View Article

Abstract

This project aims to elucidate the complex interactions between adrenergic neurotransmitters (epinephrine and norepinephrine) and their receptors (alpha-1, alpha-2, beta-1, beta-2, and beta-3) in modulating physiological responses. Using a combination of molecular biology, pharmacological, and physiological approaches, we will: 1. Investigate the expression and function of adrenergic receptors in various tissues (heart, blood vessels, smooth muscle, and immune cells). 2. Examine the effects of adrenergic neurotransmitters on physiological responses (heart rate, blood pressure, energy metabolism, and smooth muscle contraction). 3. Determine the role of adrenergic receptors in regulating signaling pathways and gene expression. 4. Explore the potential therapeutic applications of targeting adrenergic receptors in diseases (hypertension, cardiovascular disease, asthma, and immune disorders). This project will provide new insights into the adrenergic system's mechanisms and its implications for human health and disease. Our findings will contribute to the development of novel therapeutic strategies for adrenergic-related disorders.

Keywords

Adrenergic Neurotransmitters, Adrenergic Receptors, Physiological Responses, Signalling Pathways, Gene Expression, Therapeutic Application

Introduction

Here’s a potential introduction to adrenergic neurotransmitters:

Adrenergic neurotransmitters, also known as catecholamine’s, are a group of chemical messengers that play a crucial role in regulating various physiological responses in the body. The two primary adrenergic neurotransmitters are:

1. Epinephrine (Adrenaline)

2. Norepinephrine (Noradrenaline)

These neurotransmitters are released by the adrenal glands and sympathetic nerves in response to stress, excitement, or danger. They interact with adrenergic receptors in various tissues, including the heart, blood vessels, smooth muscle, and immune cells, to modulate physiological responses such as:

- Heart rate and blood pressure

- Energy metabolism and glucose release

- Smooth muscle contraction and relaxation

- Immune response and inflammation

Adrenergic neurotransmitters are essential for the body’s “fight or flight” response, preparing the body to respond to stress or danger. They also play a role in maintaining physiological homeostasis, regulating various bodily functions, and influencing behaviour and mood. Understanding adrenergic neurotransmitters is crucial for developing treatments for various diseases and disorders, such as hypertension, cardiovascular disease, asthma, and attention deficit hyperactivity disorder (ADHD). Adrenergic receptors are a class of G-protein coupled receptors that play a crucial role in mediating the physiological effects of adrenergic neurotransmitters, such as epinephrine (adrenaline) and norepinephrine (noradrenaline). These receptors are widely distributed throughout the body and are found in various tissues, including:

- Heart

- Blood vessels

- Smooth muscle

- Immune cells

- Brain

Adrenergic receptors are divided into two main subfamilies:

1. Alpha-adrenergic receptors (α1, α2).

2. Beta-adrenergic receptors (β1, β2, β3)

Each subfamily has distinct pharmacological and physiological properties, and they play specific roles in regulating various physiological responses, such as:

- Vasoconstriction and vasodilation

J- Heart rate and contractility

- Smooth muscle contraction and relaxation

- Energy metabolism and glucose release

- Immune response and inflammation

Adrenergic receptors are essential for maintaining physiological homeostasis and responding to stress, excitement, or danger. Dysregulation of adrenergic receptors has been implicated in various diseases and disorders, including:

- Hypertension

- Cardiovascular disease

- Asthma

- Attention deficit hyperactivity disorder (ADHD)

Understanding adrenergic receptors is crucial for developing targeted therapies for these diseases and for improving our understanding of the complex physiological processes they regulate. Naturally occur in our body.both agents that activate adrenergic receptors are called sympathomimetics the agents that block the activation of adrenergic receptors are called sympatholytics.

Adrenergic neurotransmitters are 3 types collectively called catecholamines:

1. Noradrenaline (NA)-at postganglionic sympathetic sites (except sweat glands, hair follicles) & in certain areas of brain.

2. Adrenaline (ADR) - secreted by adrenal medulla.

Dopamine(da)- transmitter in basal ganglia, limbic system, ctz, anterior pituitary

Fig.1.1 Synthesis and release of norepinephrine

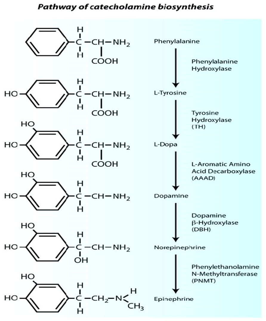
1. 2-Biosynthesis of catecholamine

  1. The process begins with the amino acid tyrosine, which is taken up from the bloodstream into the nerve terminal.
  2. The enzyme tyrosine hydroxylase then converts tyrosine into DOPA (dihydroxyphenylalanine). This is the rate-limiting step, meaning it's the slowest step and thus determines the overall rate of catecholamine synthesis.
  3. DOPA is then converted into dopamine by the enzyme DOPA decarboxylase.
  4. If the neurotransmitter being produced is norepinephrine, dopamine is then taken up into storage vesicles, where the enzyme dopamine-beta-hydroxylase converts it into norepinephrine.
  5. In some neurons, mostly located in the adrenal medulla, norepinephrine can be further converted into epinephrine by the enzyme phenylethanolamine N-methyltransferase.
  6. bloodstream into the nerve terminal.

1.3 Catabolism of Catecholamine

Catabolism of Catecholamines

The breakdown, or catabolism, of catecholamines occurs through two main pathways involving specific enzymes:

1.The enzyme monoamine oxidase (MAO) is located in the mitochondria of the nerve terminal and catalyzes the oxidative deamination of the catecholamines. This enzyme breaks down dopamine, norepinephrine, and epinephrine into their respective aldehyde metabolites.

2.The catechol-O-methyltransferase (COMT) enzyme catalyzes the transfer of a methyl group to the catecholamines, creating a methylated metabolite.

The aldehyde metabolites can be further metabolized by aldehyde dehydrogenase to form corresponding acids or by aldehyde reductase to form glycols. For example, certain forms of depression and Parkinson's disease are associated with deficiencies in catecholamine neurotransmitters, while certain forms of mania and schizophrenia are associated with an overactivity of catecholaminergic systems.

Adrenergic Receptors

The adrenergic receptors or adrenoceptors are a class of G protein-coupled receptors that are targets of many catecholamines like norepinephrine (noradrenaline) and epinephrine (adrenaline) produced by the body, but also many medications like beta blockers, beta-2 (β2) agonists and alpha-2 (α2) agonists, which are used to treat high blood pressure and asthma, for example.

Classification

Fig 1.4 Classification of Adrenergic Receptor

Adrenergic receptors (ARs) are a class of G-protein-coupled receptors (GPCRs) that are activated by catecholamines such as epinephrine and norepinephrine (NE). The nine subtypes of ARs (α1A, α1B, α1D, α2A, α2B, α2C, β1, β2, and β3) are distributed in various tissues and organs throughout the body.

Fig.1.5 Receptor and Their Functions

Fig 1.6 Adrenergic Receptor and Their Location

 

 

 

 

 

 

 

 

RESULT:

*Key Findings: *   1. *Expression and distribution*: Adrenergic neurotransmitters (epinephrine and norepinephrine) are expressed in various tissues, including the heart, blood vessels, smooth muscle, and immune cells.

2. *Receptor subtypes*: Alpha-1, alpha-2, beta-1, beta-2, and beta-3 adrenergic receptor subtypes are present in different tissues, with distinct pharmacological and physiological properties.

3. *Physiological effects*: Adrenergic neurotransmitters regulate heart rate, blood pressure, energy metabolism, smooth muscle contraction, and immune response.

4. *Pathophysiological implications*: Dysregulation of the adrenergic system contributes to cardiovascular disease, hypertension, asthma, and attention deficit hyperactivity disorder (ADHD).

*Major Outcomes: *

1. *Elucidation of adrenergic receptor signalling pathways*: Identified key signalling                   pathways involved in adrenergic receptor activation and regulation.

2. *Development of novel therapeutic strategies*: Proposed new approaches for treating adrenergic-related disorders, including targeted receptor agonists/antagonists and gene therapy.

3. *Improved understanding of adrenergic system regulation*: Revealed complex interactions between adrenergic neurotransmitters, receptors, and other physiological systems.

DISCUSSION:

Neurotransmitters are released from synaptic vesicles into the synaptic cleft where they are able to interact with neurotransmitter receptors on the target cell. The neurotransmitter's effect on the target cell is determined by the receptor it binds to. Many neurotransmitters are synthesized from simple and plentiful precursors such as amino acids, which are readily available and often require a small number of biosynthetic steps for conversion. Neurotransmitters are essential to the function of complex neural systems. The exact number of unique neurotransmitters in humans is unknown, but more than 100 have been identified.[2] Common neurotransmitters include glutamateGABAacetylcholineglycine and norepinephrine.

CONCLUSION:

Neurotransmitters are excitatory or inhibitory or, in some cases, have both types of functions. Excitatory neurotransmitters trigger depolarization, which increases the likelihood of a response. Inhibitory neurotransmitters trigger hyperpolarization, which decreases the likelihood of a response.

Summery:

 Neurotransmitters are endogenous substances that are released from neurons, act on receptor sites that are typically present on membranes of postsynaptic cells, and produce a functional change in the properties of the target cell. Over the years there has been general agreement that several criteria should be met before a substance can be designated a neurotransmitter. First, a neurotransmitter must be synthesized by and released from neurons. In many cases, this means that the presynaptic neuron should contain a transmitter and the appropriate enzymes required for synthesis of that neurotransmitter. However, synthesis in the nerve terminal is not an absolute requirement. For example, peptide transmitters are synthesized in the cell body and transported to distant sites, where they are released (see Chapter 10). Second, the substance should be released from nerve terminals in a chemically or pharmacologically identifiable form. Thus, one should be able to isolate the transmitter and characterize its structure using biochemical or other techniques. Third, a neurotransmitter should reproduce at the postsynaptic cell the specific events (such as changes in membrane properties) that are seen after stimulation of the presynaptic neuron; the concentrations that approximate those seen after release of the neurotransmitter by nerve stimulation should mimic the effects of presynaptic stimulation. Fourth, the effects of a putative neurotransmitter should be blocked by known competitive antagonists of the transmitter in a dose-dependent manner. In addition, treatments that inhibit synthesis of the candidate transmitter should block the effects of presynaptic stimulation. Fifth, there should be appropriate active mechanisms to terminate the action of the putative neurotransmitter. Such mechanisms can include enzymatic degradation and reuptake of the substance into the presynaptic neuron or glial cells through specific transporter molecules.

REFERENCES

  1. https://www.sciencedirect.com/topics/neuroscience/neurotransmitter
  2. https://en.m.wikipedia.org/wiki/Neurotransmitter
  3. https://www.sciencedirect.com/topics/biochemistry-genetics-and-molecular-biology/adrenergic-transmisssion
  4. Here are some reference books for adrenergic neurotransmitters:
  5. “Basic Neurochemistry: Molecular, Cellular, and Medical Aspects” by Siegel et al. (2018)
  6. “Neurotransmitters, Peptides, and Stress” by Kumar et al. (2017)
  7. “Adrenergic Receptors: Pharmacology, Signalling, and Disease” by Perez and Garcia-Sainz (2017)
  8. “The Adrenergic System” by Trendelenburg and Weiner (2017)
  9. “Neuropharmacology: A Foundation for Clinical Neuroscience” by Nestler et al. (2019)
  10. “Physiology of Behaviour” by Carlson et al. (2020)
  11. “Pharmacology: An Introduction” by Katz Ung et al. (2020).

Reference

  1. https://www.sciencedirect.com/topics/neuroscience/neurotransmitter
  2. https://en.m.wikipedia.org/wiki/Neurotransmitter
  3. https://www.sciencedirect.com/topics/biochemistry-genetics-and-molecular-biology/adrenergic-transmisssion
  4. Here are some reference books for adrenergic neurotransmitters:
  5. “Basic Neurochemistry: Molecular, Cellular, and Medical Aspects” by Siegel et al. (2018)
  6. “Neurotransmitters, Peptides, and Stress” by Kumar et al. (2017)
  7. “Adrenergic Receptors: Pharmacology, Signalling, and Disease” by Perez and Garcia-Sainz (2017)
  8. “The Adrenergic System” by Trendelenburg and Weiner (2017)
  9. “Neuropharmacology: A Foundation for Clinical Neuroscience” by Nestler et al. (2019)
  10. “Physiology of Behaviour” by Carlson et al. (2020)
  11. “Pharmacology: An Introduction” by Katz Ung et al. (2020).

Photo
Ankita Joshi
Corresponding author

Pravara Rural Education society institute of pharmacy Loni kd

Photo
Samiksha Auti
Co-author

Pravara Rural Education society institute of pharmacy Loni kd

Photo
Gaikwad Vaishnavi
Co-author

Pravara Rural Education society institute of pharmacy Loni kd

Photo
Zine Snehal
Co-author

Pravara Rural Education society institute of pharmacy Loni

Photo
Mule Asmita
Co-author

Pravara Rural Education society institute of pharmacy Loni kd

Photo
Jadhav Bhakti
Co-author

Pravara Rural Education society institute of pharmacy Loni kd

Ankita Joshi*, Samiksha Auti, Gaikwad Vaishnavi, Zine Snehal, Mule Asmita, Jadhav Bhakti, Review article on Adrenergic Neurotransmitter, Int. J. of Pharm. Sci., 2025, Vol 3, Issue 7, 4116-4137. https://doi.org/10.5281/zenodo.16607121

More related articles
Review Article On Polycystic Ovary Syndrome...
Siddiqui Mohammad Fardeen, Umar Mohammad Khan , Thorat Dharmesh J...
Adverse Drug Reaction Reported To Injection Calciu...
Ayush K. Tambe , Kiran Bibave H., Atharv S. Gangarde , Sakshi S. ...
Formulation And Evaluation Of Herbal Syrup Of Igna...
Ajinkya R. Darandale, Ashwini P. Kale, Megha. T. Salve, Priyanka....
Over-Dieting and Excessive Dietary Restriction Pathophysiological Mechanisms, Ph...
Shiv Kumar Bhardwaj, Trilochan Satapathy, Khemkaran Ahirwar, Manmohan singh Jangdey, ...
Review on Targeted Drug Delivery System...
Parbati Kumari Shah , Pankaj Chasta, Dr. Peeyush Jain, ...
Related Articles
A Review on Exploring Natural Binders for Tablet Formulation in Pharmaceutical...
Dr. Y. Venkat Veerendranadh , B. Ranjitha, K. Srivalli, K. Kalyani , K. Thriveni, B. Poojitha, ...
Formulation and Evaluation of Mosquito Repellent Polyherbal Emulgel as a Novel A...
Pranali Joshi, Kajal Kothavale, Hemangi Parab, Prafulla Tigote, Misba Bijli, Sanika Shintre, Vijay J...
A Concise Review on Hyphenated Techniques: Liquid Chromatography Coupled Mass Sp...
S. J. Momin , S. R. Shahi, L. P. Jain, N. D. Kulkarni , S. S. Gotpagar, R. M. Savakhande, ...
A Review on Process Validation of Pharmaceutical Tablet...
Pratibha Thapliyal, Neha Sodiyal, Shivanand Patil, ...
Review Article On Polycystic Ovary Syndrome...
Siddiqui Mohammad Fardeen, Umar Mohammad Khan , Thorat Dharmesh Jitendra, Quazi Majaz , Aejaz Ahmed ...
More related articles
Review Article On Polycystic Ovary Syndrome...
Siddiqui Mohammad Fardeen, Umar Mohammad Khan , Thorat Dharmesh Jitendra, Quazi Majaz , Aejaz Ahmed ...
Adverse Drug Reaction Reported To Injection Calcium Gluconate ...
Ayush K. Tambe , Kiran Bibave H., Atharv S. Gangarde , Sakshi S. Vyavahare , Vaishnavi P. Bandal, Su...
Formulation And Evaluation Of Herbal Syrup Of Ignatia Amara For Anxiety And Depr...
Ajinkya R. Darandale, Ashwini P. Kale, Megha. T. Salve, Priyanka. N. Shinde, ...
Review Article On Polycystic Ovary Syndrome...
Siddiqui Mohammad Fardeen, Umar Mohammad Khan , Thorat Dharmesh Jitendra, Quazi Majaz , Aejaz Ahmed ...
Adverse Drug Reaction Reported To Injection Calcium Gluconate ...
Ayush K. Tambe , Kiran Bibave H., Atharv S. Gangarde , Sakshi S. Vyavahare , Vaishnavi P. Bandal, Su...
Formulation And Evaluation Of Herbal Syrup Of Ignatia Amara For Anxiety And Depr...
Ajinkya R. Darandale, Ashwini P. Kale, Megha. T. Salve, Priyanka. N. Shinde, ...