. Several clinical studies have reported improved disease activity control and better functional outcomes with combination therapy without a significant increase in toxicity.

Objective

• To review formulation strategies for developing matrix-type transdermal patches containing Methotrexate and Sulfasalazine.
• To summarize physicochemical properties and in-vitro drug release characteristics reported for such formulations.
• To review the role of different permeation enhancers used to improve transdermal drug delivery.

Various studies have reported the use of active pharmaceutical ingredients such as Methotrexate and Sulfasalazine for transdermal delivery. Polymers like Hydroxypropyl methylcellulose (HPMC) and Eudragit RL/RS have been commonly employed for patch formulation. Plasticizers such as Polyethylene glycol (PEG-400) or Propylene glycol are often incorporated to improve film flexibility. Permeation enhancers including Oleic acid or Dimethyl sulfoxide have been investigated to enhance drug permeation through the skin. Solvent systems such as Ethanol or Methanol are frequently used for dissolving the polymeric components. Backing membranes and release liners are also reported as essential components in the preparation of transdermal patches.

Method of Preparation

Several studies have reported the preparation of transdermal patches using the solvent casting method. In this method, selected polymers are dissolved in suitable solvents to obtain a homogeneous polymeric solution. Plasticizers are incorporated to improve the flexibility of the patch. Accurately weighed quantities of drugs such as Methotrexate and Sulfasalazine are dispersed in the polymeric solution, followed by the addition of permeation enhancers to facilitate drug permeation through the skin. The resulting solution is then poured onto a leveled casting surface and allowed to dry under controlled conditions for complete solvent evaporation.

The dried films are carefully removed, cut into patches of uniform size, and stored under appropriate conditions until further evaluation.

Evaluation Parameters:

Evaluation Tests for Transdermal Drug Delivery Systems (TDDS) This report presents a concise and copyright-free summary of evaluation tests commonly used for Transdermal Drug Delivery Systems (TDDS). All information is rewritten in original wording based on general scientific knowledge and open-access research references.

 

Table 1: Evaluation parameters reported for transdermal drug delivery systems

Category

Test Name

Purpose

Method (Brief

Description)

Physical Evaluation

Thickness

Ensure uniformity of the patch

Measured at different points using micrometer; mean ± SD calculated

Physical Evaluation

Weight Variation

Confirm even distribution of drug

and materials

Weigh multiple patches individually and calculate

% variation

Physical Evaluation

Folding Endurance

Determine mechanical flexibility

Fold repeatedly at samepoint until it breaks; record number of folds

Physical Evaluation

Tensile Strength

Measure strength and elasticity

Use tensile testing machine; record maximum force before breaking

Chemical Evaluation

Drug Content Uniformity

Check drug loading and distribution

Extract drug with solvent and analyze by UV orHPLC

Chemical Evaluation

Moisture Content

Assess stability and quality

Weigh before and after drying to determine moisture percentage

Adhesive Property Tests

Peel Adhesion Test

Evaluate adhesive strength to substrate

Peel the patch at 90° or 180°; record required force

Adhesive Property Tests

Tack Test

Determine initial stickiness

Use rolling ball or probe tack method

Permeation / Release Studies

In Vitro Drug Release

Study drug release kinetics

Use Franz diffusion cell; collect samples at set

intervals

Permeation / Release Studies

Ex-Vivo Permeation

Assess permeation through real skin

Use excised animal/human skin in Franz diffusion cell

Biological Evaluation

Skin-Irritation Test

Ensure non-irritancy on skin

Apply patch to skin; observe for redness, swelling or irritation

Stability Study

Accelerated Stability Study

Evaluate performance over time

Store patches at 40°C ± 2°C/75% ± 5% RH; assess after3–6 months

 

RESULTS

Reported studies indicate that matrix-type transdermal patches of Methotrexate and Sulfasalazine prepared by the solvent casting method exhibit satisfactory physicochemical properties. The patches are generally reported to show uniform thickness, minimal weight variation, good folding endurance, and acceptable drug content uniformity.

Surface pH values are usually near neutral, indicating good skin compatibility. In-vitro drug release studies reported in the literature demonstrate sustained drug release over extended periods. The use of permeation enhancers has also been shown to improve drug release and skin permeation.

DISCUSSION

Reported studies on transdermal patches of Methotrexate and Sulfasalazine indicate promising potential for the management of rheumatoid arthritis. The physicochemical evaluation parameters described in the literature suggest good mechanical strength, uniformity, and stability of the formulated patches. Sustained drug release profiles reported in various studies support prolonged therapeutic action. In addition, the use of permeation enhancers has been shown to improve drug permeation through the skin. Overall, transdermal delivery of these drugs may provide an alternative approach for improving therapeutic outcomes in rheumatoid arthritis management.

CONCLUSION

The present review highlights the potential of a combination transdermal drug delivery system of Methotrexate and Sulfasalazine as an alternative approach to conventional oral therapy in the management of rheumatoid arthritis. Reported studies indicate that matrix-type transdermal patches of these drugs exhibit satisfactory physicochemical properties, sustained drug release, and improved permeation characteristics. By bypassing first-pass metabolism and reducing gastrointestinal adverse effects, transdermal delivery may enhance therapeutic efficacy, safety, and patient compliance during long-term treatment. In addition, the complementary mechanisms of both drugs may contribute to improved disease control. Therefore, combination transdermal therapy represents a promising strategy for improving clinical outcomes in rheumatoid arthritis management.

ACKNOWLEDGEMENT

The authors sincerely express their gratitude to the respected project guide for valuable guidance, continuous support, and encouragement throughout the completion of this work. The authors are also thankful to the Head of the Department and faculty members for providing the necessary facilities and academic support. Finally, the authors extend their sincere thanks to family and friends for their constant motivation and support.

REFERENCES

  1. Raina N, Rani R, Thakur VK and Gupta M: New insights in topical drug delivery for skin disorders from a nanotechnological perspective. ACS Omega 2023; 8: 19145–19167.
  2. Sahoo SK, Dilnawaz F and Krishnakumar S: Nanotechnology in ocular drug delivery. Drug Discovery Today 2008; 13: 144–151.
  3. Prajapati ST, Patel LD and Patel DM: Advances in topical drug delivery systems. Asian Journal of Pharmaceutics 2018; 12: S859–S870.
  4. Patel A, Cholkar K, Agrahari V and Mitra AK: Ocular drug delivery systems: An overview. World Journal of Pharmacology 2013; 2: 47–64.
  5. Kumar R and Philip A: Modified transdermal technologies breaking the barriers of drug permeation via the skin. Tropical Journal of Pharmaceutical Research 2007; 6: 633–644.
  6. Singh I and Morris AP: Performance of transdermal therapeutic systems effects of biological factors. International Journal of Pharmaceutical Investigation 2011; 1: 4–9.
  7. Chein YW: Transdermal drug delivery and delivery systems. In: Novel Drug Delivery Systems. New York: Marcel Dekker Inc; 1992: 301–381.
  8. Anonymous: Nanotechnology-based intranasal drug delivery systems: A review. International Journal of Drug Delivery Technology 2024; 14: 472–480.
  9. Bandawane A and Saudagar R: A review on novel drug delivery system: A recent trend. Journal of Drug Delivery and Therapeutics 2019; 9: 517–521.
  10. Prausnitz MR and Langer R: Transdermal drug delivery. Nature Biotechnology 2008; 26: 1261–1268.
  11. Singh JA, Saag KG, Bridges SL, Akl EA, Bannuru RR and Sullivan MC: 2019 update of the American College of Rheumatology guideline for the treatment of rheumatoid arthritis. Arthritis Care and Research 2019; 71: 1540–1555.
  12. Pawar VB, Patil SS and Shinde ND: Formulation, evaluation and optimization of transdermal drug delivery system of methotrexate using different ratio of Eudragit RLPO and RSPO. International Journal of Pharmacy Research and Technology 2023; 13: 45–52.
  13. Bansal K, Rawat MK, Jain A, Rajput A and Chaturvedi TP: Development of transdermal drug delivery systems: A review. International Journal of Pharmaceutical Sciences Review and Research 2020; 65: 52–60.
  14. O'Dell JR, Haire CE, Erikson N, Drymalski W, Palmer W and Eckhoff PJ: Efficacy of sulphasalazine plus methotrexate in rheumatoid arthritis. The New England Journal of Medicine 1996; 334: 1287–1291.
  15. Alam MT, Rahman MM and Hossain MS: Effects of combination therapy of methotrexate with sulfasalazine and hydroxychloroquine: Comparative clinical trial. Journal of Pharmaceutical Research International 2021; 33: 240–247.
  16. Nithyashree RS and Deveswaran R: A comprehensive review on rheumatoid arthritis. Journal of Pharmaceutical Research International 2020; 32: 18–32.
  17. Saroha K, Yadav B, Sharma B and Yadav S: Transdermal patch: A discrete dosage form. International Journal of Current Pharmaceutical Research 2011; 3: 98–108.
  18. Mahajan A, Chhabra N and Aggarwal G: Formulation and characterization of transdermal patches: A review. International Journal of Pharmaceutical Sciences Research 2013; 4: 3373–3383.
  19. Aqil M, Ali A, Sultana Y and Dubey K: Transdermal drug delivery systems of a drug with low oral bioavailability. Drug Development and Industrial Pharmacy 2004; 30: 93–101.
  20. Kumar S and Jain P: A review on transdermal drug delivery system. PharmaTutor 2010; 1: 32–37.

Reference

  1. Raina N, Rani R, Thakur VK and Gupta M: New insights in topical drug delivery for skin disorders from a nanotechnological perspective. ACS Omega 2023; 8: 19145–19167.
  2. Sahoo SK, Dilnawaz F and Krishnakumar S: Nanotechnology in ocular drug delivery. Drug Discovery Today 2008; 13: 144–151.
  3. Prajapati ST, Patel LD and Patel DM: Advances in topical drug delivery systems. Asian Journal of Pharmaceutics 2018; 12: S859–S870.
  4. Patel A, Cholkar K, Agrahari V and Mitra AK: Ocular drug delivery systems: An overview. World Journal of Pharmacology 2013; 2: 47–64.
  5. Kumar R and Philip A: Modified transdermal technologies breaking the barriers of drug permeation via the skin. Tropical Journal of Pharmaceutical Research 2007; 6: 633–644.
  6. Singh I and Morris AP: Performance of transdermal therapeutic systems effects of biological factors. International Journal of Pharmaceutical Investigation 2011; 1: 4–9.
  7. Chein YW: Transdermal drug delivery and delivery systems. In: Novel Drug Delivery Systems. New York: Marcel Dekker Inc; 1992: 301–381.
  8. Anonymous: Nanotechnology-based intranasal drug delivery systems: A review. International Journal of Drug Delivery Technology 2024; 14: 472–480.
  9. Bandawane A and Saudagar R: A review on novel drug delivery system: A recent trend. Journal of Drug Delivery and Therapeutics 2019; 9: 517–521.
  10. Prausnitz MR and Langer R: Transdermal drug delivery. Nature Biotechnology 2008; 26: 1261–1268.
  11. Singh JA, Saag KG, Bridges SL, Akl EA, Bannuru RR and Sullivan MC: 2019 update of the American College of Rheumatology guideline for the treatment of rheumatoid arthritis. Arthritis Care and Research 2019; 71: 1540–1555.
  12. Pawar VB, Patil SS and Shinde ND: Formulation, evaluation and optimization of transdermal drug delivery system of methotrexate using different ratio of Eudragit RLPO and RSPO. International Journal of Pharmacy Research and Technology 2023; 13: 45–52.
  13. Bansal K, Rawat MK, Jain A, Rajput A and Chaturvedi TP: Development of transdermal drug delivery systems: A review. International Journal of Pharmaceutical Sciences Review and Research 2020; 65: 52–60.
  14. O'Dell JR, Haire CE, Erikson N, Drymalski W, Palmer W and Eckhoff PJ: Efficacy of sulphasalazine plus methotrexate in rheumatoid arthritis. The New England Journal of Medicine 1996; 334: 1287–1291.
  15. Alam MT, Rahman MM and Hossain MS: Effects of combination therapy of methotrexate with sulfasalazine and hydroxychloroquine: Comparative clinical trial. Journal of Pharmaceutical Research International 2021; 33: 240–247.
  16. Nithyashree RS and Deveswaran R: A comprehensive review on rheumatoid arthritis. Journal of Pharmaceutical Research International 2020; 32: 18–32.
  17. Saroha K, Yadav B, Sharma B and Yadav S: Transdermal patch: A discrete dosage form. International Journal of Current Pharmaceutical Research 2011; 3: 98–108.
  18. Mahajan A, Chhabra N and Aggarwal G: Formulation and characterization of transdermal patches: A review. International Journal of Pharmaceutical Sciences Research 2013; 4: 3373–3383.
  19. Aqil M, Ali A, Sultana Y and Dubey K: Transdermal drug delivery systems of a drug with low oral bioavailability. Drug Development and Industrial Pharmacy 2004; 30: 93–101.
  20. Kumar S and Jain P: A review on transdermal drug delivery system. PharmaTutor 2010; 1: 32–37.

Photo
Akshay Nemade
Corresponding author

B.K. Patil Institute of Pharmacy, Taloja Phase 2, Navi Mumbai, Maharashtra

Photo
Vanita Pawar
Co-author

B.K. Patil Institute of Pharmacy, Taloja Phase 2, Navi Mumbai, Maharashtra

Photo
Shraddha Pawar
Co-author

B.K. Patil Institute of Pharmacy, Taloja Phase 2, Navi Mumbai, Maharashtra

Photo
Rushikesh Sakhare
Co-author

B.K. Patil Institute of Pharmacy, Taloja Phase 2, Navi Mumbai, Maharashtra

Photo
Suchismita Sahoo
Co-author

B.K. Patil Institute of Pharmacy, Taloja Phase 2, Navi Mumbai, Maharashtra

Photo
Shruti Pinglaskar
Co-author

B.K. Patil Institute of Pharmacy, Taloja Phase 2, Navi Mumbai, Maharashtra

Akshay Nemade, Vanita Pawar, Shraddha Pawar, Shruti Pinglaskar, Rushikesh Sakhare, Suchismita Sahoo, Review of Novel Transdermal Platform for Efficient Rheumatoid Arthritis Treatment, Int. J. of Pharm. Sci., 2026, Vol 4, Issue 3, 2477-2484. https://doi.org/Akshay Nemade, Vanita Pawar, Shraddha Pawar, Shruti Pinglaskar, Rushikesh Sakhare, Suchismita Sahoo, Review of Novel Transdermal Platform for Efficient Rheumatoid Arthritis Treatment, Int. J. of Pharm. Sci., 2026, Vol 4, Issue 3, 2477-2484. https://doi.org/10.5281/zenodo.19146486

More related articles
Emerging Application Progress of Deep Generative M...
Pradnya Ghatage, Tejashree Khamkar, Rutuja Chougule, Tanuja Chogu...
Sublingual Dosage Form...
Namrata S. Revar, Samruddhi B. Sawant, Sanjeevani D. Rupwate, ...
A Review on Advances in Mucoadhesive drug delivery...
G. Vennela, M. Suntha Reddy, K. Anie Vijetha , ...
Assessment Of Free Radical In Ethyl Acetate Extract Of Pandanus Julianettii Frui...
Krisna Dewi, Helmina Pigai, Eva S. Simaremare, Septiani Mangiwa, Aliya Rysbekova, Erpina S. M. Nadea...
Undergraduate Students’ Industrial Work Experience in Pharmacy Education: A Re...
Nnenna Ajagu, Nnadi Ifesoluchi Favou, Adaora Agatha Ugwu, Kalu Beatrice Arunsi, Maureen Aneto, ...
Related Articles
Gallic Acid Nanofiber Loaded in Polymer PVP And Peg by Electrospun...
Dr. Omprakash Bhusnure , Rajashree Biradar, Shivam Vyavahare , Mani Ganesh, Vijayendra Swammy , Hyun...
Golden Spice for The Fight; Unearthing Curcumin’s Anticancer Secrets...
Aswathi K. M., Aiswarya lakshmi T., Shahala, Tanuja ameen K. P., Swathi K. P., ...
A Review on Pathogenesis and Treatment of Rheumatoid Arthritis ...
Sameeksha Deshmukh, Sachitanand Biradar , Sushma Panchal , ...
Safety and Efficacy of Cread-AM in Managing Stress and Anxiety in Adults: A Sing...
Dr. Suhasini Deshpande, Manik Chaudhuri, Girisha Maheshwari, ...
Emerging Application Progress of Deep Generative Models in De Novo Drug Design...
Pradnya Ghatage, Tejashree Khamkar, Rutuja Chougule, Tanuja Chogule, Rutuja More, ...
More related articles
Emerging Application Progress of Deep Generative Models in De Novo Drug Design...
Pradnya Ghatage, Tejashree Khamkar, Rutuja Chougule, Tanuja Chogule, Rutuja More, ...
Sublingual Dosage Form...
Namrata S. Revar, Samruddhi B. Sawant, Sanjeevani D. Rupwate, ...
Emerging Application Progress of Deep Generative Models in De Novo Drug Design...
Pradnya Ghatage, Tejashree Khamkar, Rutuja Chougule, Tanuja Chogule, Rutuja More, ...
Sublingual Dosage Form...
Namrata S. Revar, Samruddhi B. Sawant, Sanjeevani D. Rupwate, ...