View Article

Abstract

Oxindoles are endogenous compounds found in mammalian body fluids and tissues, which possess diverse types of pharmacological activities such as anti-proliferative, anti-HIV, anti-fungal, antibacterial, anti-inflammatory, anti-convulsant, and anti-hypertensive, making the oxindole nucleus and its derivatives a molecule of medical importance. The oxindole nucleus-containing natural products are abundantly available in plant-derived natural products, especially alkaloids, which have provoked their use in drug discovery. The medicinal properties, easy synthesis, and feasibility for modification at diverse sites make it very suitable for drug design and development. This review shows the oxindole nucleus's general chemistry and pharmacological potential. It concisely summarizes the various biological functions of the essential oxindole scaffold and its derivatives explored in drug discovery. It also aids in establishing a drug-designing basis for diverse types of biological activities.

Keywords

Oxindole, synthetic methods, pharmacological properties, clinical trials, chemistry

Introduction

Oxindoles are bicyclic aromatic heterocyclic organic moieties in various plant natural products and mammals' tissues and body fluids 1. Oxindole derivatives were first isolated from the bark of Uncaria tomentosa. These derivatives were widely used in traditional medicinal systems to treat malignancy, sepsis, inflammatory diseases, arthritis, and gastric ulcers 2. The chemical structure of oxindole (Fig. 2) consists of a pyrrole ring, which is a 5-membered heterocyclic ring system bearing a carbonyl group (-C=O) at position C-2, fused with a benzene ring, and the nomenclature of oxindole derivatives is 1,3-dihydro-2H-indole-2-one. This scaffold shows tautomerism and has a convertible hydroxyl group. Oxindole bears the general chemical formula C8H7NO 3. Besides natural methods for synthesizing oxindole nuclei, several synthetic approaches are documented to synthesize numerous derivatives based upon these oxindole nuclei, along with various pharmacological activities. 4.

Figure 1. Uses of oxindole

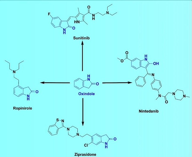
For medicinal chemists, oxindole-based compounds have emerged as a pharmacologically important class, using molecular hybridization. Due to this hybridization, the covalently fused two or more pharmacophores result in the development of potent and safer compounds with multiple pharmacological activities 5. A recently approved drug named Nintedanibis a synthetic drug (Fig. 2) approved in the United States in March 2020, which constitutes an oxindole nucleus, which is clinically used to treat chronic pulmonary diseases like idiopathic pulmonary fibrosis (IPF) and other forms of pulmonary fibrosis. It has also proved as an effective drug against cancer as it limits the growth factor through angiokinase inhibition and is sold under common trade names such as "Ofev" and "Vargatef" 6-8.

Figure 2. Structure of oxindole and important marketed drugs

Sunitinib is a well-known oxindole derivative (Fig. 2), a small molecule that primarily serves as an anti-cancer drug in the category of tyrosine kinase inhibitors. The drug was approved in the year 2006 by the USFDA for the cancer of renal and stromal GIT cancer. Sunitinib was the first medication that was approved for use against different cancers simultaneously. Its mechanism of action involves the indirect inhibition of multiple receptors that belong to the family of tyrosine kinases and the suppression of cellular signalling 9-11. Semaxanib is another anti-cancer drug that targets angiogenesis by inhibiting tyrosine kinase for colorectal cancer; however, the phase III trials were not successful 12,13. Ropinirole is a commonly prescribed drug having oxindole as the core nucleus against Parkinsons Disease (PD) and restless legs syndrome (Fig. 1), and it acts as a complete agonist of dopamine receptors, mainly D2, D3, and D4. However, it shows a relatively lower affinity towards D1 and D5 receptors. The structural characteristics like low molecular weight, a non-stereo-centric chemical structure, and accessibility of this drug are favourable for its functionality, and make it a successful medicine 14,15. Another novel oxindole-based antipsychotic drug, Ziprasidone (Fig. 2), acts by inhibiting the dopamine receptor D2. It was manufactured by Pfizer, a US-based pharmaceutical company and sold commercially under the brand name "Geodon." Since that time, this drug has received approval from the USFDA for the treatment of mental disorders such as mania and schizophrenia 16.

Chemistry of oxindole

The International Union of Pure and Applied Chemistry (IUPAC) has officially designated oxindole as 1,3-dihydro-2H-indole-2-one. This scaffold is known to exist in two hydroxyl groups containing tautomeric forms (Fig. 3). This tautomerism is commonly known as lactam-lactim form, depending on the migration of hydrogen i.e. when the hydrogen of nitrogen tautomerizes, then it is lactim form and when the hydrogen of CH2 tautomerizes then it is enol form (Kaur et al 2016, Hachula et al 2018).

Figure 3. Tautomerism in oxindole

Synthetic methods of preparing the oxindole nucleus

This scaffold is considered a modified derivative of indole and is often known as indolin-2-one, also known as 2-oxindole. The physicochemical properties of this scaffold are also interesting and well-explored. Oxindole-containing compounds typically exist as crystalline substances or off-white coarse powders with an approximate melting point range between 127 °C to 130 °C. The ESI-MS of oxindole exhibits an m/z value of 133.15 as a base peak, with 100% abundance 1,2.

In 1866, Bayer and Knop reported the first synthetic molecule of the 2-oxindole nucleus (Fig. 3) using isatin (1a) as a starting material and reduced with Na-Hg (sodium amalgam) to produce di-oxindole in an appropriate diluent. This was followed by the reduction using acidic Stannum (II) to generate the oxindole molecule (2) (Scheme 1-1). In parallel, Marschalk et al. also produced oxindole (2) directly from isatin (2a) using sodium hydrosulfite (Na2S2O4), involving the utilization of Na-Hg under the influence of carbon dioxide (CO2) (Schemes 1-2)

Figure 4. Synthetic Schemes (1-1 to 1-2) for 2-oxindole

Bayer employed yet another effective synthetic approach (shown in Fig. 5) to produce the target 2-oxindole scaffold by the reduction of 2-nitrophenylacetic acid (3a) to 2-oxindole (2) using tin and hydrochloric acid as reducing agents (Scheme 2-1). Suida and colleagues constructed oxindole (2) by the reduction of 2-acetaminomandelic acid (4a) in the presence of Na-Hg (Scheme 2-2). Meanwhile, Brunner utilized a reaction between slaked lime and β-acetylphenylhydrazine (5a) by heating at a high temperature (200–220 °C) to generate oxindole (2) (Scheme 2-3). Chloroacetyl chloride is condensed with an aromatic amine (6a) using aluminium chloride (AlCl3) to form an amide (6b) which is categorically cyclized to oxindole (2). This is another important method for making oxindole (Scheme 2-4).

Figure 5. Schemes (2-1 to 2-4) for the synthesis of 2-oxindole nucleus

In 1952, o-chlorophenylacetic acid (7a) and ammonium hydroxide were heated to synthesize oxindole (shown in Fig. 6)  (Scheme 3-1).

Figure 6. Schemes (3-1 to 3-4) for the synthesis of the oxindole nucleus

To make 2-oxindole (2), Gassman and Bergen simultaneously treated aniline (8a) with ethyl methyl thioacetate, tert-butyl hypochlorite, and organic base triethylamine to produce amino ester (8b). The product obtained was subsequently acidified, and treated with a catalyst Raney Nickel (Fig. 6)  to afford oxindole (Scheme 3-2) 19. Similarly, oxindole was also produced when N-acyl-o-chloroanilines (9a) were treated with lithium diisopropylamide (LDA) in the presence of a mixture of tetrahydrofuran-hexane (Scheme 3-3) 20. This straightforward oxindole scaffold was generated through the interaction of ortho-bromo-N-methylanilides (10a) with tributyl stannane at high temperatures (160 °C), which involved sequential translocation and homolytic aromatic translocation (Scheme 3-4) 1,21. The reaction scheme 2-1 reveals the most practical, simple, and cost-effective method to synthesize 2-oxindole, because of the easy and economical availability of the starting material (2-nitrophenylacetic acid). Despite being a stepwise reaction, this process has an exceptional overall yield of approximately 80%. Therefore, scheme 2-1 encompasses all the feasible reactions for the synthesis of oxindole 2.

Chemical Reactions of Oxindoles

Chemical reactions and their feasibility help to design various compounds for a particular pharmacological action. The carbon atom adjacent to the amide group in the access point is present at the lactam isomers of oxindole. , which is a frequently exploited reactive site except in cases of the amine deprotonation reaction. The resulting anion is stabilized due to the oxindole enolate's stable aromatic nature. This is critical in various oxindole and its derivatives reactions, such as acylation, alkylation, and fast condensation reactions with diverse types of ketones and aldehydes. Fig. 7 briefly summarizes the typical chemical processes of oxindole-based compounds, but it has been reported that preference for the C-5 the C-3 position by the electrophilic aromatic substitution (EAS) process 1,22.

Figure 7. Chemical reactions of oxindole

Bromination of oxindole with either N-bromosuccinimide (NBS) or bromine water will result in the production of the bromo derivative of indolin-2-one at the C-5 position, i.e., 5-bromo-indolin-2-one, rather than the C-3 position, i.e., 3-bromo-indolin-2-one. When concentrated HNO3 and H2SO4 are used simultaneously, nitration leads to the formation of 5-nitro-2-oxindole, and HNO3 alone produces 3-nitro-2-oxindole 1,23.

Chlorinated 2-oxindole is a major product obtained when phosphorous oxychloride is treated with dimethylformamide as a solvent and diluent. In Vilsmeier-Haak formylation, 2-chloro-3-formylindole is generated as a main product, but at reflux temperature, it results in the production of 2-chloroindole instead of 2-chloro-3-formylindole.

Base-catalyzed reaction conditions cause substitution at the C-3 position rather than the C-1 position of the oxindole moiety 24. The lactim form of oxindole reacts with a strong base like sodium hydroxide (NaOH) to form the sodium-IH-indole-2-olate salt. The base-catalyzed reaction with aryl-substituted aldehydes at high temperature (140 °C), and the aldol condensation reaction led to the formation of 3-arylide 2-oxindole derivatives 1. Fig. 7 provides an overview of the common chemical reactions that can be carried out on oxindole rings.

PHARMACOLOGICAL POTENTIAL OF SOME OXINDOLE DERIVATIVES:

Oxindole derivatives from natural and synthetic origins have emerged as an important scaffold bearing oxygen and nitrogen atoms which are adaptable substances used in a wide range of biochemical applications and display a diverse array of biological impacts. The development, design, synthesis, and testing of oxindole derivatives have made them applicable in various  medical treatments like anticancer 25, antimicrobial 26, anti-inflammatory 27, anti-glucosidase activity 28, anti-rheumatoid arthritis activities 29, management of glaucoma 30, anti-tyrosinase activity 31, and radical-scavenging 32, anti-leishmanial activity 33 and anti-HIV properties 34.

Anticancer activities of oxindole derivatives

Cancer medically known as malignancy is a class of diseases in which the body experiences aberrant and uncontrolled growth of blood or tissue cells that can be localized to one area or spread across the entire body because of certain DNA mutations. A tumor can be benign or malignant depending on the rate and area of cell division (Leber et al 2009). A benign tumor is a primary stage when the cells are healthy, non-invasive, and have simply overgrown to form a lump, whereas a malignant shows abnormally uncontrolled proliferation of cells that become invasive to adjacent tissues as well as organs (Boutry et al 2022).

Cancer is a rapidly spreading disease and causes may be but not limiting to  sedentary lifestyles, genetic and  environmental factors. 37. In 2020, there were around 19.3 million cancer cases reported as new and nearly 10.0 million cancer deaths globally. Among cancers diagnosed, the most frequent were 2.26 million cases of breast cancer in women, lung cancer (2.21 million cases), and 1.41 million cases of prostate cancer. Among these reported cancers, lung cancer was the most common cause of death (1.79 million), 830000 deaths were due to liver cancer, and stomach cancers (769000 deaths) 38.Despite significant advancements in medical technology, treatment and diagnosis of cancer remains a challenging task. Chemotherapy is the main effective approach in mild cases and in severe cases, it prolongs life expectancy with presence of side effects. The identification of potential anti-cancer agents with minimal toxicity to non-cancerous cells is a major goal for drug discovery researchers 39. Several research groups have explored and documented the anti-cancer activity of novel chemical entities and molecules containing the oxindole ring nucleus 40.The new class of compounds with indole-3-ylidene acetate and indole-3-carbohydrazide scaffold was a potent antiproliferative derivative when tested in vitro against different cancer cell lines 41. Screening of synthesized compounds reported the most active compound 11 that induced apoptosis by blocking the Trx R (thioredoxin reductase) protein in the HCT-116 cancer cell line. The preliminary structure-activity relationships studies indicated that replacing a double bond and an ester group on the C3 carbon significantly increased the anti-proliferative efficacy of tested compounds 42. To assess the cytotoxic effect on various human cancer cell lines, like MCF-7, A549, DU-145, and HT-29, new oxindole derivatives were synthesized as antimitotic agents. Among the tested derivatives, two compounds 12a and 12b exhibit potent IC50 values on A549 cell lines (Human Lung Cancer) and HT-29 cell lines (Human Colon Cancer). Mechanistic research revealed that both compounds led to apoptotic cell death by causing a G2/M phase arrest. Further investigation of these compounds exhibited substantial tubulin protein inhibition with IC50 values in the nanomolar range 43.

Figure 8. Some potential anticancer oxindole derivatives

Sharma et al. discovered that novel indolin-2-one derivatives induced apoptosis in various cancer cell lines, including non-small lung (A549), DU-(145), prostate (PC-3), gastric (HGC) cancer, breast (BT-549) cancer cells, and breast epithelial cells (MCF-10A). Among the tested compounds, analogue 13 showed a remarkable cytotoxic effect with IC50 of 3.26 μM against MDA-MB-231 (breast cancer cell line) 44. Some potential anticancer oxindole derivatives are shown in Fig. 8.

Anti-HIV activities of oxindole derivatives

Human Immunodeficiency Virus (HIV) which causes AIDS currently impacts approximately 38 million individuals and poses a threat to world health. The disease is caused by two distinct lentiviruses, namely HIV-1 and HIV-2. Several studies have since demonstrated the presence of HIV-1 in Africa during the 1950s and in America during the 1970s. Subsequently, it rapidly spread across the globe, resulting in tens of millions of cases.

In 1985, HIV-2 was identified as a contributing factor to the AIDS pandemic, albeit causing a less severe form of immunodeficiency 45-47.

Utilizing oxindoles and cyclic derivatives of oxindoles, one can prevent HIV replication and treat infections which are due to different forms of the virus (drug-resistant form, drug-sensitive form, and mutated form). Some novel oxindole derivatives operate as non-nucleoside reverse transcriptase inhibitors (NNRTIs), one of the most often recommended families of medications used against viral diseases 48. It is discovered that the oxindoles' interactions with reverse transcriptase are what give rise to their antiviral activity 49. Chander et al. reported the synthesis of novel 2-oxindole derivatives and screened them for in vitro anti-HIV potential. Results of anti-HIV activity showed three compounds 14a, 14b, and 14c as highly potent derivatives with a micromolar range of IC50 values of 0.82 µM, 0.27 µM, and 0.76 µM, respectively. Further investigations showed that the levo form of 14b is the best active derivative 50. Potential anti-HIV agents are shown in Fig. 9.

Figure 9. Oxindole derivatives as a potential anti-HIV agent

Anti-bacterial activity of oxindole derivatives

Antimicrobial resistance (AMR) has emerged as a critical global clinical and public health challenge, advancing at an alarming pace and posing a serious threat to effective antibacterial therapies in the coming years. Multidrug-resistant (MDR) infections, for which no viable treatment options exist, are becoming increasingly prevalent. In response, structurally novel antibacterial agents with unique mechanisms of action have gained significant importance in combating bacterial infections51-54. Among these, oxindole oxazolidinone derivatives represent a new generation of synthetic antimicrobials, demonstrating efficacy against a broad spectrum of serious infections caused by both human and animal pathogens, including MDR bacterial strains. These derivatives exert their antibacterial effects by inhibiting bacterial protein synthesis and selectively targeting critical enzymes essential for the survival of drug-resistant pathogens 55-58.

Oxindole derivatives as cardiovascular agents

Some of the antihypertensives and cardiotonic are made from oxindole derivatives. Adibendan and Indolidan are non-steroidal oxindole derivatives that are used to treat an incapacitating condition called congestive heart failure 59,60. In contrast to Adibendan, which has the dihydropyridazinone moiety coupled to a tricyclic 5-6-5 fused heterocycle, Indolidan comprising of the dihydropyridazinone entity joined with benzo-fused heterocycle nucleus. The primary mechanism by which these drugs work is by inhibiting cAMP, which is a secondary messenger that coordinates the cell responses to numerous hormones as well as neurotransmitters. Additionally, these oxindole derivatives have very potent inotropic, vasodilators, and other beneficial effects on the cardiovascular system. Aminomethylene oxindole analogues are effective antihypertensive medications 58,61.

Oxindole derivatives as kinase inhibitors

The human genome encodes over 700 protein kinases and 100 protein phosphatases 62. These enzymes are crucial in signalling pathways within the cells and regulation of signal transduction pathways as they facilitate protein phosphorylation and dephosphorylation, respectively 63. Their catalytic activities have a pivotal role in mediating cellular communication and coordinating various biological processes. Cellular signalling processes, governing vital aspects such as cell growth, differentiation, migration, and metabolism, heavily rely on protein tyrosine kinases (PTKs) 64. These enzymes play a very crucial role in orchestrating intracellular communication and mediating key events that dictate cell behaviour and function 65. The protein kinases include extracellular signal-regulated kinases (ERKs),  cyclin-dependent kinases (CDKs), epidermal growth factor receptors (EGFR), vascular endothelial growth factor receptors (VEGF-R1, VEGF-R2), fibroblast growth factor receptors (FGFR1, FGFR2), Janus kinase (JAK1 and JAK2) 66,67. The neurological disorders of pain perception, Alzheimer's disease (AD), osteoporosis, inflammatory diseases (arthritis), angiogenesis, cancer, chronic obstructive pulmonary disease (COPD), psoriasis, restenosis, and atherosclerosis have also been linked to them as targets 68,69. The protein serine kinase and protein tyrosine kinase receptors are inhibited by some oxindoles, and tumour growth has also been shown to be inhibited by preventing tumour-related angiogenesis. They are also utilized to treat a variety of cellular proliferation-related clinical conditions including atherosclerosis, thrombosis, and restenosis. By blocking tyrosine kinase receptors like VEGF-R, platelet-derived growth factor receptors (PDGFRs), CDK, etc., several oxindoles have also been proclaimed to possess anticancer activity 58,70-72.

This review study has highlighted the wide range of biological activities of oxindole, including its potential as an antioxidant, anticancer, anti-leishmanial, anti-rheumatoid arthritis, antiviral, anti-tubercular, α-glucosidase inhibitor, PAK4 inhibitor, and intraocular pressure reducer. However, further investigation is necessary to determine the efficacy of this scaffold to proceed in the next phase of drug development.

APPROVED ANTI-CANCER DRUGS COMPRISING OF OXINDOLE NUCLEUS:

Several anti-cancer drugs that have been approved contain the oxindole nucleus, underscoring its significance in cancer therapeutics. One such drug is Sunitinib, which targets tyrosine kinases involved in angiogenesis and cancer cell growth. Sunitinib has gained approval for treating various cancers, including renal cell carcinoma and gastrointestinal stromal tumours 73. Semaxanib, also referred to as SU5416, is another oxindole-based drug that focuses on inhibiting VEGF receptors, thereby obstructing angiogenesis and tumour progression. Semaxanib has been investigated for its potential in managing solid tumours, particularly advanced colorectal cancer 74. Additionally, Nintedanib, an oxindole-containing drug, acts as a triple angiokinase inhibitor by targeting FGFR, VEGF receptors, and PDGFRs. Nintedanib has obtained approval for treating IPF and non-small cell lung cancer 75. These approved anti-cancer drugs highlight the significance of the oxindole nucleus in developing targeted cancer therapies. By capitalizing on the unique properties of the oxindole scaffold, these drugs offer valuable treatment options for individuals combating cancer. A summary of clinical trials based upon the above drugs is provided in Table No. 1. Ongoing research endeavours aim to further explore the potential of oxindole-based compounds in the discovery of anti-cancer agents.

Table I Clinical drug candidates with oxindole nucleus

Sr.

No.

Drug

Study design

Phase

Route & dose

Conclusion

Status/ Clinic trials gov. identifier

1

Cyclophosphamide and Nintedanib

 

Cyclophosphamide and placebo

 

 

 

Randomized controlled trial

n=117

Triple masking

Phase 2

Cyclophosphamide (100 mg) and Nintedanib (200 mg) orally twice a day in one group. And in the other group cyclophosphamide, 100 mg, and a placebo were given orally.

The outcomes of trials indicated that the Cyclophosphamide and Nintedanib

The combination was not effective in ovarian cancer treatment.

Completed/ NCT01610869

2

Nintedanib

n=24

No masking

Phase 2

Nintedanib 200 mg was given orally twice a day for 4 weeks cycle

This study indicated that Nintedanib showed limited action in treating small-cell lung cancer.

Completed/ NCT01441297

3

Nintedanib

Pemetrexed

B12

Dexamethasone

Placebo

Folic acid

N=718

Randomized clinical trial

Phase 3

Nintedanib was given orally at a dose of 200 mg twice daily except on the day of pemetrexed.

B12 was given at a dose of 1000 µg IM one week before and after discontinuation of pemetrexed.

Dexamethasone was given orally at 4 mg before initiating, during, and after the pemetrexed infusion.

Folic acid was given at a dose of 400 µg to the patient at least 1 week before starting pemetrexed and continued 2 to 3 weeks after stopping pemetrexed.

Pemetrexed was given at a dose of 500mg/m2 by IV route over 10 minutes on day 1st of each cycle (21-day cycle).

Placebo is also given at a dose of 200 mg twice a day.

This trial was conducted to determine the effect of Nintedanib with pemetrexed in small-cell lung cancer.

 

The outcomes of trials indicated that Nintedanib plus pemetrexed has potent therapeutic action in treating small-cell lung cancer.

Completed/ NCT00806819

4

Nintedanib

 

Placebo

N=768

Randomized clinical trial

Double-blind

 

Phase 3

Nintedanib

Was given at a dose of 200 mg twice a day orally.

Similarly in another group placebo was given at a dose of 200 mg twice daily through the oral route.

A study was executed to evaluate the effect of Nintedanib in colorectal cancer in which standard therapies along with chemotherapy already failed.

 

Nintedanib was well tolerated in patients but did not improve the overall survival of colorectal cancer patients.

It also improves progression-free survival but up to a limited extent.

Completed/ NCT02149108

5

Nintedanib plus docetaxel

 

Placebo plus docetaxel

N=1314

Randomized clinical trial

Double-blind

 

 

Phase 3

Nintedanib was given orally 200 mg BD along with a standard dose of docetaxel.

 

Similarly in the other group placebo was given 200 mg BD along with a standard dose of docetaxel.

This trial was conducted to assess the combined effect of Nintedanib and docetaxel in non-small cell lung cancer.

 

The outcomes of the trial state that the Nintedanib and docetaxel combination not only improves overall survival but is also well tolerated.

Completed/ NCT00805194

6

Nintedanib

n=37

No masking


Phase 2

Nintedanib was given 200 mg orally twice daily for 28 days.

Nintedanib alone was not effective in treating endometrial cancer.

Completed/ NCT01225887

7

Nintedanib

n=25

No masking

Phase 2

Nintedanib was given 200 mg orally twice a day.

The outcome of the trial for determining the effect of Nintedanib in the treatment of glioblastoma was assessed based on the response rate of the drug after 8 weeks.

Completed/ NCT01251484

8

Nintedanib

Docetaxel

n=10

No masking

Phase 1

Nintedanib was given 200 mg orally twice a day and docetaxel 75 mg/m2 was given every 21 days.

This trial was conducted to assess the tolerability and safety of the Nintedanib plus docetaxel combination. The results of this trial state that the combination of both drugs is significantly safe and does not have so many adverse events during the treatment of lung adenocarcinoma.

Completed/ NCT02300298

9

Nintedanib

n=32

No masking

Phase 2

Nintedanib 200 mg was given to the patient in BD dose.

This trial was conducted to determine the effect of Nintedanib on bevacizumab-resistant ovarian cancer.

Nintedanib shows a positive effect in treating bevacizumab-resistant ovarian cancer.

Completed/ NCT01669798

10

Semaxanib

n=45

No masking

Phase 2

Semaxanib was given by IV route for 1 h twice weekly.

The result of this trial is not reported.

Completed/

NCT00006014

11

Semaxanib

Treatment period

Phase 2

Semaxanib was given by IV route for 1 h twice weekly on the 1 and 4th day per week.

Semaxanib shows limited activity in the treatment of cervical cancer.

Completed/ NCT00026260

12

Semaxanib

 

Paclitaxel

n=45

No masking

Phase 1

Semaxanib was given by IV route for 1 h twice weekly. Similarly, Paclitaxel was given as Semaxanib but once a week.

This study is executed to evaluate the maximum tolerated dose as well as the safety profile of the combination.

This trial was conducted mainly for neck and head cancer.

Completed/

NCT00005647

13

Sunitinib

Placebo

Randomized controlled trial

n=674

Triple masking

Phase-3

Initially, Sunitinib 50 mg orally for 4 weeks then quit for 2 weeks and then start again. Similarly, a placebo was given.

Sunitinib shows improvement in patients than the placebo

Completed / NCT00375674

14

Sunitinib

Randomized controlled trial

n=56

No masking

Phase 2

Sunitinib 37.5 mg orally for 6 months.

The outcome of trials shows that Sunitinib along with chemotherapy shows a positive effect in pancreatic cancer patients and cancer did not progress during the 6-month trial period.

Completed /NCT00967603

15

Sunitinib

malate

Paclitaxel

n=28

No masking

Phase 2

Sunitinib           37.5 mg

was given orally for 4 weeks.

Paclitaxel 90 mg/m2 was given on days 1, 8, and 15.

 

The outcomes of this trial stated that the sunitinib and paclitaxel combination was not effective in treating oesophageal cancer.

Completed/ NCT00730353

16

Sunitinib

n=23

No masking

Phase 2

Sunitinib 37.5 mg

Was given orally for 52 weeks.

The outcome of this trial was very positive because sunitinib was not only safe but also effective in the treatment of thyroid cancer.

Completed/ NCT00668811

17

Sunitinib

n=36

No masking

Phase 2

Sunitinib 37.5 mg was given orally for 52 weeks.

This study indicated that sunitinib was effective in treating prostate cancer in men.

Completed/

NCT00299741

18

Sunitinib

Evofosfamide (Th-302)

n=17

No masking

Phase 2

37.5 mg dose of Sunitinib was given orally for 28 days cycle and Evofosfamide was given by IV route at a dose of 340 mg/m2 on days 8, 15, and 22 of each cycle.

This trial was conducted to determine the safety and efficacy of sunitinib and Evofosfamide combination in pancreatic tumours.

 

The results of this trial indicated that the combination of the drugs has very high toxicity.

Completed/ NCT02402062

19

Sunitinib         malate

n=24

No masking

Phase 2

Sunitinib was given orally at 50 mg once daily for 6 weeks.

This trial was conducted to assess the effect of sunitinib in renal cell cancer patients. The trial showed that sunitinib was not effective in renal cancer.

Completed/ NCT00459875

20

Sunitinib

n=13

No masking

Phase 2

Sunitinib was given orally once daily for 42 days.

This study was done to determine the effect of sunitinib in non-smoker lung adenocarcinoma patients.

 

The results of the study state that sunitinib has limited action in its treatment.

Completed/ NCT01829217

CONCLUSION:

The oxindole consists of a 6-membered aromatic ring fused to a 5-membered heterocyclic ring and possesses an -NH group, and a carbonyl group (-C=O) at the C-2 position, a crucial structural foundation in the arenas of medicinal chemistry and drug discovery. With various functional group substitutions at different locations, including the C3, C4, C5, and -NH positions, as well as the aromatic ring positions, and considering the core structure's structure-activity, and properties, researchers have identified potent and hopeful drug candidates.

In the phenyl ring of oxindole, the C-3 and C-5 positions are of utmost importance and have been thoroughly investigated by researchers worldwide. Bulky functional groups, including those containing double bonds, situated at the C3 and C5 positions have exhibited substantial efficacy in the context of anticancer activity. The compounds belonging to the oxindole class afforded potent candidates that exhibited a diverse range of therapeutic properties, including antioxidant, anticancer, anti-leishmanial, rheumatoid arthritis, antiviral, anti-tubercular, α-glucosidase inhibition, PAK4 inhibition, and intraocular pressure reduction. This current review study concisely summarises the various biological functions of the essential oxindole scaffold and their derivatives explored in drug discovery. This review will aid in establishing a drug-designing basis for diverse types of biological activities taking this nucleus as a core basis.

SUMMARY:

In this review article, the focus is on oxindoles and their derivatives a molecule of medical importance. Oxindoles possess a vast number of biological activities such as anti-fungal, anti-viral, anti-bacterial, anti-proliferative, anti-cancer, anti-inflammatory, anti-convulsant, and anti-hypertensive properties. Based on a comprehensive literature review, we have tried to find out if oxindole nucleus contains natural products available in plant-derived alkaloids which are promoting its use in the drug discovery process. This proposal is focused on the medicinal chemistry and pharmacological potential of oxindole derivatives. Undoubtedly the findings are going to be in the existing knowledge of drug designing and discovery and may deliver potential drug candidates in the future.

ACKNOWLEDGEMENTS:

The authors are thankful to Maharaja Agrasen School of Pharmacy, Maharaja Agrasen University Baddi, India for providing the necessary facilities.

CONFLICT OF INTEREST:

The authors declare that there is no conflict of interest.

ABBREVIATIONS:

  • IPF: Idiopathic Pulmonary Fibrosis;
  • USFDA: US Food and Drug Administration;
  • IUPAC: Union of Pure and Applied Chemistry;
  • LDA: Lithium Diisopropylamide;
  • EAS: Electrophilic Aromatic Substitution;
  • NBS: N-bromo Succinimide;
  • DMF: N, N-Dimethylformamide;
  • DNA: Deoxyribonucleic Acid;
  • SAR: Structure-Activity Relationships;
  • HIV: Human Immunodeficiency Virus;
  • NNRTIs: Non-Nucleoside Reverse Transcriptase Inhibitors;
  • COX: Enzymes Cyclooxygenase;
  • LOX: Lipoxygenase;
  • CVS: Cardiovascular System.

REFERENCES

  1. Khetmalis Y. M., Shivani M., Murugesan S. and Sekhar KVGC.: Oxindole and its derivatives: A review on recent progress in biological activities, Biomed Pharmacother, 2021, 141, 111842.
  2. Kaur M., Singh M., Chadha N. and Silakari O.: Oxindole: A chemical prism carrying plethora of therapeutic benefits, Eur. J. Med. Chem., 2016, 123, 858-94.
  3. Kaiser S., Dietrich F., de Resende, P.E., Verza S.G., Moraes R.C. and Morrone F.B., et al.: Cat?s Claw Oxindole Alkaloid Isomerization Induced by Cell Incubation and Cytotoxic Activity against T24 and RT4 Human Bladder Cancer Cell Lines, Planta Medica, 2013, 79(15) 1413-20.
  4. Pilarski R., Filip B., Wietrzyk J., Kura? M. and Gulewicz K.: Anticancer activity of the Uncaria tomentosa (Willd.) DC. preparations with different oxindole alkaloid composition, Phytomed, 2010, 17(14) 1133-9.
  5. Goyal A., Kharkwal H., Piplani M., Singh Y., Murugesan S. and Aggarwal A., et al.: Spotlight on 4?substituted quinolines as potential anti?infective agents: Journey beyond chloroquine, Arch. Pharma., 2023, 356(3) 2200361.
  6. Wilfong E.M. and Aggarwal R.: Role of antifibrotics in the management of idiopathic inflammatory myopathy associated interstitial lung disease, Ther. Adv. Musculoskeletal Dis., 2021, 13, 1759720X211060907.
  7. Sharma S., Monga Y., Gupta A. and Singh S.: 2-Oxindole and related heterocycles: synthetic methodologies for their natural products and related derivatives, RSC advances, 2023, 13(21) 14249-67.
  8. Xu R., Zhan M., Peng L., Pang X., Yang J. and Zhang T. et al.: Design, synthesis and biological evaluation of deuterated nintedanib for improving pharmacokinetic properties, J. Labelled Comp. Radiopharm, 2015, 58(7) 308-12.
  9. Adams V.R. and Leggas M.: Sunitinib malate for the treatment of metastatic renal cell carcinoma and gastrointestinal stromal tumors, Clinical therapeutics, 2007, 29(7) 1338-53.
  10. Roskoski Jr R.: Sunitinib: a VEGF and PDGF receptor protein kinase and angiogenesis inhibitor, Biochem. Biophys. Res. Commun., 2007, 356(2) 323-8.
  11. Silva B.V., Ribeiro N.M., Pinto A.C., Vargas M.D. and Dias L.C.: Synthesis of ferrocenyl oxindole compounds with potential anticancer activity, J. Braz Chem Soc., 2008, 19, 1244-7.
  12. Haddad J.J.: The immunopharmacologic potential of Semaxanib and new generation directed therapeutic drugs: Receptor tyrosine kinase regulation with anti-tumorigenensis/angiogenesis properties, Saudi Pharm J., 2012, 20(2) 103-23.
  13. Yang T.H., Lee C.I., Huang W.H. and Lee A.R.: Synthesis and evaluation of novel 2-pyrrolidone-fused (2-oxoindolin-3-ylidene) methylpyrrole derivatives as potential multi-target tyrosine kinase receptor inhibitors, Molecules, 2017, 22(6) 913.
  14. Kushida C.A.: Ropinirole for the treatment of restless legs syndrome, Neuropsychiatric Dis. Treat, 2006, 2(4) 407-19.
  15. Jörg M., Kaczor A.A., Mak F.S., Lee K.C.K., Poso A. and Miller N.D., et al.: Investigation of novel ropinirole analogues: synthesis, pharmacological evaluation and computational analysis of dopamine D 2 receptor functionalized congeners and homobivalent ligands, MedChemComm, 2014, 5(7) 891-8.
  16. Urban F.J., Breitenbach R. and Gonyaw D.: A novel synthesis of the antipsychotic agent ziprasidone, Synthetic communications, 1996, 26(8) 1629-38.
  17. Sumpter W.C.: The chemistry of oxindole, Chemical Reviews, 1945, 37(3) 443-79.
  18. Hachu?a B., Zubko M., Zajdel P., Ksi??ek M., Kusz J. and Starczewska O., et al.: Polymorphs of oxindole as the core structures in bioactive compounds, CrystEngComm, 2018, 20(12) 1739-45.
  19. Gassman P.G. and Van Bergen T.: General method for the synthesis of oxindoles, J. Am. Chem. Soc, 1973, 95(8) 2718-9.
  20. Wolfe J.F., Sleevi M.C. and Goehring R.R.: Photoinduced cyclization of mono-and dianions of N-acyl-o-chloranilines. A general oxindole synthesis, J. Am. Chem. Soc, 1980, 102(10) 3646-7.
  21. Athelstan L. and John M.: Tandem radical translocation and homolytic aromatic substitution: a convenient and efficient route to oxindoles, J. Chem. Soc., Chem. Commun, 1995, (9) 977-8.
  22. Lackey K.E. and McNutt Jr R.W., 3-(anilinomethylene) oxindoles as protein tyrosine kinase and protein serine/threonine kinase inhibitors,  US Patent 6498176 B1, 2002.
  23. Hardtmann G.E., Oxindoles as sleep-inducers, US Patent 4160032, 1979.
  24. Ram V.J., Sethi A., Nath M. and Pratap R.: The chemistry of heterocycles: Nomenclature and chemistry of three to five membered heterocycles, Elsevier, 2019.
  25. Dhokne P., Sakla A.P. and Shankaraiah N.: Structural insights of oxindole based kinase inhibitors as anticancer agents: Recent advances, Eur. J. of Med. Chem, 2021, 216, 113334.
  26. Rindhe S., Karale B., Gupta R. and Rode M.: Synthesis, antimicrobial and antioxidant activity of some oxindoles, Indian J. Pharm. Sci, 2011, 73(3) 292.
  27. Pan T., He M., Deng L., Li J., Fan Y. and Hao X., et al.: Design, Synthesis, and Evaluation of the COX-2 Inhibitory Activities of New 1, 3-dihydro-2H-indolin-2-one Derivatives, Molecules, 2023, 28(12) 4668.
  28. Lin J., Liang Q.M., Ye Y.N., Xiao D., Lu L. and Li M.Y., et al.: Synthesis and Biological Evaluation of 5-Fluoro-2-Oxindole Derivatives as Potential α-Glucosidase Inhibitors, Front. Chem., 2022, 10.
  29. Kaur M., Singh M. and Silakari O.: Oxindole-based SYK and JAK3 dual inhibitors for rheumatoid arthritis: designing, synthesis and biological evaluation, Future Med. Chem., 2017, 9(11) 1193-211.
  30. Zaryanova E.V., Lozinskaya N.A., Beznos O.V., Volkova M.S., Chesnokova N.B. and Zefirov N.S.: Oxindole-based intraocular pressure reducing agents, Bioorganic Med Chem lett., 2017, 27(16) 3787-93.
  31. Zolghadri S., Bahrami A., Hassan Khan M.T., Munoz-Munoz J., Garcia-Molina F. and Garcia-Canovas F., et al.: A comprehensive review on tyrosinase inhibitors, J. Enzyme Inhib Med Chem., 2019, 34(1) 279-309.
  32. Hublikar M., Kadu V., Raut D., Shirame S., Anbarasu S. and Al-Muhanna M.K., et al.: 3-Substituted-2-oxindole derivatives: Design, synthesis and their anti-tuberculosis and radical scavenging dual-action studies, J. Mol. Struct., 2022, 1261, 132903.
  33. Yousuf M., Mukherjee D., Dey S., Chatterjee S., Pal A. and Sarkar B., et al.: Synthesis and biological evaluation of polyhydroxylated oxindole derivatives as potential antileishmanial agent, Bioorganic Med Chem lett., 2018, 28(6) 1056-62.
  34. Smallheer J., Otto M., Amaral Ly C., Earl R., Myers M. and Pennev P., et al.: Synthesis and anti-HIV activity of a series of 2-indolinones and related analogues, Antivir. Chem. Chemother., 1993, 4(1) 27-39.
  35. Leber M.F. and Efferth T.: Molecular principles of cancer invasion and metastasis, Int. J. Oncol., 2009, 34(4) 881-95.
  36. Boutry J., Tissot S., Ujvari B., Capp J.P., Giraudeau M. and Nedelcu A.M., et al.: The evolution and ecology of benign tumors, Biochim Biophys Acta Rev Cancer, 2022, 1877(1) 188643.
  37. Blackadar C.B.: Historical review of the causes of cancer, World J. Clin. Oncol., 2016, 7(1) 54.
  38. Ferlay J., Colombet M., Soerjomataram I., Parkin D.M., Piñeros M. and Znaor A., et al.: Cancer statistics for the year 2020: An overview, Int. J. Cancer, 2021, 149(4) 778-89.
  39. Anand U., Dey A., Chandel A.K.S., Sanyal R., Mishra A. and Pandey D.K., et al.: Cancer chemotherapy and beyond: Current status, drug candidates, associated risks and progress in targeted therapeutics, Genes & Diseases, 2022.
  40. Ferraz de Paiva R.E., Vieira E.G., Rodrigues da Silva D., Wegermann C.A. and Costa Ferreira A.M.: Anticancer compounds based on isatin-derivatives: strategies to ameliorate selectivity and efficiency, Front. Mol. Biosci., 2021, 7, 627272.
  41. Song Z., Chen C.P., Liu J., Wen X., Sun H. and Yuan H.: Design, synthesis, and biological evaluation of (2E)-(2-oxo-1, 2-dihydro-3H-indol-3-ylidene) acetate derivatives as anti-proliferative agents through ROS-induced cell apoptosis, Eur. J. Med. Chem., 2016, 124, 809-19.
  42. Kumar G.B., Nayak V.L., Sayeed I.B., Reddy V.S., Shaik A.B. and Mahesh R., et al.: Design, synthesis of phenstatin/isocombretastatin-oxindole conjugates as antimitotic agents, Bioorg. Med. Chem., 2016, 24(8) 1729-40.
  43. Sharma P., Thummuri D., Reddy T.S., Senwar K.R., Naidu V. and Srinivasulu G., et al.: New (E)-1-alkyl-1H-benzo [d] imidazol-2-yl) methylene) indolin-2-ones: Synthesis, in vitro cytotoxicity evaluation and apoptosis inducing studies, Eur J. Med. Chem., 2016, 122, 584-600.
  44. Vahlne A.: A historical reflection on the discovery of human retroviruses, Retrovirology, 2009, 6(1) 1-9.
  45. Bbosa N., Kaleebu P. and Ssemwanga D.: HIV subtype diversity worldwide, Curr. Opin. HIV AIDS, 2019, 14(3) 153-60.
  46. Nastri B.M., Pagliano P., Zannella C., Folliero V., Masullo A. and Rinaldi L., et al.: HIV and drug-resistant subtypes, Microorganisms, 2023, 11(1) 221.
  47. Ye N., Chen H., Wold E.A., Shi P.Y. and Zhou J.: Therapeutic potential of spirooxindoles as antiviral agents, ACS infectious diseases, 2016, 2(6) 382-92.
  48. Chander S., Tang C-R., Penta A., Wang P., Bhagwat D.P., and Vanthuyne N., et al.: Hit optimization studies of 3-hydroxy-indolin-2-one analogs as potential anti-HIV-1 agents. Bioorganic Chem., 2018, 79, 212-22.
  49. Walsh C.: Molecular mechanisms that confer antibacterial drug resistance, Nature, 2000, 406(6797) 775-81.
  50. Devasahayam G., Scheld W.M. and Hoffman P.S.: Newer antibacterial drugs for a new century, Expert Opin. Investig. Drugs, 2010, 19(2) 215-34.
  51. Rai J., Randhawa G.K. and Kaur M.: Recent advances in antibacterial drugs, Int. J Appl. Basic Med. Res., 2013, 3(1) 3.
  52. Brown E.D. and Wright G.D.: Antibacterial drug discovery in the resistance era, Nature, 2016, 529(7586) 336-43.
  53. Poce G., Zappia G., Porretta G.C., Botta B. and Biava M.: New oxazolidinone derivatives as antibacterial agents with improved activity, Expert Opin. Ther. Pat., 2008, 18(2) 97-121.
  54. Choy A., Colbry N., Huber C., Pamment M. and Duine J.V.: Development of a synthesis for a long-term oxazolidinone antibacterial, Org. Process Res. Dev., 2008, 12(5) 884-7.
  55. Wang G.: Synthesis and antibacterial properties of oxazolidinones and oxazinanones, Anti-Infective Agents in Med. Chem. (Formerly Current Med. Chemistry-Anti-Infective Agents), 2008, 7(1) 32-49.
  56. Rudrangi S.R.S., Bontha V.K., Manda V.R., and Bethi S. Oxindoles and their pharmaceutical significance-an overview, Asian J. of Research Chem., 2011, 4(3) 335-8.
  57. Khan M., Yousaf M., Wadood A., Junaid M., Ashraf M. and Alam U., et al.: Discovery of novel oxindole derivatives as potent α-glucosidase inhibitors, Bioorg. Med. Chem., 2014, 22(13) 3441-8.
  58. Supuran C.T. and Scozzafava A.: Protein tyrosine kinase inhibitors as anticancer agents, Expert Opin. Ther. Pat., 2004, 14(1) 35-53.
  59. Hanks S.K. and Hunter T.: The eukaryotic protein kinase superfamily: kinase (catalytic) domain structure and classification, The FASEB J., 1995, 9(8) 576-96.
  60. Johnson L.N.: Protein kinase inhibitors: contributions from structure to clinical compounds, Q. Rev. Biophys., 2009, 42(1) 1-40.
  61. Chico L.K., Van Eldik L.J. and Watterson D.M.: Targeting protein kinases in central nervous system disorders, Nat. Rev. Drug Discov., 2009, 8(11) 892-909.
  62. R Prakash C. and Raja S.: Indolinones as promising scaffold as kinase inhibitors: a review, Mini RevMed Chem., 2012, 12(2) 98-119.]
  63. Yousefian M. and Ghodsi R.: Structure–activity relationship studies of indolin?2?one derivatives as vascular endothelial growth factor receptor inhibitors and anticancer agents, Arch. Pharm., 2020, 353(12) 2000022.
  64. Manetti F. and Botta M.: Small-molecule inhibitors of fibroblast growth factor receptor (FGFR) tyrosine kinases (TK). Curr. pharma. Des., 2003, 9(7) 567-81.
  65. Veeravagu A., Hsu A.R., Cai W., Hou L.C., Tse V.C. and Chen X.: Vascular endothelial growth factor and vascular endothelial growth factor receptor inhibitors as anti-angiogenic agents in cancer therapy, Recent Pat. Anticancer Drug Discov., 2007, 2(1) 59-71.
  66. Goodman V.L., Rock E.P., Dagher R., Ramchandani R.P., Abraham S. and Gobburu J.V., et al.: Approval summary: sunitinib for the treatment of imatinib refractory or intolerant gastrointestinal stromal tumors and advanced renal cell carcinoma, Clin. Cancer Res., 2007, 13(5) 1367-73.
  67. Cook K.M. and Figg W.D.: Angiogenesis inhibitors: current strategies and future prospects, CA Cancer J. Clin., 2010, 60(4) 222-43.
  68. Caglevic C., Grassi M., Raez L., Listi A., Giallombardo M. and Bustamante E., et al.: Nintedanib in non-small cell lung cancer: from preclinical to approval, Ther. Adv. Respir. Dis., 2015, 9(4) 164-72.
  69. R Prakash, C.; Raja, S. Indolinones as promising scaffold as kinase inhibitors: a review. Mini reviews in medicinal chemistry 2012, 12, 98-119.
  70. Yousefian, M.; Ghodsi, R. Structure–activity relationship studies of indolin?2?one derivatives as vascular endothelial growth factor receptor inhibitors and anticancer agents. Archiv der Pharmazie 2020, 353, 2000022.
  71. Manetti, F.; Botta, M. Small-molecule inhibitors of fibroblast growth factor receptor (FGFR) tyrosine kinases (TK). Current pharmaceutical design 2003, 9, 567-581.
  72. Veeravagu, A.; Hsu, A. R.; Cai, W.; Hou, L. C.; Tse, V. C.; Chen, X. Vascular endothelial growth factor and vascular endothelial growth factor receptor inhibitors as anti-angiogenic agents in cancer therapy. Recent patents on anti-cancer drug discovery 2007, 2, 59-71.
  73. Goodman, V. L.; Rock, E. P.; Dagher, R.; Ramchandani, R. P.; Abraham, S.; Gobburu, J. V.; Booth, B. P.; Verbois, S. L.; Morse, D. E.; Liang, C. Y. Approval summary: sunitinib for the treatment of imatinib refractory or intolerant gastrointestinal stromal tumors and advanced renal cell carcinoma. Clinical Cancer Research 2007, 13, 1367-1373.
  74. Cook, K. M.; Figg, W. D. Angiogenesis inhibitors: current strategies and future prospects. CA: a cancer journal for clinicians 2010, 60, 222-243.
  75. Caglevic, C.; Grassi, M.; Raez, L.; Listi, A.; Giallombardo, M.; Bustamante, E.; Gil-Bazo, I.; Rolfo, C. Nintedanib in non-small cell lung cancer: from preclinical to approval. Therapeutic advances in respiratory disease 2015, 9, 164-172.

Reference

  1. Khetmalis Y. M., Shivani M., Murugesan S. and Sekhar KVGC.: Oxindole and its derivatives: A review on recent progress in biological activities, Biomed Pharmacother, 2021, 141, 111842.
  2. Kaur M., Singh M., Chadha N. and Silakari O.: Oxindole: A chemical prism carrying plethora of therapeutic benefits, Eur. J. Med. Chem., 2016, 123, 858-94.
  3. Kaiser S., Dietrich F., de Resende, P.E., Verza S.G., Moraes R.C. and Morrone F.B., et al.: Cat?s Claw Oxindole Alkaloid Isomerization Induced by Cell Incubation and Cytotoxic Activity against T24 and RT4 Human Bladder Cancer Cell Lines, Planta Medica, 2013, 79(15) 1413-20.
  4. Pilarski R., Filip B., Wietrzyk J., Kura? M. and Gulewicz K.: Anticancer activity of the Uncaria tomentosa (Willd.) DC. preparations with different oxindole alkaloid composition, Phytomed, 2010, 17(14) 1133-9.
  5. Goyal A., Kharkwal H., Piplani M., Singh Y., Murugesan S. and Aggarwal A., et al.: Spotlight on 4?substituted quinolines as potential anti?infective agents: Journey beyond chloroquine, Arch. Pharma., 2023, 356(3) 2200361.
  6. Wilfong E.M. and Aggarwal R.: Role of antifibrotics in the management of idiopathic inflammatory myopathy associated interstitial lung disease, Ther. Adv. Musculoskeletal Dis., 2021, 13, 1759720X211060907.
  7. Sharma S., Monga Y., Gupta A. and Singh S.: 2-Oxindole and related heterocycles: synthetic methodologies for their natural products and related derivatives, RSC advances, 2023, 13(21) 14249-67.
  8. Xu R., Zhan M., Peng L., Pang X., Yang J. and Zhang T. et al.: Design, synthesis and biological evaluation of deuterated nintedanib for improving pharmacokinetic properties, J. Labelled Comp. Radiopharm, 2015, 58(7) 308-12.
  9. Adams V.R. and Leggas M.: Sunitinib malate for the treatment of metastatic renal cell carcinoma and gastrointestinal stromal tumors, Clinical therapeutics, 2007, 29(7) 1338-53.
  10. Roskoski Jr R.: Sunitinib: a VEGF and PDGF receptor protein kinase and angiogenesis inhibitor, Biochem. Biophys. Res. Commun., 2007, 356(2) 323-8.
  11. Silva B.V., Ribeiro N.M., Pinto A.C., Vargas M.D. and Dias L.C.: Synthesis of ferrocenyl oxindole compounds with potential anticancer activity, J. Braz Chem Soc., 2008, 19, 1244-7.
  12. Haddad J.J.: The immunopharmacologic potential of Semaxanib and new generation directed therapeutic drugs: Receptor tyrosine kinase regulation with anti-tumorigenensis/angiogenesis properties, Saudi Pharm J., 2012, 20(2) 103-23.
  13. Yang T.H., Lee C.I., Huang W.H. and Lee A.R.: Synthesis and evaluation of novel 2-pyrrolidone-fused (2-oxoindolin-3-ylidene) methylpyrrole derivatives as potential multi-target tyrosine kinase receptor inhibitors, Molecules, 2017, 22(6) 913.
  14. Kushida C.A.: Ropinirole for the treatment of restless legs syndrome, Neuropsychiatric Dis. Treat, 2006, 2(4) 407-19.
  15. Jörg M., Kaczor A.A., Mak F.S., Lee K.C.K., Poso A. and Miller N.D., et al.: Investigation of novel ropinirole analogues: synthesis, pharmacological evaluation and computational analysis of dopamine D 2 receptor functionalized congeners and homobivalent ligands, MedChemComm, 2014, 5(7) 891-8.
  16. Urban F.J., Breitenbach R. and Gonyaw D.: A novel synthesis of the antipsychotic agent ziprasidone, Synthetic communications, 1996, 26(8) 1629-38.
  17. Sumpter W.C.: The chemistry of oxindole, Chemical Reviews, 1945, 37(3) 443-79.
  18. Hachu?a B., Zubko M., Zajdel P., Ksi??ek M., Kusz J. and Starczewska O., et al.: Polymorphs of oxindole as the core structures in bioactive compounds, CrystEngComm, 2018, 20(12) 1739-45.
  19. Gassman P.G. and Van Bergen T.: General method for the synthesis of oxindoles, J. Am. Chem. Soc, 1973, 95(8) 2718-9.
  20. Wolfe J.F., Sleevi M.C. and Goehring R.R.: Photoinduced cyclization of mono-and dianions of N-acyl-o-chloranilines. A general oxindole synthesis, J. Am. Chem. Soc, 1980, 102(10) 3646-7.
  21. Athelstan L. and John M.: Tandem radical translocation and homolytic aromatic substitution: a convenient and efficient route to oxindoles, J. Chem. Soc., Chem. Commun, 1995, (9) 977-8.
  22. Lackey K.E. and McNutt Jr R.W., 3-(anilinomethylene) oxindoles as protein tyrosine kinase and protein serine/threonine kinase inhibitors,  US Patent 6498176 B1, 2002.
  23. Hardtmann G.E., Oxindoles as sleep-inducers, US Patent 4160032, 1979.
  24. Ram V.J., Sethi A., Nath M. and Pratap R.: The chemistry of heterocycles: Nomenclature and chemistry of three to five membered heterocycles, Elsevier, 2019.
  25. Dhokne P., Sakla A.P. and Shankaraiah N.: Structural insights of oxindole based kinase inhibitors as anticancer agents: Recent advances, Eur. J. of Med. Chem, 2021, 216, 113334.
  26. Rindhe S., Karale B., Gupta R. and Rode M.: Synthesis, antimicrobial and antioxidant activity of some oxindoles, Indian J. Pharm. Sci, 2011, 73(3) 292.
  27. Pan T., He M., Deng L., Li J., Fan Y. and Hao X., et al.: Design, Synthesis, and Evaluation of the COX-2 Inhibitory Activities of New 1, 3-dihydro-2H-indolin-2-one Derivatives, Molecules, 2023, 28(12) 4668.
  28. Lin J., Liang Q.M., Ye Y.N., Xiao D., Lu L. and Li M.Y., et al.: Synthesis and Biological Evaluation of 5-Fluoro-2-Oxindole Derivatives as Potential α-Glucosidase Inhibitors, Front. Chem., 2022, 10.
  29. Kaur M., Singh M. and Silakari O.: Oxindole-based SYK and JAK3 dual inhibitors for rheumatoid arthritis: designing, synthesis and biological evaluation, Future Med. Chem., 2017, 9(11) 1193-211.
  30. Zaryanova E.V., Lozinskaya N.A., Beznos O.V., Volkova M.S., Chesnokova N.B. and Zefirov N.S.: Oxindole-based intraocular pressure reducing agents, Bioorganic Med Chem lett., 2017, 27(16) 3787-93.
  31. Zolghadri S., Bahrami A., Hassan Khan M.T., Munoz-Munoz J., Garcia-Molina F. and Garcia-Canovas F., et al.: A comprehensive review on tyrosinase inhibitors, J. Enzyme Inhib Med Chem., 2019, 34(1) 279-309.
  32. Hublikar M., Kadu V., Raut D., Shirame S., Anbarasu S. and Al-Muhanna M.K., et al.: 3-Substituted-2-oxindole derivatives: Design, synthesis and their anti-tuberculosis and radical scavenging dual-action studies, J. Mol. Struct., 2022, 1261, 132903.
  33. Yousuf M., Mukherjee D., Dey S., Chatterjee S., Pal A. and Sarkar B., et al.: Synthesis and biological evaluation of polyhydroxylated oxindole derivatives as potential antileishmanial agent, Bioorganic Med Chem lett., 2018, 28(6) 1056-62.
  34. Smallheer J., Otto M., Amaral Ly C., Earl R., Myers M. and Pennev P., et al.: Synthesis and anti-HIV activity of a series of 2-indolinones and related analogues, Antivir. Chem. Chemother., 1993, 4(1) 27-39.
  35. Leber M.F. and Efferth T.: Molecular principles of cancer invasion and metastasis, Int. J. Oncol., 2009, 34(4) 881-95.
  36. Boutry J., Tissot S., Ujvari B., Capp J.P., Giraudeau M. and Nedelcu A.M., et al.: The evolution and ecology of benign tumors, Biochim Biophys Acta Rev Cancer, 2022, 1877(1) 188643.
  37. Blackadar C.B.: Historical review of the causes of cancer, World J. Clin. Oncol., 2016, 7(1) 54.
  38. Ferlay J., Colombet M., Soerjomataram I., Parkin D.M., Piñeros M. and Znaor A., et al.: Cancer statistics for the year 2020: An overview, Int. J. Cancer, 2021, 149(4) 778-89.
  39. Anand U., Dey A., Chandel A.K.S., Sanyal R., Mishra A. and Pandey D.K., et al.: Cancer chemotherapy and beyond: Current status, drug candidates, associated risks and progress in targeted therapeutics, Genes & Diseases, 2022.
  40. Ferraz de Paiva R.E., Vieira E.G., Rodrigues da Silva D., Wegermann C.A. and Costa Ferreira A.M.: Anticancer compounds based on isatin-derivatives: strategies to ameliorate selectivity and efficiency, Front. Mol. Biosci., 2021, 7, 627272.
  41. Song Z., Chen C.P., Liu J., Wen X., Sun H. and Yuan H.: Design, synthesis, and biological evaluation of (2E)-(2-oxo-1, 2-dihydro-3H-indol-3-ylidene) acetate derivatives as anti-proliferative agents through ROS-induced cell apoptosis, Eur. J. Med. Chem., 2016, 124, 809-19.
  42. Kumar G.B., Nayak V.L., Sayeed I.B., Reddy V.S., Shaik A.B. and Mahesh R., et al.: Design, synthesis of phenstatin/isocombretastatin-oxindole conjugates as antimitotic agents, Bioorg. Med. Chem., 2016, 24(8) 1729-40.
  43. Sharma P., Thummuri D., Reddy T.S., Senwar K.R., Naidu V. and Srinivasulu G., et al.: New (E)-1-alkyl-1H-benzo [d] imidazol-2-yl) methylene) indolin-2-ones: Synthesis, in vitro cytotoxicity evaluation and apoptosis inducing studies, Eur J. Med. Chem., 2016, 122, 584-600.
  44. Vahlne A.: A historical reflection on the discovery of human retroviruses, Retrovirology, 2009, 6(1) 1-9.
  45. Bbosa N., Kaleebu P. and Ssemwanga D.: HIV subtype diversity worldwide, Curr. Opin. HIV AIDS, 2019, 14(3) 153-60.
  46. Nastri B.M., Pagliano P., Zannella C., Folliero V., Masullo A. and Rinaldi L., et al.: HIV and drug-resistant subtypes, Microorganisms, 2023, 11(1) 221.
  47. Ye N., Chen H., Wold E.A., Shi P.Y. and Zhou J.: Therapeutic potential of spirooxindoles as antiviral agents, ACS infectious diseases, 2016, 2(6) 382-92.
  48. Chander S., Tang C-R., Penta A., Wang P., Bhagwat D.P., and Vanthuyne N., et al.: Hit optimization studies of 3-hydroxy-indolin-2-one analogs as potential anti-HIV-1 agents. Bioorganic Chem., 2018, 79, 212-22.
  49. Walsh C.: Molecular mechanisms that confer antibacterial drug resistance, Nature, 2000, 406(6797) 775-81.
  50. Devasahayam G., Scheld W.M. and Hoffman P.S.: Newer antibacterial drugs for a new century, Expert Opin. Investig. Drugs, 2010, 19(2) 215-34.
  51. Rai J., Randhawa G.K. and Kaur M.: Recent advances in antibacterial drugs, Int. J Appl. Basic Med. Res., 2013, 3(1) 3.
  52. Brown E.D. and Wright G.D.: Antibacterial drug discovery in the resistance era, Nature, 2016, 529(7586) 336-43.
  53. Poce G., Zappia G., Porretta G.C., Botta B. and Biava M.: New oxazolidinone derivatives as antibacterial agents with improved activity, Expert Opin. Ther. Pat., 2008, 18(2) 97-121.
  54. Choy A., Colbry N., Huber C., Pamment M. and Duine J.V.: Development of a synthesis for a long-term oxazolidinone antibacterial, Org. Process Res. Dev., 2008, 12(5) 884-7.
  55. Wang G.: Synthesis and antibacterial properties of oxazolidinones and oxazinanones, Anti-Infective Agents in Med. Chem. (Formerly Current Med. Chemistry-Anti-Infective Agents), 2008, 7(1) 32-49.
  56. Rudrangi S.R.S., Bontha V.K., Manda V.R., and Bethi S. Oxindoles and their pharmaceutical significance-an overview, Asian J. of Research Chem., 2011, 4(3) 335-8.
  57. Khan M., Yousaf M., Wadood A., Junaid M., Ashraf M. and Alam U., et al.: Discovery of novel oxindole derivatives as potent α-glucosidase inhibitors, Bioorg. Med. Chem., 2014, 22(13) 3441-8.
  58. Supuran C.T. and Scozzafava A.: Protein tyrosine kinase inhibitors as anticancer agents, Expert Opin. Ther. Pat., 2004, 14(1) 35-53.
  59. Hanks S.K. and Hunter T.: The eukaryotic protein kinase superfamily: kinase (catalytic) domain structure and classification, The FASEB J., 1995, 9(8) 576-96.
  60. Johnson L.N.: Protein kinase inhibitors: contributions from structure to clinical compounds, Q. Rev. Biophys., 2009, 42(1) 1-40.
  61. Chico L.K., Van Eldik L.J. and Watterson D.M.: Targeting protein kinases in central nervous system disorders, Nat. Rev. Drug Discov., 2009, 8(11) 892-909.
  62. R Prakash C. and Raja S.: Indolinones as promising scaffold as kinase inhibitors: a review, Mini RevMed Chem., 2012, 12(2) 98-119.]
  63. Yousefian M. and Ghodsi R.: Structure–activity relationship studies of indolin?2?one derivatives as vascular endothelial growth factor receptor inhibitors and anticancer agents, Arch. Pharm., 2020, 353(12) 2000022.
  64. Manetti F. and Botta M.: Small-molecule inhibitors of fibroblast growth factor receptor (FGFR) tyrosine kinases (TK). Curr. pharma. Des., 2003, 9(7) 567-81.
  65. Veeravagu A., Hsu A.R., Cai W., Hou L.C., Tse V.C. and Chen X.: Vascular endothelial growth factor and vascular endothelial growth factor receptor inhibitors as anti-angiogenic agents in cancer therapy, Recent Pat. Anticancer Drug Discov., 2007, 2(1) 59-71.
  66. Goodman V.L., Rock E.P., Dagher R., Ramchandani R.P., Abraham S. and Gobburu J.V., et al.: Approval summary: sunitinib for the treatment of imatinib refractory or intolerant gastrointestinal stromal tumors and advanced renal cell carcinoma, Clin. Cancer Res., 2007, 13(5) 1367-73.
  67. Cook K.M. and Figg W.D.: Angiogenesis inhibitors: current strategies and future prospects, CA Cancer J. Clin., 2010, 60(4) 222-43.
  68. Caglevic C., Grassi M., Raez L., Listi A., Giallombardo M. and Bustamante E., et al.: Nintedanib in non-small cell lung cancer: from preclinical to approval, Ther. Adv. Respir. Dis., 2015, 9(4) 164-72.
  69. R Prakash, C.; Raja, S. Indolinones as promising scaffold as kinase inhibitors: a review. Mini reviews in medicinal chemistry 2012, 12, 98-119.
  70. Yousefian, M.; Ghodsi, R. Structure–activity relationship studies of indolin?2?one derivatives as vascular endothelial growth factor receptor inhibitors and anticancer agents. Archiv der Pharmazie 2020, 353, 2000022.
  71. Manetti, F.; Botta, M. Small-molecule inhibitors of fibroblast growth factor receptor (FGFR) tyrosine kinases (TK). Current pharmaceutical design 2003, 9, 567-581.
  72. Veeravagu, A.; Hsu, A. R.; Cai, W.; Hou, L. C.; Tse, V. C.; Chen, X. Vascular endothelial growth factor and vascular endothelial growth factor receptor inhibitors as anti-angiogenic agents in cancer therapy. Recent patents on anti-cancer drug discovery 2007, 2, 59-71.
  73. Goodman, V. L.; Rock, E. P.; Dagher, R.; Ramchandani, R. P.; Abraham, S.; Gobburu, J. V.; Booth, B. P.; Verbois, S. L.; Morse, D. E.; Liang, C. Y. Approval summary: sunitinib for the treatment of imatinib refractory or intolerant gastrointestinal stromal tumors and advanced renal cell carcinoma. Clinical Cancer Research 2007, 13, 1367-1373.
  74. Cook, K. M.; Figg, W. D. Angiogenesis inhibitors: current strategies and future prospects. CA: a cancer journal for clinicians 2010, 60, 222-243.
  75. Caglevic, C.; Grassi, M.; Raez, L.; Listi, A.; Giallombardo, M.; Bustamante, E.; Gil-Bazo, I.; Rolfo, C. Nintedanib in non-small cell lung cancer: from preclinical to approval. Therapeutic advances in respiratory disease 2015, 9, 164-172.

Photo
Ankush Goyal
Corresponding author

Maharaja Agrasen School of Pharmacy, Maharaja Agrasen University, Baddi, H.P.

Photo
Amit Aggarwal
Co-author

Maharaja Agrasen School of Pharmacy, Maharaja Agrasen University, Baddi, H.P.

Photo
Pratima Sharma
Co-author

Raj Kumar Goel Institute of Technology, Ghaziabad, UP, India, 201003.

Photo
Mona Piplani
Co-author

Maharaja Agrasen School of Pharmacy, Maharaja Agrasen University, Baddi, H.P.

Photo
Nakibul Islam Mondal
Co-author

SRM College of Pharmacy, SRM Institute of Science and Technology, Kattankulathur, Chengalpattu, Tamil Nadu-603203, India

Photo
Mohd Ahmed
Co-author

Maharaja Agrasen School of Pharmacy, Maharaja Agrasen University, Baddi, India

Mohd Ahmed, Amit Aggarwal, Pratima Sharma, Mona Piplani, Nakibul Islam Mondal, Ankush Goyal, Chemistry and Pharmacological Potential of Oxindole Nucleus: A Review, Int. J. of Pharm. Sci., 2025, Vol 3, Issue 9, 2951-2970. https://doi.org/10.5281/zenodo.17197941

More related articles
Anti-Inflammatory Emulgels: Emerging Trends and Fu...
Tanaya Vairagade, Dr. R. H. Kasliwal, Dr. D. R. Chaple, Pranali D...
A Review On : Fast Dissolving Oral Thin Film...
Pote Ashwini.B, Zarad Snehal, Ashok Dalimbe , ...
Mitochondria-Targeted Nutraceuticals in Depression: Linking Energy Metabolism an...
Sonali Punde , Dr. R. J. Mandade , Sudarshan Behere, ...
Molecular Docking, Pharmacophore Mapping And Virtual Screening Of Potent Human P...
Sarika Pranam Patil, Sanskruti Rajesh More, Monali Sanjay Thorat, Anuja Atul Masule, ...
Herbal Antispasmodics with Magnesium: A Novel Approach to Dysmenorrhea Managemen...
Pranav Sonawane , Sayali Patil, Vaishnavi Khilari , Vaishnavi Tanpure , Shraddha Shinde, ...
Related Articles
Cancer Vaccines...
Ashwini Taware, Chetana Mayekar, Manisha Nangude, Harsh Tapal, Pranali Vekhande, Manas Suryarao, ...
A Systematic Review: Oral Mucoadhesive Drug Delivery for Peptic Ulcer...
Poonam Ganphade, Dr. G. R. Dixit, Irshad Ahmad, ...
Epidemiological and Clinical Insights into Autoimmune Skin Disorders: A Cross-Se...
Kota Venkata Swapna, G. Mamatha, J. Praveen Kumar, K. Prudhvi, K. Nithesh, K. Lavanya Lahari, ...
Evaluation Of Anti-Parkinsonian Effect Of Ethanolic Leaf Extract Of Allium, Jacq...
Adiba Afreen, Shaik Mohd Khasim, Saniya Zainab, Shaik Shahnaz Begum, Aman Khan, Mohd Ajaz Kaiser, Ka...
Anti-Inflammatory Emulgels: Emerging Trends and Future Perspectives in Topical D...
Tanaya Vairagade, Dr. R. H. Kasliwal, Dr. D. R. Chaple, Pranali Dhule, Trupti Nimburkar, Prachi Kara...
More related articles
Anti-Inflammatory Emulgels: Emerging Trends and Future Perspectives in Topical D...
Tanaya Vairagade, Dr. R. H. Kasliwal, Dr. D. R. Chaple, Pranali Dhule, Trupti Nimburkar, Prachi Kara...
A Review On : Fast Dissolving Oral Thin Film...
Pote Ashwini.B, Zarad Snehal, Ashok Dalimbe , ...
Anti-Inflammatory Emulgels: Emerging Trends and Future Perspectives in Topical D...
Tanaya Vairagade, Dr. R. H. Kasliwal, Dr. D. R. Chaple, Pranali Dhule, Trupti Nimburkar, Prachi Kara...
A Review On : Fast Dissolving Oral Thin Film...
Pote Ashwini.B, Zarad Snehal, Ashok Dalimbe , ...