View Article

Abstract

Albumin containing nanoparticles have appear as a flexible and biocompatible platform in the field of drug delivery, offering a unique blend of functionality, adaptability and safety. This review explores the distinct advantages of albumin nanoparticles by examining their origins, types, preparation methods, and wide-ranging therapeutic applications. Derived primarily from human serum albumin (HSA), bovine serum albumin (BSA), Ovalbumin and recombinant sources, albumin serves as a naturally abundant and non-immunogenic carrier with strong drug-binding capacity. Several methods such as dessolvation, emulsification and thermal gelation, spray drying nanoprecipitation have been developed to formulate stable albumin nanoparticles capable of encapsulating both hydrophilic and hydrophobic agents. These nanoparticles have shown remarkable promise in cancer therapy by enhancing targeted drug delivery, reducing systemic toxicity, and improving treatment outcomes. Beyond oncology, their application via the pulmonary route offers non-invasive and efficient drug absorption, while in dental care, albumin nanoparticles aid in tissue regeneration and the management of periodontal inflammation. Additionally, their inherent antioxidant properties further enhance their value in treating conditions linked to oxidative stress. Thanks to their unique properties, albumin nanoparticles have become a highly versatile and effective platform in today's advanced therapeutic approaches.

Keywords

Albumin nanoparticles, drug delivery, encapsulation of drug, targeted therapy

Introduction

Albumin is the most profuse protein found in human blood plasma, constituting nearly 60% of total serum protein. Its physiological roles, such as transporting both internal and external substances, maintaining oncotic pressure, and buffering blood pH, make it ideal for pharmaceutical applications. Albumin's distinct properties as a drug carrier include its biological compatibility, lack of immune response, ease of modification, and its natural ability to bind with a wide variety of drugs. Furthermore, albumin possesses multiple functional groups, including amino, carboxyl, and thiol groups, which can be chemically linked to develop stable, functionalized nanoparticle formulations 1.

It is a versatile multifunctional protein which is obtained from human serum called as human serum albumin (HSA) ,bovine serum obtained from animal blood termed as Bovine serum albumin (BSA), recombinant  human serum albumin (r-HSA) derived from genetic engineering , Ovalbumin and various plant albumins via plant seeds; HSA is largely used  as carrier due to its biocompatibility and more safety .BSA is preferred in research and not in human use ,for humans (r-HSA) is predominantly for its non- pathogenic properties ,from milk and egg; lactalbumin and ovalbumin are respectively extracted which is used for research and food industries having their own advantages and disadvantages 2.  

Fig no: 1 Albumin as a Biomaterials (sources)

  ADVANTAGES:

  1. Albumin nanoparticles can target specific sites and receptors of effected cells. 
  2. It is used as controlled/sustained drug delivery system 3
  3. Its helps in improving bioavailability by protecting drug from degradation. 
  4. Albumin based nanoparticles are non-toxic and biocompatible compared to synthetic polymer based nano carriers. 
  5. Since albumin is charged there could be even electrostatic absorption which increases its effectiveness of a drug embedded in it. 
  6. It has high drug binding capacity makes easier target specific sites 4.
  7. It contains more stability as well as more shelf life.
  8. It is easy and safe preparation.

DISADVANTAGES: 

  1. Denaturation due to heat sensitivity, microbial attack. 
  2. Cost effective preparation methods are yet to be discovered.
  3. Batch to batch variability can be seen in the preparation of albumin nano-particles.
  4. Albumin nanoparticles have limited loading for drugs like as hydrophilic drugs5.

APPLICATIONS: 

  1. Albumin nano drug delivery systems used in targeting tumour cells for treatment6.
  2. It is used via pulmonary routs in the treatment of tuberculosis, cancer, bacterial infaction7.
  3. Nucleic acid loaded albumin nano carriers for immune therapy. 
  4. Insulin complexed albumin helps in improved glycaemic control in diabetic patients. 
  5. It is used in the treatment of dental infection like (periodontitis, gum infection etc)8.  

Nanotechnology represents a significant breakthrough in drug delivery systems, as it facilitates the creation of carriers that can improve the solubility, stability, bioavailability, and targeted delivery of therapeutic agents9. Among the various materials explored for nanoparticle-based delivery, natural biopolymers have gained special attention for their compatibility with biological systems and their ability to break down naturally.  In this context, albumin is a natural based, versatile protein used as a standard candidate for use in nano drug delivery systems10.

Albumin based nano-particles can be produced by various methods which includes self-assembly method, emulsification, dissolvation, thermal gelation, drying with nano spray, PH coacervation, nab-technology, emulsion solvent evaporation technique, spray-drying, microfluidic-mixing; these methods contain their own merits and demerits. 

One of the most remarkable qualities of albumin-based nanoparticles is their ability to utilize the enhanced permeability and retention (EPR) effect, allowing for passive targeting of tumour cells. Additionally, albumin interacts with specific receptors on individual cells, such as gp60 and SPARC (Secreted Protein, Acidic, Rich in Cysteine), which are often overexpressed in many tumour cells. These interactions enable targeted delivery and receptor-mediated transcytosis, promoting the accumulation of therapeutic agents at the disease site while reducing toxicity11.

Another critical point is the clinical significance of albumin, which has received FDA approval, as demonstrated by Abraxane, the albumin-bound formulation of paclitaxel used for treating non-small cell lung cancer and metastatic breast cancer12. This success has spurred further research and development of albumin-based nanocarriers, exploring their applications across various treatment areas, including cancer and infectious diseases13.

NANO- TECHNOLOGY 

It defined as the technology dealing with small particles i.e. less than 100nm size. These are used in various fields like medicine, energy, textile, environment etc14.

  • These nanoparticles have a wide range of uses due to their small size & dimension. 
  • This is one of the novel approaches used. 
  • The nanoparticles have larger surface area which makes them very useful in drug delivery system. 
  • Recently, there is advancement in the nanotechnology like magnetic nanoparticles etc. which helps in targeting specific sites of tissues or organs. 
  • These nanoparticles are also combined with albumin which may be used as a carrier for drug carrying nanoparticles15

Advantages of nanotechnology:

These nanoparticles have their own advantages. These nanoparticles have its applications in various diseases like topical diseases and     melanoma etc16

  • Nanoparticles can be formulated using natural polymers. 
  • These have higher surface area resulting into better action. 
  • These nanoparticles can be formulated by various methods which helps in entrapping drug in it. 
  • Nano size is main factor in the permeability & helps in targeted drug delivery. 
  • These nanoparticles have the highest bioavailability due to the nano-size structure. 
  • Nanoparticles have various properties like electronic, magnetic mechanism, thermal properties which helps in the targeting of the specific site17.

Disadvantages: 

  • As we say that the size of nanoparticles can be both advantageous as well as disadvantageous. 
  • Due to its size, it may pass & accumulate if it's not biodegradable. 
  • Achieving drug stability is a major challenge in this route. 
  • To reduce it, it affects the biodegradable polymer & green synthesis methods in nano drug delivery systems18.

WHAT IS ALBUMIN:  

Albumin is a plasma protein which is globular protein comprising of 585 amino acids. Its structure is similar to Heart shape having 3 domains having binding site. Albumin is a versatile natural protein which bind to various compounds & have the characters like high binding capacity for hydrophilic drugs, hydrophobic drugs & long life in comparison to other drug delivery system. The albumin-based nanoparticles can be formulated with ligands/linkers/peptides. Albumin is abundant amount which account for 75-80% of plasma proteins with various functions & reaching to the most parts. Liver is the organ where the Albumin is produced which dissolve in blood19.

STRUCTURAL PROPERTIES:  

Albumin is produced in liver by hepatocytes at the rate of 9 to 12 grams/day having biological half-life of 19 days. It is a heart shaped molecule with 3 domains which are homogenous and 67% of alpha helix disulfide bridges.   All the domains present interact with various molecules like ligands, fatty acids, hormones, receptors, drugs. Albumin is important for wide range of functions like transportation of ligands and reactive oxygen species20.

Fig no 2: Albumin Structure

BINDING SITES OF ALBUMIN: 

Site 1: warfarin binding site has affinity towards hydrophobic and aromatic compounds, commonly used for anticoagulant drugs and this site is located in subdomain IIA21.

Site 2: Ibuprofen binding site found in subdomain IIIA, it more flexible and smaller in size binds with aromatic carboxylic acids and compounds such as diazepam used to treat anxiety. 

Site 3: fatty-acid binding site called as (FA1-FA7), and it contains multiple binding sites for fatty acids are there the drugs like halothane acts as an inhalation anaesthetic, binds with fatty acids binding site due to its lipophilicity. Other drug like chlorpromazine, tamoxifen are readily binds with this site and effects pharmacokinetcs22.

Site 4:  metal binding site it is binding site present in albumin which is not primary drug binding site but can bind with metal-based drugs and other compounds, the drug like Cisplatin binds with this site partially. The effect of Cu2+ and Zn2+ indirectly effects drug-albumin interaction23.

Site 5: Thyroxine (T4) binding site in the albumin a non-primary binding site in their drugs displace or binds with T4, the drugs like phenytoin and valproic acid binds with this site partialy24.

Table no 1: Different major drug binding sites of albumin

Binding Site

Albumin Domain / Subdomain

Example Drugs

Site 1: Sudlow site I

Domain II - Subdomain IIA

Warfarin, Indomethacin,

Phenylbutazone,

Azapropazone

Site 2: Sudlow site II

Domain III - Subdomain IIIA

Ibuprofen, Diazepam,

Naproxen. Ketoprofen,

Lorazepam

Site 3: Fatty Acid Sites (FA1–

FA7)

Domains I, II, and III

Valproic acid, Chlorpromazine,

Propofol, Halothane,

Tamoxifen

Site 4:  Metal Ion Binding

Sites

N-terminal site (NTS),

Multi-metal binding

Cisplatin, Zn2+, Cu2+, Ni2

Site 5:  Thyroxine Binding Sites

Various low-affinity sites

Phenytoin, Valproic acid,

Salicylates (high dose)

Types of albumins: 

Several types of albumins are present which are used as a carrier for nanoparticle drug delivery system. 

1. Human Serum Albumin:

It is the non-glycosylated protein with 585 amino acids which is single stranded, molecular weight of approximately 67 DHA. It is formed mostly in the alpha-helix structure and locks beta sheets and is synthesized in liver. It can produce 12 to 20 grams daily. It has 3 domains and each domain has 2 sub-domains. It has seven fatty acid binding sites and 2 drug binding sites namely site I and II25.  Its high binding capacity makes it a good carrier for various drugs, ions, fatty acids and hormones. In market there are numerous products where drug is conjugated to albumin.

2. Bovine serum albumin (BSA):

It is a protein obtained from bovine cattle which is similar to that of HCA, but there are key vital differences such as HSA is more stable & hydrophobic than BSA & there are structural differences as well in these two. BSA has only 583 amino acids26. This BSA has various applications in the field of biotechnology, pharmaceutics etc. It is used as a drug carrier & in tissue engineering, bio imaging cell culture. 

3. Egg albumin (Ovalbumin):  

It is a certain type of albumin which obtained from egg white (contain in around 50% of proteins), It is a main protein source for the developing chick embryo. Molecular weight contains approximately 47kDa. It's a phosphoglycoprotein that belongs    to the serpin superfamily; however, unlike most members of this group, it does not serve as a serine protease inhibitor. Ovalbumin is involved in the creation of egg whites and is recognized for its functional features, such as foaming and gelling, which render it valuable in food science and possibly in drug delivery applications.in addition it acts as allergen for some individuals. Although its explicit biological role remain -unclear, it is considered as main protein for egg white production. Its characteristics also lend themselves to various uses27. Ovalbumin is utilized in immunological analyses, in research settings, and as either a standard or a blocking agent28

4. rHSA (Recombinant Human Serum Albumin):  

rHSA is generated by recombinant DNA technology, commonly employ from yeast or microorganism, which directs no dependency on human blood as material source. Its structure similar to natural HAS, weigh up to pHSA, it provides various benefits like considerable purity, high batch consistency with lower chance of pathogenic contamination29. It is employed as a supplement in cell culture, and vehicle for delivery of drug, and a suitable plasma explender. By various testing it is considered that rHSA safer for clinical purpose, and found as similar effectiveness to pHSA30.

Table no 2: different types of albumins and their particular functions.

Property / Feature

Human Serum Albumin (HSA)

Bovine Serum Albumin (BSA)

Ovalbumin

 

Recombinant Human Serum Albumin (rHSA)

Organism of Origin

Homo sapiens (human)

Bos taurus (cow)

Gallus (chicken gallus)

Recombinantly produced (e.g., in yeast, rice, etc)

Molecular Weight (approx.)

~ 66.5 kDa

~ 66.3 kDa

~ 45 kDa

~ 66.5 kDa

Amino Acid Residues

585

583

385

585 (identical to native HSA)

Isoelectric Point (pI)

~ 4.7

~ 4.7

~ 4.6 4.9

~ 4.7

Primary Structure Similarity to HSA

100% (reference)

~76% identity

< 25%

100%

Secondary Structure Content

~ 67% -helix

~ 67% -helix

~ 30% -helix,

 ~ 20% sheet

~ 67% -helix

Tertiary Structure

Heart-shaped, three homogenous

domains (I -III)

Similar to HSA, with slight variations

Compact, non-globular

Same as HSA

Quaternary Structure

Monomeric

Monomeric

Monomeric

Monomeric

Disulfide Bonds

17 disulfide bridges

17bridges disulfide

1 disulfide bridge

17 disulfide bridges

Function

Carrier of hormones, fatty acids drugs

Similar to HSA; used in lab applications

Storage protein in egg white

Same as HSA; therapeutic and industrial uses

Glycosylation

Non-glycosylated

Non- glycosylated

Glycoprotein

Non-glycosylated (depends on expression system)

Uses

Clinical, diagnostics, research

Laboratory assays, protein standard

Food science, immunology

Drug delivery, biopharma, serum replacement

Characteristics of Albumin as a Drug Carrier: 

Albumin possesses excellent ligand binding ability, contributing to its effectiveness in drug transport. It is utilized in the treatment of a variety of conditions, functioning as either an endogenous or exogenous protein. Several drug delivery systems rely on albumin, including albumin nanoparticles, prodrugs, and peptide derivatives. Additionally, it has the ability to bind to a wide range of molecules. The negatively charged human serum albumin (HSA) influences drug binding through electrostatic interactions, acting as a reservoir. Its properties as a drug carrier enable it to transport various substances such as bilirubin, hormones, metals, and fatty acids. The binding sites on albumin play a significant role in facilitating its function as a carrier, which underscores its utility in this capacity. 

The ability of albumin to permeate different areas of the body facilitates its function in drug delivery. This characteristic enhances the capacity for drug loading and enables targeting of specific sites, such as tumors, in medical application31.

Method of preparation of albumin nanoparticles:  

There are different types of preparation methods to create albumin nanoparticles. They are categorised by chemicals added, chemical-based method, additives such as ethanol, beta-marcaptoetanol or cotton seed oil induced nanoparticles formation. This preparation contains different techniques such as 

  1. Dissolvation or Coacervation method: 
  2. Emulsification  
  3. Thermal Gelation  
  4. Spray-drying method 
  5. Nanoprecipitation (solvent displacement) 
  6. Self-assembly method 
  7. Nano-spray drying  
  8. Microfluidic mixing

Etc. apart from these method various methods are used in the preparation of albumin nanoparticles but this are not primary methods, the following methods are explained below.   

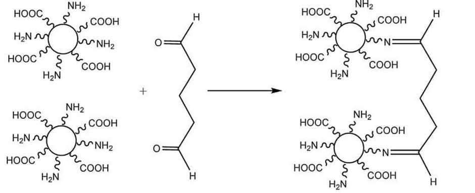
1. Dissolvation or Coacervation method

The dissolvation method is also referred to as the coacervation technique, it is a straightforward and widely used approach for creating albumin based nanocarriers. This procedure involves an aqueous solution of albumin combined with dissolving agents through the coacervation process, resulting in structure like spherical aggregates.  

This process is appraised by Weber and colleagues, the least concentration of glutaraldehyde for preparing a stable nano-particles was around 40% and 24 hours of time of incubation reported by Weber et al. 

Glutaraldehyde strengthens the nanocarriers by promoting the condensation crosslinking of the amino groups in the side chains32.

Albumin nanoparticles       Glutaraldehyde     Crosslinked albumin nanoparticles

Fig no 3: Formation of crosslinked albumin nanoparticles

Formation of peptide bond between amino and carboxyl groups of amino acids by stabilization of nanoparticles by EDC, with continuous stirring of 6 hours to make sure crosslinking of all residues of amino acids.  

Fig no 4: Desolvation process of preparation of albumin nanoparticles.

2. Emulsification:

Emulsion is the method of dispersing two or more immiscible liquids together to form a semi stable compound. When albumin nanoparticles are created by emulsification, the main components involved are polymers, surfactants and network agents. During this process, the aqueous phase containing albumin will be added drop wise to organic phase consisting crosslinking agent to form an emulsion which is formed with high pressure homogenization at 22000 rpm for 1 min. Then it is purified by centrifugation. This is a productive method apart from other methods but it has its own demerits such as large particle size and instability33.

Fig no 5: preparation of albumin nanoparticles by emulsification

3. Thermal Gelation:  

It is a method in which a certain polymer solution gets transformed into gel-like state when heated. This method is reversible and temperature dependent. It is a method where heat is applied which induces the protein conformational change, unfolding and later protein. Protein interactions i.e. hydrogen bonds, electrostatic, hydrophobic interactions and disulfide – sulfhydryl reactions. Then, the particles produced can vary in their characteristics depending on factors such as pH, protein concentration, and ionic strength. The heating causes bond formation creating protein aggregate and three- dimensional gel network. Nanogel having size of 100nm was prepared from albumin and lysosome as a core34.

Fig no 6: Preparation of albumin nanoparticles by thermal gelation

4. Spray-drying method:  

This is a good technique for converting liquid phase into dry powders which is used in the production of albumin nanoparticles. It has advantages such as size, flow behaviour and density which can be altered in this method.  The steps involved are atomization transforms the liquid raw material into droplets of tiny size. The droplets are expressed to high temperature which evaporates solvent and solid product is formed due to evaporation from droplet35.

Fig no 7: albumin nanoparticles by spray drying

5. Nanoprecipitation (solvent displacement) 

This method involves association of albumin solution with a consonant non-solvent to get nanoparticles formulation. Steps involve in it firstly dissolve albumin in water, (5) after that it injected into a miscible solvent like ethanol with continuous stirring and spontaneously nanoparticles will from. At last stabilization and purification is needed for getting pure albumin nanocarrier and distinguished for size, size distribution, morphology, and other applicable properties36. It contains mild and quick process for preparation of albumin nanoparticles, in this process crosslinking is not required for this formulation. 

Fig no 8: nanoprecipitation (solvent displacement method)

6.Self-assembly method:  

This method utilizes natural self-assembling effects of albumin. This process involves modification or mixing of albumin under controlled conditions. It contains hydrophobic in traction by which albumin nano-particles are self-assembled, pH and ionic strength is also included in this process. in this process does not include grating chemicals substances or solvents for preparation of albumin nanoparticles37.

Fig no 9: self-assembly method for preparation of albumin nanoparticles

APPLICATION OF ALBUMIN NANO-PARTICLES: 

Albumin-nanoparticles used in the various biological conditions and various diseases treatment in the pharmaceutical research and industries.

1.  ANTI-TUMOR THERAPY

Nab-paclitaxel obtained through NAB technology is currently utilized for treating bladder cancer, gastric tumour, metastatic breast cancer, non-small cell lung tumour, and metastatic adeno-carcinoma of pancreas. In case of adeno-carcinoma of pancreas, a combo of Nab paclitaxel along with gemcitabine (antimetabolite, chemotherapy drug) exhibits exceptional results. This Nab-paclitaxel formulation is popularly known as Abraxane and it employs Human serum albumin (HSA) as a carrier38. (MTX-HSA) Methotrexate containing human serum albumin is approved by FDA in phase II clinical trial for treating renal cell carcinoma. ABI-008 (Nab-docetaxel) is an albumin-based nanoparticle consisting docetaxel, has completed its phase I & II clinical trial and is being indicated useful for diagnosing metastatic breast cancer, hormone-refractory prostate cancer, but further clinical studies are not reported still. NAB-5404 (ABI-011)- albumin-based formulation containing thiocolchicine dimer is approved by FDA for its Phase I clinical trial for treating solid tumors39

Albumin-based nanocarriers with nucleic acids such as plasmid, oligonucleotides, siRNAs are utilized for treating various tumors like brain tumors, breast cancer, human prostate carcinoma etc. (siRNA – small interfering RNA)40

Functionalized nanocarriers of albumin has the ability to target exaggerated growth factors HER2, EGFR. Wan et al. Hence lapatinib-loaded HSA nanoparticles were developed which productively obstructed the adhesion, migration and invasion of brain-metastatic cell 417 cells.

  • An aptamer-curcumin loaded HSA nanoparticle was developed using HB5 aptamer which has the capacity to target HER2-positive breast cancer cells. 
  • In recent studies, it was found that erlotinib-conjugated PVP-loaded BSA nanoparticles has produced enhanced anti-proliferative effect against pancreatic tumour cells. 
  • Doxorubicin conjugated with HSA has been developed for treating lung cancer. Tacrolimus, which is an immunosuppressant drug was introduced into albumin nanoparticles (Tac Alb-NPs) using Nab-technology, have an anti-fibrotic activity and hence is useful in treating lung fibrosis41
  • (DOX/GA-HSA NPs)- Recombinant human serum albumin is covalently coupled with glycyrrhetinic acid (GA) as the drug delivery vehicle to deliver doxorubicin (DOX), a chemotherapeutic agent which later was physically incorporated into nanoparticles (NPs). 

It exhibited a stronger antitumor activity and much more endocytosis in vivo tumour cells when compared to non-targeted nanoparticles (DOX-loaded rHSA nanoparticles without GA conjugation)42.  

  • 5-Fluorouracil (5-FU) chemotherapeutic agent belonging to antimetabolite s has been encapsulated in albumin-based nanoparticle is useful in colorectal cancer treatment.  
  • Sulfasalazine-loaded BSA nanoparticles were developed by physical encapsulation method for treating advanced gastric cancer. 
  • Palladium ion complex with a dioxime ligand derived from isophthalaldehyde loaded BSA nanoparticles prepared by physical encapsulation technique has shown better results in treating myelogenous leukaemia, pulmonary adenocarcinoma.
  • Curc-Alb conjugate albumin-based formulation containing curcumin is helpful and has the ability to target breast, lung, hepatic, pancreatic, colorectal, gastric, haematological cancers. 
  • Preoperative albumin – bilirubin grade as a useful prognostic indicator for pancreatic cancer.
  • Bevacizumab loaded albumin nanoparticle prepared by coacervation method has in-vivo efficacy in treating colorectal cancer.
  • Triple functional based nanoparticle developed by nab-technology is utilized for combined chemotherapy and photodynamic therapy of pancreatic carcinoma with lymphatic metastases.
  • PH responsive allochronic nanoparticle are helpful for multicolour detection of breast carcinoma biomarkers.
  • Enzyme sensitive gemcitabine conjugated albumin nanoparticles are utilised as flexible theragnostic nanoplatform for treating pancreatic cancer.

2. IN PULMONARY DISORDES 

The albumin nanoparticles are delivered via pulmonary route for its local effect and targeting lung disorders. It is used in various types of diseases and disorders such as lung cancer, lung fibrosis, athame, inflammation, vaccine delivery, systemic diseases43.

Cancer treatment: -

The albumin nanoparticles can be loaded with various anticancer drugs which helps in targeting the cancer locally trough pulmonary route avoiding systemic side effects when given intra venously. Albumin is used as a coating agent for various cancer drugs for better effectiveness. They are modified in such a way that the nanoparticles can be delivered aerosols for cancer treatment44.

 Asthma and inflammation:-

The drug which are used for asthama can be formulated as albumin nanoparticles which has the advantages like targeted delivery  for asthma the spray dried form of nano formulation is used via pulmonary route45.

Lung fibrosis: -

The inhalation route of albumin nanoparticles has more effect of drug as compared to parenteral or other route. various drugs with albumin nanoparticle are used to treat lung fibrosis. Albumin nanoparticles are formulated as aerosols, Intra venous formulation, etc, which helps in better administration, treatment of lung diseases46.

3. ALBUMIN NANOPARTICLE IN OCULAR DELIVARY

Treating eye diseases effectively has always been a challenge due to the eye's protective barriers, which limit drug absorption and retention. Recent advances in nanotechnology have brought forward albumin-based nanoparticles as a promising solution for delivering medications directly and efficiently to various parts of the eye.

Albumin, a protein naturally found in the body, especially in blood plasma, is well-known for                being safe, biodegradable, and capable of carrying a variety of drugs. Because it’s non-toxic and well tolerated, albumin serves as a reliable carrier for delivering both hydrophilic and hydrophobic drugs47. Additionally, albumin can interact with specific receptors found in eye tissues. This improves drug uptake and helps the medication reach deeper or more protected areas of the eye.

Researchers are investigating how albumin nanoparticles can be tailored for a wide range of eye diseases: 

Glaucoma: -

Drugs that lower eye pressure, such as timolol or prostaglandin analogues, can be loaded into nanoparticles for gradual release, improving adherence and reducing side effects48.

Dry Eye Syndrome: -

Anti-inflammatory drugs like cyclosporine A are often cleared quickly from the eye, but albumin-based carriers can improve their retention time and therapeutic effect.

Uveitis: -

This inflammation of the uveal tract can be difficult to treat. Steroids delivered via albumin nanoparticles can target the inflamed tissues while minimizing systemic exposure.

Age-Related Macular Degeneration (AMD): -

Delivering drugs to the retina usually requires invasive injections. Albumin nanoparticles can help reduce dosing frequency and enhance drug stability in these treatments.

Eye Infections: -

Antibiotic-loaded albumin nanoparticles could improve the efficiency of treatments for infections like conjunctivitis or keratitis by enhancing drug penetration and reducing resistance49.

Advantages of Albumin nanoparticles in ocular delivery:

Improved Penetration: -

These nanoparticles can cross ocular barriers more easily than conventional drops or ointments.

Extended Release: -

Drugs are released slowly over time, which reduces the need for frequent applications.

Targeted Delivery: -

More drug reaches the intended site, which means lower doses and fewer side effects.

Multiple Application Routes: -

  • They can be used in eye drops, injections, or gels depending on the condition being treated.
  • Maintaining stability in the tear film and ocular fluids.
  • Ensuring the formulation is sterile and safe for long-term use.
  • Addressing any potential for immune reactions, especially when using albumin from non-human sources.
  • Scaling up production for commercial and clinical use.
  • Modifying their surface to enhance targeting or circulation time (e.g., PEGylation).
  • Developing stimuli-responsive nanoparticles that release drugs in response to pH, enzymes, or other local triggers. Combining drug delivery with smart gels that form in place on the eye and extend the retention time50.
  • A study using bovine serum albumin (BSA) nanoparticles loaded with cyclosporine A showed improved treatment for dry eye syndrome, with enhanced drug retention and fewer side effects.

Albumin-based dexamethasone formulations are under investigation for treating inflammation in the back of the eye, offering sustained release after intravitreal injection. There's also growing interest in adapting albumin-drug complexes like Abraxane for eye tumors and retinal diseases.

4. DENTAL APPLICATION

Albumin is a naturally occurring protein found in human blood plasma and is known for its safety, non-immunogenicity, and high drug-binding capacity. When formulated into nanoparticles, albumin offers several advantages for oral and dental therapies: Advantages of albumin nanoparticles in dental application:

  • Biodegradable and safe for mucosal tissue.
  • Capable of carrying both water- and fat-soluble drugs.
  • Provides sustained and controlled drug release.
  • Improves drug stability in the harsh oral environment.
  • Can adhere to soft tissues for prolonged local effect51.

Recent applications: -  

Doxycycline-Loaded Albumin Nanoparticles-

These have shown success in periodontal therapy by increasing the duration of drug availability in deep gum pockets, reducing bacterial load, and controlling inflammation more effectively than standard gels.

Curcumin-Albumin Nanoparticles-

In cases of oral ulcers, curcumin delivered via albumin nanoparticles adheres better to lesions and releases slowly, promoting faster tissue repair without frequent reapplication.

Albumin-Coated Bone Graft Nanoparticles-

Researchers have investigated combining albumin with calcium phosphate materials to deliver bioactive molecules for dental bone regeneration, especially in patients with periodontitis related bone loss.

Chlorhexidine-Loaded Albumin Systems-

Used in mouth rinses and gels, these formulations provide prolonged antimicrobial activity while reducing the bitter taste and staining often associated with chlorhexidine. Simple method for creating stable, uniform particles suitable for mucosal application. Allows for drug loading of lipophilic agents like curcumin or some anesthetics52. Enables the incorporation of nanoparticles into powders, tablets, or mouth-dissolving films.

These technologies make it possible to incorporate albumin-based nanoparticles into various delivery systems like mouthwashes, dental gels, chewing gums, or injectable pastes.

Despite their potential, some obstacles remain:

Salivary enzymes and oral pH can degrade or destabilize nanoparticles. Ensuring longer retention on dynamic surfaces like the tongue and cheeks. Lack of extensive clinical data— most studies are still pre-clinical or in early trials. Scaling up production to meet regulatory standards for pharmaceutical-grade materials53.

Nonetheless, the ongoing research is promising, and with continued innovation, albumin nanoparticles could play a significant role in modern dental therapeutics.

5.ANTI-OXIDANT APPLICATION

Albumin-based nanoparticles are becoming increasingly popular in medical research, especially for their role in fighting oxidative stress. These tiny carriers, made from the natural protein albumin, have shown great potential in delivering antioxidants more effectively to damaged or inflamed tissues54

One of the biggest challenges with antioxidant compounds like curcumin or quercetin is that they don’t stay stable in the body for long, and their absorption is often poor. By loading them into albumin nanoparticles, researchers have found they can protect these compounds, extend their activity, and target them directly to where they’re needed—such as inflamed gum tissue or healing wounds in the mouth55.

Helps control inflammation in conditions like periodontitis. Speeds up healing in oral ulcers or after surgery. Reduces oxidative damage caused by infections or even chemotherapy.

6.GENE AND VACCINE DELIVERY USING ALBUMIN NANOPARTICLES 

Albumin-based nanoparticles serve as an advanced platform for the dual delivery of nucleic acids spanning therapeutic genes (e.g. siRNA, plasmids) and vaccine antigens within a single loaded biocompatible nanoparticle system. These nano-carrier protect genetic cargos from enzymatic degradation in circulation, facilitate efficient cellular uptake mainly via caveolae- and clathrin-mediated endocytosis, and make sure controlled release within the target acting cell56. When deployed as vaccine carriers, albumin nanoconjugates can co?deliver antigenic peptides alongside molecular adjuvants directly to lymph nodes, enhancing antigen presentation by antigen-presenting cells and triggering potent T?cell responses57. This unique adaptability positions albumin nanoparticles as a promising platform for both gene therapy and next-generation nucleic acid vaccines, combining safety, precision targeting, and robust immunogenicity in one system.

CONCLUSION

Albumin-based nanoparticles have emerged as a highly promising and adaptable platform in modern drug delivery systems. With their innate compatibility, low immunogenicity, and robust drug-binding properties, albumin nanoparticles are well-suited for transporting numerous therapeutic compounds. The diversity in preparation techniques ranging from dissolvation to spray drying allows for customization based on specific drug properties and treatment goals. Notably, their success in enhancing targeted cancer therapies, improving pulmonary drug delivery, supporting tissue regeneration in dentistry, and combating oxidative stress demonstrates their wide-reaching potential. As scientific progress continues, albumin nanoparticles are expected to take on a growing role in shaping therapies that are not only more effective and targeted but also safer and easier on patients across various areas of medicine.

REFERENCES

  1. Gupta Y, Rai V, Singh A, Khan S, Bano N, Yadav R. The uniqueness of albumin as a carrier in nano drug delivery. J Res Appl Sci Biotechnology. 2024 Feb;3(1):7–11.
  2. Sugiyama, S., Ikenaga, S., & Okuda, K. (2017). Human serum albumin: structural basis of its multifunctional properties. Journal of Drug Targeting, 25(8), 579-592.
  3. Wu M, Lian B, Deng Y, Chen J, Wang H, Pan H, et al. Albumin and functionalized albumin nanoparticles: production strategies, characterization, and target indications. J Biomater Appl. 2017 Aug;32(2):191–205.
  4. Hossain-Kazemi S, Ghasemi A, Zarrabi A, Ashrafizadeh M, Miri SR, Mokhtari B, et al. Anticancer nano-delivery systems based on bovine serum albumin nanoparticles: a critical review. Anticancer Drugs. 2021 Jun 1;32(6):556–75.
  5. Muzykantov VR, Torchilin VP, eds. Serum albumin nanoparticles: problems and prospects. Polymers (Basel). 2021;13(21):3759.
  6. Benedetti E, et al. Albumin Nanovectors in Cancer Therapy and Imaging. Biomolecules. 2019;9(6):218.
  7. Galiyeva A, Daribay A, Zhumagaliyeva T, Zhaparova L, Sadyrbekov D, Tazhbayev Y. Human serum albumin nanoparticles: synthesis, optimization and immobilization with antituberculosis drugs. Polymers (Basel). 2023;15(13):2774.
  8. Meng X, Wang S, Sun Y. Preparation of drug?loaded albumin nanoparticles and its application in cancer therapy. J Nanomaterials. 2022; 2022:3052175.
  9. Murphy G, Brayden DJ, Cheung DL, Liew A, Fitzgerald M, Pandit A. Albumin?based delivery systems: Recent advances, challenges, and opportunities. J Control Release. 2025 Apr?10; 380:375–95.
  10. Das RP, Pradhan AK. An Introduction to Different Methods of Nanoparticles Synthesis. In: Nanotechnology: Principles and Applications. January 2022.
  11. Parodi A, MiaoJ, Soond SM, Rudzi?ska M, Zamyatnin AA. Albumin nanovectors in cancer therapy and imaging. Biomolecules. 2019 Jun 5;9(6):218.
  12. Petrilli Galliani M, Minotti G. Emerging albumin-binding anticancer drugs for tumortargeted drug delivery. Pharmaceutics. 2022;14(4):728.
  13. Qu N, Song K, Ji Y, Liu M, Chen L, Lee RJ, Teng L. Albumin Nanoparticle-Based Nanomedicine. 2024 Jul 10; 19:6945-6980.
  14. Sun L, Liu H, Ye Y, Lei Y, Islam R, Tan S, et al. Smart nanoparticles for cancer therapy. Signal Transduct Target Ther. 2023; 8:418.
  15. Zeng L, Gowda BHJ, Ahmed MG, Abourehab MAS, Chen ZS, Zhang C, Li J,  Kesharwani P. Advancements in nanoparticle-based treatment approaches for skin cancer therapy. Mol Cancer. 2023;22(1):10.
  16. Sultana A, Zare M, Thomas V, Kumar TS, Ramakrishna S. Nano-based drug delivery systems: Conventional drug delivery routes, recent developments and future prospects. Med Drug Discov. 2022; 15:100134.
  17. Khan I, Saeed K, Khan I. Nanoparticles: Properties, applications and toxicities. Arab J Chem. 2019;12(7):908-931.
  18. Cerbu C, Trif E. Advantages and drawbacks of eco-friendly nano-delivery systems. Ther Deliv. 2025;16(5):415–417.
  19. Belinskaia DA, Jenkins RO, Goncharov NV. Albumin is an integrative protein of blood plasma and beyond. Int J Mol Sci. 2024 Nov 25;25(23):12627.
  20. Pinto MP, Carvalho C, Oliveira JM, Reis RL. Albumin: A Review of Market Trends, Purification Methods, and Biomedical Innovations. Med Chem. 2024;20(5):303–18.
  21. Petitpas I, Bhattacharya AA, Twine S, East M, Curry S. Crystal structure analysis of warfarin binding to human serum albumin: anatomy of drug site I. J Biol Chem. 2001 Apr 27;276(35):32038–45.
  22. Alexandri E, Venianakis T, Primikyri A, Papamokos G, Gerothanassis IP. Molecular basis for the selectivity of DHA and EPA in Sudlow’s drug binding sites in human serum albumin with the combined use of NMR and docking calculations. Molecules. 2023;28(9):3724.
  23. Neault JF, Tajmir?Riahi HA. Interaction of cisplatin with human serum albumin: drug binding mode and protein secondary structure. Biochim Biophys Acta. 1998 Apr 23;1384(1):153–59.
  24. Petitpas I, Petersén CE, Ha CE, Bhattacharya AA, Zunszain PA, Ghuman J, Bhagavan NV, Curry S. Structural basis of albumin?thyroxine interactions and familial dysalbuminemic hyperthyroxinemia. Proc Natl Acad Sci U S A. 2003 May 27;100(11):6440–45.
  25. Zhivkova ZD. Studies on drug–human serum albumin binding: the current state of the matter. Curr Pharm Des. 2015;21(14):1817–30.
  26. Xu X. Application of human & bovine serum albumin in biomedical engineering. Frontiers in Bioengineering and Biotechnology. 2021; 9:713986.
  27. Kiarashi N, Yasamineh S. Recent advances in albumin-based drug delivery systems: a review of biomedical applications. Biomed Eng Online. 2024;23(1):122.
  28. Meng R, Liu Y, Zhang W, Chen T. Preparation of drug-loaded albumin nanoparticles and its application in cancer therapy. J Nano mater. 2022; 2022:3052175.
  29. Tang B, Tian C, Jiao J, Xia L, Zhao S, Yang Z, et al. The development of recombinant human serum albumin. Ther Apher Dial. 1998 Nov;2(4):257–62.
  30. Towler MJ, Kurisawa M, Ramer?Tait AE, Harrington DA. Human serum albumin from recombinant DNA technology: challenges and strategies. Biotechnol Adv. 2013;31(5):593–601.
  31. Larsen MT, Kuhlmann M, Hvam ML, Howard KA. Albumin?based drug delivery: harnessing nature to cure disease. J Control Release. 2015 Sep 10; 219:449–62.
  32. Jahanban-Esfahlan, A.; Dastmalchi, S.; Davaran, S. A simple improved desolvation method for the rapid preparation of albumin nanoparticles. Int. J. Biol. Macromol. 2016, 91, 703-709.
  33. Verma ML, Dhanya BS, Sukriti, Rani V, Thakur M, Jeslin J, Kushwaha R. Carbohydrate and protein based biopolymeric nanoparticles: current status and biotechnological applications. Int J Biol Macromol. 2020 Jul 1; 154:390–412.
  34. Boye JI, Alli I, Ismail AA. Interactions involved in the gelation of bovine serum albumin. J Agric Food Chem. 1996 Apr;44(4):996–1004.
  35. Langer K, Balthasar S, Vogel V, Dinauer Optimization of the preparation process for human serum albumin (HSA) nanoparticles. Int J Pharm. 2003; 275:169-80.
  36. Arunachalam A, Karthikeyan M, Konam K, Prasad PH, Sethuraman S, Ashutoshkumar S. Solid dispersions: a review. J Curr Pharm Res. 2010 Oct?Dec;1(1):82–90.
  37. Abolhassani H, Shojaosadati SA. A comparative and systematic approach to desolvation and self-assembly meth- ods for synthesis of piperine-loaded human serum albumin nanoparticles. Colloids Surf, B. 2019;184: 110534.
  38. Spada A, Emami J, Tuszynski JA, Lavasanifar A. The uniqueness of albumin as a carrier in nanodrug delivery. Mol Pharm. 2021;18(6):1862–1894.  
  39. Nandale DD, Pathan MA, Pansare JJ, Patil CG, Gavhane AA, Jadhav SP. Albumin as a carrier in nanodrug delivery system: a review. Int J Pharm Res. 2024 Mar;30(3):343 - 364.
  40. Prajapati R, Somoza Á. Albumin nanostructures for nucleic acid delivery in cancer: current trend, emerging issues, and possible solutions. Cancers (Basel). 2021;13(14):3454.
  41. Teixeira S, Carvalho MA, Castanheira EMS. Functionalized liposome and albumin-based systems as carriers for poorly water-soluble anticancer drugs: an updated review. Biomedicines. 2022;10(2):486.
  42. Shen X, Liu X, Li T, Chen Y, Chen Y, Wang P, Zheng L, Yang H, Wu C, Deng S, Liu Y. Recent advancements in serum albumin-based nanovehicles toward potential cancer diagnosis and therapy. Front Chem. 2021 Nov 18; 9:746646.
  43. Sung JC, Pulliam BL, Edwards DA. Nanoparticles for drug delivery to the lungs.   Trends Biotechnol. 2007 Dec;25(12):563–570.
  44. Tan YL, Ho HK. Navigating albumin-based nanoparticles through various drug delivery routes. Drug Discov Today. 2018 May;23(5):1108–1114.
  45. Pápay ZE, Kósa A, Böddi B, Merchant Z, Saleem IY, Zariwala MG, Klebovich I, Somavarapu S, Antal I. Study on the pulmonary delivery system of apigenin-loaded albumin nanocarriers with antioxidant activity. J Aerosol Med Pulm Drug Deliv. 2017;30(0):1–15.
  46. Joshi M, Nagarsenkar M, Prabhakar B. Albumin nanocarriers for pulmonary drug delivery: An attractive approach. J Drug Deliv Sci Technol. 2020 Jan; 56:101529.
  47. Tiwari R, Sethiya NK, Sahu Gulbake A, Mehra NK, Murty USN, Gulbake A. A review on albumin as a biomaterial for ocular drug delivery. Int J Biol Macromol. 2021 Nov 30; 191:591–99.
  48. Luis de Redín I, Boiero C, Recalde S, Agüeros M, Allemandi D, Llabot JM, García?Layana A, Irache JM. In vivo effect of bevacizumab-loaded albumin nanoparticles in the treatment of corneal neovascularization. Exp Eye Res. 2019 Aug; 185:107697.
  49. Luis de Redín I, Boiero C, Martínez?Ohárriz MC, Agüeros M, Ramos R, Peñuelas I, et al. Human serum albumin nanoparticles for ocular delivery of bevacizumab. Int J Pharm. 2018 Apr 25;541(1–2):214–23.
  50. Chen W, Tan X, Chen X. Albumin nanoparticles as nanocarriers for antibody and nanobody delivery. J Drug Deliv Sci Technol. 2020; 55:101471.
  51. Kiarashi N, Yasamineh S. Albumin nanoparticles are a promising drug delivery system in dentistry. Biomed Eng Online. 2024 Jul 15;23(1):122.
  52. Mou J, Liu Z, Liu J, Lu J, Zhu W, Pei D. Hydrogel containing minocycline and zinc oxide?loaded serum albumin nanoparticles for periodontitis application: preparation, characterization and evaluation. Drug Deliv. 2019 Jan;26(1):179–87.
  53. Zambrano LMG, Brandão DA, Rocha FRG, Marsiglio RP, Longo IB, Primo FL, Guimarães?Stabili MR, Rossa Junior C. Local administration of curcumin?loaded nanoparticles effectively inhibits inflammation and bone resorption associated with experimental periodontal disease. Sci Rep. 2018 Apr 27;8(1):6652.
  54. Kiarashi M, Yasamineh S. Albumin nanoparticles are a promising drug delivery system in dentistry. Biomed Eng Online. 2024; 23:122.
  55. Zaher S, Soliman ME, Elsabahy M, Hathout RM. Sesamol?loaded albumin nanoparticles: a boosted protective property in animal models of oxidative stress. Pharmaceuticals (Basel). 2022 Jul?15;15(7):733.
  56. Mollé LM, Smyth CH, Yuen D, Johnston APR. Nanoparticles for vaccine and gene therapy: overcoming the barriers to nucleic acid delivery. WIREs Nanomed Nanobiotechnol. 2022;14(6): e1809.
  57. Shi Y, Lammers T. Combining nanomedicine and immunotherapy. Acc Chem Res. 2019;52(6):1543–1554.

Reference

  1. Gupta Y, Rai V, Singh A, Khan S, Bano N, Yadav R. The uniqueness of albumin as a carrier in nano drug delivery. J Res Appl Sci Biotechnology. 2024 Feb;3(1):7–11.
  2. Sugiyama, S., Ikenaga, S., & Okuda, K. (2017). Human serum albumin: structural basis of its multifunctional properties. Journal of Drug Targeting, 25(8), 579-592.
  3. Wu M, Lian B, Deng Y, Chen J, Wang H, Pan H, et al. Albumin and functionalized albumin nanoparticles: production strategies, characterization, and target indications. J Biomater Appl. 2017 Aug;32(2):191–205.
  4. Hossain-Kazemi S, Ghasemi A, Zarrabi A, Ashrafizadeh M, Miri SR, Mokhtari B, et al. Anticancer nano-delivery systems based on bovine serum albumin nanoparticles: a critical review. Anticancer Drugs. 2021 Jun 1;32(6):556–75.
  5. Muzykantov VR, Torchilin VP, eds. Serum albumin nanoparticles: problems and prospects. Polymers (Basel). 2021;13(21):3759.
  6. Benedetti E, et al. Albumin Nanovectors in Cancer Therapy and Imaging. Biomolecules. 2019;9(6):218.
  7. Galiyeva A, Daribay A, Zhumagaliyeva T, Zhaparova L, Sadyrbekov D, Tazhbayev Y. Human serum albumin nanoparticles: synthesis, optimization and immobilization with antituberculosis drugs. Polymers (Basel). 2023;15(13):2774.
  8. Meng X, Wang S, Sun Y. Preparation of drug?loaded albumin nanoparticles and its application in cancer therapy. J Nanomaterials. 2022; 2022:3052175.
  9. Murphy G, Brayden DJ, Cheung DL, Liew A, Fitzgerald M, Pandit A. Albumin?based delivery systems: Recent advances, challenges, and opportunities. J Control Release. 2025 Apr?10; 380:375–95.
  10. Das RP, Pradhan AK. An Introduction to Different Methods of Nanoparticles Synthesis. In: Nanotechnology: Principles and Applications. January 2022.
  11. Parodi A, MiaoJ, Soond SM, Rudzi?ska M, Zamyatnin AA. Albumin nanovectors in cancer therapy and imaging. Biomolecules. 2019 Jun 5;9(6):218.
  12. Petrilli Galliani M, Minotti G. Emerging albumin-binding anticancer drugs for tumortargeted drug delivery. Pharmaceutics. 2022;14(4):728.
  13. Qu N, Song K, Ji Y, Liu M, Chen L, Lee RJ, Teng L. Albumin Nanoparticle-Based Nanomedicine. 2024 Jul 10; 19:6945-6980.
  14. Sun L, Liu H, Ye Y, Lei Y, Islam R, Tan S, et al. Smart nanoparticles for cancer therapy. Signal Transduct Target Ther. 2023; 8:418.
  15. Zeng L, Gowda BHJ, Ahmed MG, Abourehab MAS, Chen ZS, Zhang C, Li J,  Kesharwani P. Advancements in nanoparticle-based treatment approaches for skin cancer therapy. Mol Cancer. 2023;22(1):10.
  16. Sultana A, Zare M, Thomas V, Kumar TS, Ramakrishna S. Nano-based drug delivery systems: Conventional drug delivery routes, recent developments and future prospects. Med Drug Discov. 2022; 15:100134.
  17. Khan I, Saeed K, Khan I. Nanoparticles: Properties, applications and toxicities. Arab J Chem. 2019;12(7):908-931.
  18. Cerbu C, Trif E. Advantages and drawbacks of eco-friendly nano-delivery systems. Ther Deliv. 2025;16(5):415–417.
  19. Belinskaia DA, Jenkins RO, Goncharov NV. Albumin is an integrative protein of blood plasma and beyond. Int J Mol Sci. 2024 Nov 25;25(23):12627.
  20. Pinto MP, Carvalho C, Oliveira JM, Reis RL. Albumin: A Review of Market Trends, Purification Methods, and Biomedical Innovations. Med Chem. 2024;20(5):303–18.
  21. Petitpas I, Bhattacharya AA, Twine S, East M, Curry S. Crystal structure analysis of warfarin binding to human serum albumin: anatomy of drug site I. J Biol Chem. 2001 Apr 27;276(35):32038–45.
  22. Alexandri E, Venianakis T, Primikyri A, Papamokos G, Gerothanassis IP. Molecular basis for the selectivity of DHA and EPA in Sudlow’s drug binding sites in human serum albumin with the combined use of NMR and docking calculations. Molecules. 2023;28(9):3724.
  23. Neault JF, Tajmir?Riahi HA. Interaction of cisplatin with human serum albumin: drug binding mode and protein secondary structure. Biochim Biophys Acta. 1998 Apr 23;1384(1):153–59.
  24. Petitpas I, Petersén CE, Ha CE, Bhattacharya AA, Zunszain PA, Ghuman J, Bhagavan NV, Curry S. Structural basis of albumin?thyroxine interactions and familial dysalbuminemic hyperthyroxinemia. Proc Natl Acad Sci U S A. 2003 May 27;100(11):6440–45.
  25. Zhivkova ZD. Studies on drug–human serum albumin binding: the current state of the matter. Curr Pharm Des. 2015;21(14):1817–30.
  26. Xu X. Application of human & bovine serum albumin in biomedical engineering. Frontiers in Bioengineering and Biotechnology. 2021; 9:713986.
  27. Kiarashi N, Yasamineh S. Recent advances in albumin-based drug delivery systems: a review of biomedical applications. Biomed Eng Online. 2024;23(1):122.
  28. Meng R, Liu Y, Zhang W, Chen T. Preparation of drug-loaded albumin nanoparticles and its application in cancer therapy. J Nano mater. 2022; 2022:3052175.
  29. Tang B, Tian C, Jiao J, Xia L, Zhao S, Yang Z, et al. The development of recombinant human serum albumin. Ther Apher Dial. 1998 Nov;2(4):257–62.
  30. Towler MJ, Kurisawa M, Ramer?Tait AE, Harrington DA. Human serum albumin from recombinant DNA technology: challenges and strategies. Biotechnol Adv. 2013;31(5):593–601.
  31. Larsen MT, Kuhlmann M, Hvam ML, Howard KA. Albumin?based drug delivery: harnessing nature to cure disease. J Control Release. 2015 Sep 10; 219:449–62.
  32. Jahanban-Esfahlan, A.; Dastmalchi, S.; Davaran, S. A simple improved desolvation method for the rapid preparation of albumin nanoparticles. Int. J. Biol. Macromol. 2016, 91, 703-709.
  33. Verma ML, Dhanya BS, Sukriti, Rani V, Thakur M, Jeslin J, Kushwaha R. Carbohydrate and protein based biopolymeric nanoparticles: current status and biotechnological applications. Int J Biol Macromol. 2020 Jul 1; 154:390–412.
  34. Boye JI, Alli I, Ismail AA. Interactions involved in the gelation of bovine serum albumin. J Agric Food Chem. 1996 Apr;44(4):996–1004.
  35. Langer K, Balthasar S, Vogel V, Dinauer Optimization of the preparation process for human serum albumin (HSA) nanoparticles. Int J Pharm. 2003; 275:169-80.
  36. Arunachalam A, Karthikeyan M, Konam K, Prasad PH, Sethuraman S, Ashutoshkumar S. Solid dispersions: a review. J Curr Pharm Res. 2010 Oct?Dec;1(1):82–90.
  37. Abolhassani H, Shojaosadati SA. A comparative and systematic approach to desolvation and self-assembly meth- ods for synthesis of piperine-loaded human serum albumin nanoparticles. Colloids Surf, B. 2019;184: 110534.
  38. Spada A, Emami J, Tuszynski JA, Lavasanifar A. The uniqueness of albumin as a carrier in nanodrug delivery. Mol Pharm. 2021;18(6):1862–1894.  
  39. Nandale DD, Pathan MA, Pansare JJ, Patil CG, Gavhane AA, Jadhav SP. Albumin as a carrier in nanodrug delivery system: a review. Int J Pharm Res. 2024 Mar;30(3):343 - 364.
  40. Prajapati R, Somoza Á. Albumin nanostructures for nucleic acid delivery in cancer: current trend, emerging issues, and possible solutions. Cancers (Basel). 2021;13(14):3454.
  41. Teixeira S, Carvalho MA, Castanheira EMS. Functionalized liposome and albumin-based systems as carriers for poorly water-soluble anticancer drugs: an updated review. Biomedicines. 2022;10(2):486.
  42. Shen X, Liu X, Li T, Chen Y, Chen Y, Wang P, Zheng L, Yang H, Wu C, Deng S, Liu Y. Recent advancements in serum albumin-based nanovehicles toward potential cancer diagnosis and therapy. Front Chem. 2021 Nov 18; 9:746646.
  43. Sung JC, Pulliam BL, Edwards DA. Nanoparticles for drug delivery to the lungs.   Trends Biotechnol. 2007 Dec;25(12):563–570.
  44. Tan YL, Ho HK. Navigating albumin-based nanoparticles through various drug delivery routes. Drug Discov Today. 2018 May;23(5):1108–1114.
  45. Pápay ZE, Kósa A, Böddi B, Merchant Z, Saleem IY, Zariwala MG, Klebovich I, Somavarapu S, Antal I. Study on the pulmonary delivery system of apigenin-loaded albumin nanocarriers with antioxidant activity. J Aerosol Med Pulm Drug Deliv. 2017;30(0):1–15.
  46. Joshi M, Nagarsenkar M, Prabhakar B. Albumin nanocarriers for pulmonary drug delivery: An attractive approach. J Drug Deliv Sci Technol. 2020 Jan; 56:101529.
  47. Tiwari R, Sethiya NK, Sahu Gulbake A, Mehra NK, Murty USN, Gulbake A. A review on albumin as a biomaterial for ocular drug delivery. Int J Biol Macromol. 2021 Nov 30; 191:591–99.
  48. Luis de Redín I, Boiero C, Recalde S, Agüeros M, Allemandi D, Llabot JM, García?Layana A, Irache JM. In vivo effect of bevacizumab-loaded albumin nanoparticles in the treatment of corneal neovascularization. Exp Eye Res. 2019 Aug; 185:107697.
  49. Luis de Redín I, Boiero C, Martínez?Ohárriz MC, Agüeros M, Ramos R, Peñuelas I, et al. Human serum albumin nanoparticles for ocular delivery of bevacizumab. Int J Pharm. 2018 Apr 25;541(1–2):214–23.
  50. Chen W, Tan X, Chen X. Albumin nanoparticles as nanocarriers for antibody and nanobody delivery. J Drug Deliv Sci Technol. 2020; 55:101471.
  51. Kiarashi N, Yasamineh S. Albumin nanoparticles are a promising drug delivery system in dentistry. Biomed Eng Online. 2024 Jul 15;23(1):122.
  52. Mou J, Liu Z, Liu J, Lu J, Zhu W, Pei D. Hydrogel containing minocycline and zinc oxide?loaded serum albumin nanoparticles for periodontitis application: preparation, characterization and evaluation. Drug Deliv. 2019 Jan;26(1):179–87.
  53. Zambrano LMG, Brandão DA, Rocha FRG, Marsiglio RP, Longo IB, Primo FL, Guimarães?Stabili MR, Rossa Junior C. Local administration of curcumin?loaded nanoparticles effectively inhibits inflammation and bone resorption associated with experimental periodontal disease. Sci Rep. 2018 Apr 27;8(1):6652.
  54. Kiarashi M, Yasamineh S. Albumin nanoparticles are a promising drug delivery system in dentistry. Biomed Eng Online. 2024; 23:122.
  55. Zaher S, Soliman ME, Elsabahy M, Hathout RM. Sesamol?loaded albumin nanoparticles: a boosted protective property in animal models of oxidative stress. Pharmaceuticals (Basel). 2022 Jul?15;15(7):733.
  56. Mollé LM, Smyth CH, Yuen D, Johnston APR. Nanoparticles for vaccine and gene therapy: overcoming the barriers to nucleic acid delivery. WIREs Nanomed Nanobiotechnol. 2022;14(6): e1809.
  57. Shi Y, Lammers T. Combining nanomedicine and immunotherapy. Acc Chem Res. 2019;52(6):1543–1554.

Photo
Subhashini Hawaldar
Corresponding author

Spurthy College of Pharmacy

Photo
Sayan Das
Co-author

Spurthy College of Pharmacy

Photo
Prajwal R
Co-author

Spurthy College of Pharmacy

Photo
Pritam Kundu
Co-author

Spurthy College of Pharmacy

Photo
Jagadish G
Co-author

Spurthy College of Pharmacy

Photo
Manoj M
Co-author

Spurthy College of Pharmacy

Photo
Ahasanuzzaman
Co-author

Spurthy College of Pharmacy

Subhashini Hawaldar, Sayan Das, Prajwal R, Jagadish G, Pritam Kundu, Manoj M, Ahasanuzzaman, Engineering Albumin Nanoparticles: Methods, Applications, and Therapeutic Potential, Int. J. of Pharm. Sci., 2025, Vol 3, Issue 7, 3792-3809. https://doi.org/10.5281/zenodo.16531909

More related articles
Preparation And Evaluation of a Moringa Oleifera L...
G.Haripriya, L. Gopi, D. Harishkumar, R. Gunasekar, P. Gomathi, M...
Formulation and Evaluation of Antimicrobial and Te...
Sanika Manoj Karale, Shubham Chandrakant Gadge, ...
Formulation And Evaluation of Polyherbal Anti- Mic...
Neha Mundhe, Sonali Kamble, Snehal Jogdand, Madhavi Shelke, Vaish...
Formulation And Evaluation of Herbal Cold Cream from Neem Oil...
Laxmi Chaudhary , Khushi Raut , Shivani Gangawane, Rutuja Salunke, Jayashre Bairagi, Aarti Zore, ...
Phytochemical And Pharmacological Potential of Ixora Coccinea L. Against Alzheim...
R. Gayathri, P. Saranya, L. Gopi, Dr. V. Kalvimoorthi, Dr. K. Kaveri, Dr. S. Syed Abdul Jabbar Basha...
Artificial Intelligence in Advanced CNS Lab Investigations: Revolutionizing Diag...
Dhiraj Phutke, Rohan Salunke, Pandurang Kamble, Murumekar Krushnakumar, ...
Related Articles
Assessment Of Utilization Pattern of Medical Devices and Associated Adverse Even...
Binu K. M., Sagnik Ghosh, Farhan Khan , Sivapriya R., Dao Hipaya Lyngdoh , Sneha P., H. Doddayya , ...
Exploring Corticosterone-Induced Depression Models: Mechanisms, Therapeutic Inte...
Meghashri Mastoli, Snehal Sonar, Ashiya Choudhary , Rutuja Khilare, Vivek Kumbhar , Dr. P. L. Ladda,...
Review On Study the Sop for Handling of Equipments Used in Formulation and Evalu...
Dnyaneshwari Wankhade , Hritika Bayaskar , Janhavi keche, Kalyani Ranotkar , Kunal Takarkhade, ...
Preparation And Evaluation of a Moringa Oleifera Lam Nail Serum for the Treatmen...
G.Haripriya, L. Gopi, D. Harishkumar, R. Gunasekar, P. Gomathi, M. Hariharasudhan, ...
More related articles
Preparation And Evaluation of a Moringa Oleifera Lam Nail Serum for the Treatmen...
G.Haripriya, L. Gopi, D. Harishkumar, R. Gunasekar, P. Gomathi, M. Hariharasudhan, ...
Formulation And Evaluation of Polyherbal Anti- Microbial Hair Gel...
Neha Mundhe, Sonali Kamble, Snehal Jogdand, Madhavi Shelke, Vaishnavi Mugale, ...
Preparation And Evaluation of a Moringa Oleifera Lam Nail Serum for the Treatmen...
G.Haripriya, L. Gopi, D. Harishkumar, R. Gunasekar, P. Gomathi, M. Hariharasudhan, ...
Formulation And Evaluation of Polyherbal Anti- Microbial Hair Gel...
Neha Mundhe, Sonali Kamble, Snehal Jogdand, Madhavi Shelke, Vaishnavi Mugale, ...