View Article

Abstract

Metal complexes, also known as coordination compounds, are chemical species consisting of a central metal atom or ion surrounded by molecules or ions called ligands. These ligands donate electron pairs to the metal center, forming coordinate covalent bonds. The study of metal complexes is fundamental to inorganic chemistry due to their diverse structures, bonding modes, and wide range of applications. Metal complexes play a vital role in catalysis, medicine, and biological systems—examples include cisplatin as an anticancer drug, hemoglobin in oxygen transport, and chlorophyll in photosynthesis. Their stability and properties are influenced by the nature of the metal ion, the type of ligands, and the geometry of coordination. Current research focuses on the design and synthesis of novel metal complexes with improved catalytic efficiency, biocompatibility, and environmental sustainability. These properties can be exploited to enable measurement of analytes that lack the essential chromophoric, fluorophoric, or oxidizable/reducible groups. These properties of metal complexes have spurred the development of analytical methods based on these complexes for the determination of various analytes, including drugs, metals, nucleic acids, as large and small molecules, across different analytical application.

Keywords

Metal complexes, coordination compounds, legends, transition metals, chelation, catalysis, bioinorganic chemistry

Introduction

Metal complexes are also known as coordination compounds, which include all metal compounds. Metal complex may be a structure consisting of a central atom (or) ion (metal) bonded with anions (ligands). Compounds that contain a coordination complex are called coordination compounds. Metals are Lewis acid due to their charge, when dissolved in water they form hydrated compounds. Metal complexes are chemical compounds that forms when metal ions attach to molecules or ions known as ligands through coordinate bonds. The foundation for understanding these compounds was laid by Alfred Werner in 1893 through his coordination theory, which described how ligands are arranged around a central metal ion. Transition metals like iron (Fe), cobalt (Co), nickel (Ni), copper (Cu), and platinum (pt) readily form a wide variety of stable complexes because they can exist in multiple oxidation states and possess vacant d-orbitals. These complexes often show strinking colors, unique magnetic and biological system. Coordination complexes have been studied since 1798, beginning with Tassaert’s research. Since then, major advancements have been achieved in both inorganic and organic chemistry regarding the synthesis, characterization, and applications of this large and diverse class of metal complexes. Initially, these compounds were classified as coordination complexes because they did not conform to the traditional valence theory—the ratios of their constituent elements often exceeded their expected valences. Alfred Werner’s coordination theory later clarified this by proposing that, in addition to primary valences (responsible for bonding within the molecule), certain elements also possess secondary valences. These secondary valences give rise to a second level of bonding, forming what we now represent as the coordination sphere. In chemical notation, the primary coordination sphere is enclosed in brackets—[central metal atom (ligands)]—while the ions or molecules outside the brackets make up the ionization sphere. The central atom may be any element, while the ligands—ions, atoms, or neutral molecules—serve as electron pair donors. Neutral molecules or anions with one or more ione pairs can function as ligands when attach to a metal through multiple donor atoms, called polydentate and form cyclic structures known as chelates. Many pharmaceutical compounds can act as ligands or chelating agents under biological (in vivo) or laboratory (in vitro) condition. A characteristic of metal atoms is their ability to act as Lewis acids, forming coordination bonds with Lewis bases. A metal complex, therefore, consists of a central metal atoms or ion bonded to one or more ligands (form the Latin ligare, meaning “to bind”). These ligands contribute electron pairs to the metal center. Complexes may be neutral—such as Co(NH?)?Cl?—or charged, like [Nd(H?O)?]³? or [UF?]??. When charged, they are referred to as complex ions.

STRUCTURE AND BONDING

Metal complexes can aggregate to a wide range of coordination geometries that give them unique shapes. The bond length, bond angleand coordination site vary depending on the metal and its oxidation state. In addition to this, metal-based complexes can be structurally modified to a variety of distinct molecular species that confer a wide spectrum of coordination numbers and geometries. This number determines the overall shape or geometry of the complex. For example, a coordination number of 2 gives a linear shape, 4 may lead to either a tetrahedral or square planar geometry, and 6 usually forms an octahedral shape. The bonding in metal complexes is explained using different theoretical models. According to valence bond theory (VBT), metal orbitals hybridized to accommodate ligand electrons, forming coordinate covalent bonds. Crystal field theory (CFT) focuses on how the d-orbitals of the metal ion split into energy levels when ligads approach, which helps explain the color and magnetic properties of complexes. Molecular orbitals theory (MOT) gives a more detailed picture by describing hoe metal and ligand orbitals combine to form bonding and anti bonding molecular orbitals. Together, these theories helps us understand why metal complexes show distinct shapes, colors, and reactivities, marking them an important area of study in inorganic chemistry.

COORDINATION NUMBER AND GEOMETRY:-

Coordination Number

Common Geometry

Example Complex

Metal

2

Linear

[Ag(NH?)?]?

Silver

4

Tetrahedral

[NiCl?]²?

Nickel

4

Square planar

[PtCl?]²?

Platinum

6

Octahedral

[Fe(CN)?]³?

Iron

8

Cubic / Square antiprismatic

[Mo(CN)?]??

Molybdenum

BONDING THEORIES

  1. Valence Bond Theory (VBT)
  • Bonds are formed when atomic orbitals of two atoms overlap.
  • The overlapping orbitals share electrons, creating a strong bond.
  • The shape of the molecule depends on the direction of these overlaps.

Example: In H?, each hydrogen atom shares one electron by overlapping its 1s orbital with the other.

  1.  Molecules Orbitals Theory (MOT)
  • When atoms come close, their atomic orbitals to form molecular orbitals that spread over the entire molecule.
  • Electrons are filleld in these molecular orbitals according to levels.
  • There are bonding and antibonding orbitals bonding orbitals stabilize the molecule, while antibonding orbitals can weaken it.

Example: In O?, MOT explains its magnetic nature (paramagnetism) which VBT couldn’t.

  1. Crystal Field Theory (CFT)
  • Used mainly for metal complexes.
  • The ligands (molecules or around the metal) create an electric field that affects the metal’s d-orbitals.
  • These causes the d-orbitals to split into different energy levels, which explains color, magnetism, and stability of metal complexes.

Example: [Fe(H?O)?]²? appears light green because of this splitting of d-orbitals.  

  1. Valence Shell Electron Pair Repulsion Theory (VSEPR)
  • Electron pairs around a central atom repel each other and arrange themselves as far apart as possible.
  • This explains the shape of molecules.

Example: In H?O, the molecule is bent because the lone pairs on oxygen push the hydrogen atoms down.

METALS IN MEDICINE

Medications that include metals are useful for a variety of medical purposes, such as diagnosis and therapy. Use of Metals A. Platinum: Compounds derived from platinum have a selective effect on tumours of the head and neck. Researchers believe that these complexes cross-link DNA in tumour cells. B. Gold: For RA, gold salt complexes have shown promise. According to popular belief, immune cells absorb the gold salts via albumin-protein interactions, which in turn cause cell death due to anti-mitochondrial effects. Lithium, namely Li2CO3, has potential as a preventative measure against manicdepressive episodes. Topical use of zinc speeds the healing of wounds (D. Zinc). Zinc ions have anti-herpes potential. E. silver people who suffer from buns often use silver-based creams or dressing because silver helps prevent infections. It kills or stops bacteria from spreading on the wound. F. gold, silver, and copper that contain phosphine ligands have shown anti-cancer properties. These metals can interact with cancer cells and slow their growth. G. lanthanum carbonate (brand name fosrenol) is commonly used in patients with chronic kidney disease. It acts as a phosphate binder, meaning it helps reduce high phosphate levels in the blood by preventing phosphate absorption from food. H. bismuth subsalicylate is the main ingredient in some antacids (like pepto-bismol). It helps soothe the stomach, reduce acid, and relieve upset stomach and diarrhea. i. platinum, titanium, vanadium, and iron some metals compounds like cisplastin (cis-diamminedchloroplatinum), titanium, vanadium, and iron can attack cancer cells, stopping them from dividing and growing. J. barium is used in medical imaging, especially x-rays. When a person swallows a barium solution, it coats the inside of organs, helping doctors clearly see the digestive system on x-rays images. K. manganese and gadolinium these metals are used in MRI (magnetic Resonance Imaging) scan as contrast agents. They improve the quality of images, helping doctors see tissues and organs more clearly. L mercury has body used in the past as a diuretic (to help the body remove extra fluid) and as an antiseptic (to prevent infection), through its use has declined due to toxicity concerns.

LIGAND EXCHANGE

Unlike kinetically stable metal complexes that do not easily change their ligands, some metal complexes can readily undergo ligand exchange reactions, allowing them to react with biological molecules. A well-known example of this process is cisplatin, a clinically approved anticancer drug. Cisplatin enters cells either through passive diffusion or via the copper transporter protein CTR1. During transport through CTR1, cisplatin may lose some of its amine ligands due to interactions with methionine-rich regions of the transporter. In the bloodstream, cisplatin remains stable because of the high chloride concentration (~100 mM). However, once inside the cell, where chloride levels are much lower (~4–12 mM), the chloride ligands are replaced by water molecules, forming a monoaqua complex [Pt(NH3)2Cl(H2O)]+. This form of cisplatin is more electrophilic, meaning it can easily react with nucleophilic sites on biomolecules, especially DNA bases. The coordinated water molecule is replaced by purine bases (guanine or adenine) at the N7 position, forming platinum-DNA adducts. The second chloride ligand can also be replaced by another DNA base, creating cross-linked DNA adducts that block DNA replication and transcription. This leads to cell cycle arrest and apoptosis (programmed cell death). Apart from DNA binding, metal complexes with labile (easily replaced) ligands can also react with proteins. For example, complexes of Au(III), Pd(II), and Re(V) have been shown to inhibit cysteine proteases through coordination-driven mechanisms. Gold(I) compounds, in particular, are being studied as inhibitors of glutathione reductase and thioredoxin reductase, enzymes that are crucial for cancer cell survival. These metal complexes can release their ligands and form coordinate covalent bonds with cysteine residues in enzyme active sites, blocking their activity. In some cases, the released ligand itself can be biologically active. A good example is carbon monoxide-releasing molecules (CORMs). Although CO is toxic in high amounts, it also functions as a natural signaling molecule in the human body. Controlled CO release can have therapeutic benefits in treating conditions like bacterial infections, inflammation, sepsis, diabetes, and cancer. Metal carbonyl complexes are often used as metal-based CORMs, where modifying the ligands can adjust how quickly CO is released. Another interesting case is the ruthenium (Ru) complex developed by Wilson and colleagues. These Ru complexes contain persulfide bridges and can release hydrogen sulfide (H?S) when reduced from Ru(III) to Ru(II) under low-oxygen (hypoxic) conditions. H?S has protective effects in cells, showing how redox-mediated ligand release can be used for therapeutic purposes.

SYNTHESIS OF METAL COMPLEX

Metal complexes of (VO2+, Cr3+, Mn2+, and Mo6+) were synthesized using their respective metal. Chlorides at a 1:2 metal-to-ligand ratio. Specifically, CrCl3·6H2O (0.421 g, 1.581 mmol), MnCl2·4H2O (0.312 g, 1.581 mmol), VOSO4·5H2O (0.399 g, 1.581 mmol), and (NH4)2MoO4 (0.309 g, 1.581 mmol) were dissolved in 20 mL of distilled water. These solutions were then added gradually, dropwise into a round-bottom flask. A stoichiometric amount of (1 g, 3.163 mmol) from azo day ligand, dissolved in 10 mL pure ethanol, was continually stirred. The mixture was heated to a temperature between 40 – 50 °C for 2 hours using reverse escalation. It was then cooled in an ice bath until precipitation began to form, at which point a color change was observed. The mixture was allowed to stand for over 6 hours. To remove any unreacted Vian Yamin Jirjees and Abbas Ali Salih Al -Hamdani Bull. Chem. Soc. Ethiop. 2025, 39(11) 2096 components, the solid complexes were separated and washed with a small amount of hot, diluted ethanol. Afterward, a vacuum desiccator was used to dry the compounds, which resulted in various colored precipitates, achieving a production rate of 87%. The complexes began to fragment within the melting point range of (152-155) °C. Scheme 1 illustrates the formation of the ligand and metal -complexes.

CHARACTERIZATION OF METAL COMPLEXES

Diamine–furil Schiff bases are typically synthesized via condensation reaction between furfural derivatives and primary diamines under reflux in suitable organic solvents such as ethanol or methanol. The reaction involves nucleophilic attack of the amine group on the carbonyl carbon of the aldehyde, followed by elimination of water to form the imine (–C=N–) linkage. The resulting Schiff base ligands are isolated by filtration or recrystallization and purified using standard techniques.

Metal complexes are prepared by reacting the Schiff base ligands with metal salts (e.g., chlorides, acetates, or nitrates of transition metals) in stoichiometric ratios under reflux or stirring conditions. The metal ions coordinate primarily through the imine nitro genatoms and, in some cases, additional donor atoms such as oxygen from the furan ring or auxiliary ligands. The complexes are isolated as crystalline solids, often exhibiting colors characteristic of the metal and its oxidation state. Comprehensive characterization confirms the formation and composition of both ligands and metal complexes. Infrared (IR) Spectroscopy: Key indicators include the C=N stretching band (~1600–1650 cm?¹) for the Schiff base, which shifts upon coordination to a metal center. Additional bands corresponding to M–Nand M–O bonds further validate complexation. UV–Visible Spectroscopy: Provides information on electronic transitions, including ligand-to-metal charge transfer (LMCT) and d–d transitions of transition metal complexes. Absorption maxima are sensitive to coordination geometry and ligand field strength. Nuclear Magnetic Resonance (NMR) Spectroscopy: ^1Hand ^13C NMR spectra of diamine–furil Schiff base confirm the imine proton (–CH=N–) and carbon signals, as well as the integrity of the furan ring. Paramagnetic metal complexes may exhibit broadened or shifted signals. Elemental Analysis: Confirms the stoichiometry of C, H, N, and metal content in the complexes. X-ray Diffraction (XRD): Single-crystal XRD provides detailed insight into molecular geometry, bond lengths, bond angles, and crystal packing. Powder XRD may be used for phase identification and purity assessment

PROPERTIES OF METAL COMPLEXES

Characterization techniques are essential tools in materials science and chemistry, providing critical insights into the properties and behavior of materials. These techniques can be broadly classified into structural, morphological, optical and electronic properties, and thermal analysis. Each category includes various methods that reveal different aspects of the material's nature and performance. Structural characterization techniques are used to determine the atomic and molecular structure of materials (Ji et al., 2021). They provide information on the arrangement of atoms, bond lengths, angles, and other structural parameters. Spectroscopic methods are a broad class of techniques that involve the interaction of electromagnetic radiation with matter to study its properties. These methods include, this technique is used to determine the crystallographic structure of materials. X-rays are directed at a material, and the diffraction pattern is analyzed

to determine the atomic structure. XRD is particularly useful for identifying crystalline phases and measuring lattice parameters. NMR spectroscopy is used to determine the structure of organic compounds and some inorganic compounds by observing the behavior of nuclei in a magnetic field (Reif et al., 2021). It provides detailed information about the electronic environment of specific nuclei, which can be used to deduce the structure of molecules. FTIR

spectroscopy is used to identify functional groups and study molecular interactions by measuring the absorption of infrared radiation by the material. The resulting spectrum represents the material's molecular fingerprint. Metal complexes exhibit a wide variety of physical, chemical, and biological, its depends upon the nature of the metal ion and the ligand involved.

  1. Color

Many metal complexes are known for their bright and distinctive colors. These colors come from electronic transition that occur between different energy levels of the d-orbitals (called d-d transition) or from the transfer of electrons between the metal and its ligands (known as charge transfer transitions).

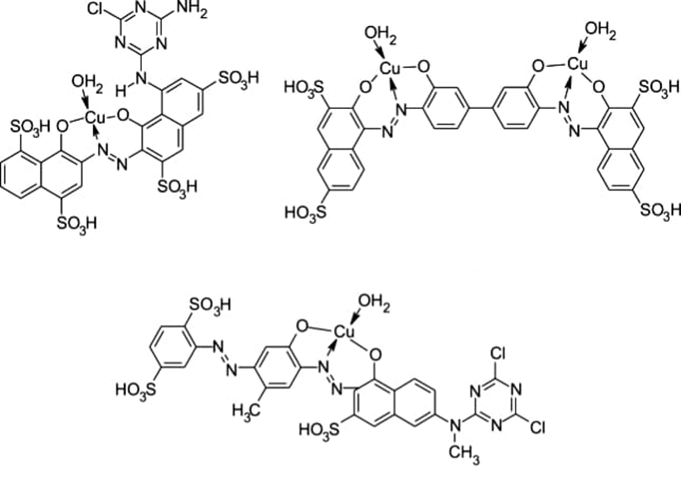
The most prevalent metal complex dyes for textile and related applications are metal complex azo dyes. Their colors span the entire spectrum although, as described earlier, they tend to give dull shades. They may be 1:1 dye:metal complexes or 2:1 complexes and contain mainly one (mono azo) or two (disazo) azo groups.

The 1:1 copper complex azo dyes are used both as reactive dyes for cotton and as direct dyes for paper. (For definitions of reactive dyes, which form covalent linkages with the substrate, and direct dyes, which bind more weakly, see refs.23 and 24, respectively.) Typical monoazo dyes are CI Reactive Violet 1 (23) and CI Reactive Blue 13 (25), and the bis-copper-ed dye, CI Direct Blue 80 (26). The navy blue dye, CI Reactive Blue 82 (27), is a typical disazo dye. 

The most important 2:1 metal complex azo dyes are the 2:1 Cr3+ dyes.

  1. Magnetic Properties

The magnetic nature of a complex depends on whether or not it has unpaired electrons in its d-orbitals. Complexes with unpaired electrons are paramagnetic (attracted to a magnetic field) while those with all paired electrons are diamagnetic (not attracted to a magnetic field)

  1. Stability

The strength or stability of a metal complex depends on several factors.

Structure formed by multidentate ligands are generally more stable

Environmental factors such as solvent type and temperature also affect stability.

  1. Reactivity

Metal complexes can undergo various chemical reactions including ligand exchange redox reactions and catalytic processes. These reactions are vital in both chemical research and industrial applications such as catalysis and material synthesis.

APPLICATIONS AND FUTURE PROSPECTS

PHYSIOCHEMICAL PROPERTIES OF THE METAL COMPLEXES

polymers [Cu(tda)(phen)]1.5H2O(1a), [Cu(tda)(py)] (2a) and [Cu(tda)(bipy)(H2O)]0.5H2O(3a) (Fig. 1). However, when the reaction was carried out at high temperature, with phen as co-ligand, the blue powder [Cu(tda)(phen)]?2H2O(1b) was isolated. In the presence of py, a green powder of [Cu(tda)(H2O)] (2b) was obtained, while in the presence ofbipy, a blue powder of [Cu(tda)(phen)] (3b) was isolated. The metal complexes air stable but are insoluble in common organic solvents and water which is consistent with their polymeric nature. The elemental analysis of the complexes is consistent with the proposed composition of the compounds

Use of these complexes in medicinal chemistry, catalysis and material science 

Metal complexes formed from diamine-furil Schiff bases show remarkable adaptability and usefulness in medicine catalysis and material science. In medicinal chemistry these compounds posses strong antimicrobial antifungal antioxidant and anticancer effects. Their biological activity arises from stable metal ligand bonds redox behavior and their capability to interact with vital biomolecule like DNA and enzymes.

In catalysis these complexes serve as efficient catalysts because their metal centers are redox active their coordination environments can be easily tuned. These allows them to promote various reactions such as oxidation reduction and carbon-carbon coupling often under mild and environment friendly conditions.

Within materials science complex are valued for their potential use are in optical magnetic and electronic applications. Their well defined crystal structure π–π stacking and super molecule organization contribute to desirable material properties. Moreover by controlling their crystal packing and coordination geometry researchers can design materials with customized physical electronic and chemical behaviors.

Future research should aim to refine the structural and electronic features of Schiff base ligands and investigate less commonly used metal ions to broaden the range of biologically active and functional metal complexes. Advanced crystal design approaches such as co-crystallization super molecular templating and solvent controlled assembly can be utilized to achieve better regulation of crystal structure and molecular arrangement. Combing computational modeling with experimental structure activity relationship (SAR) studies can also improve the ability to predict the properties and behavior of these complexes. Overall the thoughtful and systemic design of diamine furil Schiff base metal complexes offers great potential for creating new drugs effective catalysts and innovative functional materials thereby connecting basic coordination chemistry with real world technological and medical application.

CONCLUSION

Coordination compounds in medicinal chemistry are very promising as far as the creation of therapeutic application are concerned for metal complexes. Selectivity and bioavailability will be improved while minimizing toxicity by employing safer metals and biocompatible ligands will also remain of high importance. Concerning the specific of the scale and reduction of the environmental impact the green and clean utilization of earth abundant metals and green chemistry approaches will also play a decisive role. Continued advancement of characterization techniques will extend understanding of metal complexes and enable the synthesis of acceptably safe and highly efficient medicine. Metal complexes offer a platform for the design of novel therapeutic compounds the basic ideas for the synthesis and develop the various process in metal complex. The broad range of properties ranging from biological activity to catalytic behavior positions metal complexes as crucial components in future therapeutic strategies. This synthesized and characterized pyrazole-based tetra dentate ligandsand their metal complexes with Fe(II), Zn(II), Co(II), and Cu(II).The complexes exhibited strong catalytic activity in catechol oxidation, mimicking natural enzymes, and demonstrated significant antimicrobial effects, especially the Co(II) and Cu(II) derivatives. Structure–activity analysis revealed that metal type and ligand coordination strongly influence performance. These findings highlight the dual potential of pyrazole-metal complexes in green catalysis and therapeutic applications. Overall, this research provides a valuable foundation for developing multifunctional compounds addressing both environmental and biomedical challenges through rational design and metal-ligand optimization

REFERENCES

  1. Omidi, S.; Kakanejadifard, A. A review on biological activities of Schiff base, hydrazone, and oxime derivatives of curcumin. RSC Adv. 2020, 10, 30186-30202.
  2. Ghanghas, P.; Choudhary, A.; Kumar, D.; Poonia, K. Coordination metal complexes with Schiff bases: Useful pharmacophores with comprehensive biological applications. Inorg. Chem. Commun. 2021, 130, 108710.
  3. Sani, U.; Dailami, S.A. Synthesis, characterization, antimicrobial activity and antioxidant studies of metal(II) complexes of Schiff base derived from 2–hydroxy-1-naphthaldehyde and hydrazine monohydrate. ChemSearch J. 2015, 6, 35-41.
  4. Zhang, X.; Shen, L.Y.; Zhang, Q.L.; Yang, X.J.; Huang, Y.L.; Redshaw, C.; Xu, Hong. A simple turn-off Schiff base fluorescent sensor for copper(II) ion and its application in water analysis. Mol. 2021, 26, 1-11.
  5. Abd, Z.Z., Abbas, A.K. Metal complexes of adenine azo ligand: Synthesis, identification and study some of their applications. Iraqi J. of Sci. 2024, 65, 1212-1229.
  6. Satpati, S.; Saha, S.K.; Suhasaria, A.; Banerjee, P.; Sukul, D. Adsorption and anti-corrosion characteristics of vanillin Schiff bases on mild steel in 1 M HCl: Experimental and theoretical study. RSC Adv. 2020, 16, 9258-9273.
  7. Muslah, S.I.M., Alabdali, A.J., Shaalan, N.D. Synthesis of binuclear complexes of Cu(II), Ni(II) and Cr(III) metal ions derived from di-imine compound as biterminal binding site ligand. ANJS 2020, 23, 19-28.
  8. Brum, O.C.; França, T.C.; LaPlante, S.R.; Villar, J.D. Synthesis and biological activity of hydrazones and derivatives: A review. Mini-Rev. Med. Chem. 2020, 20, 342-368.
  9. Hany, S.I.; Soha, R.; Abdelhadi; Hatem, A.A. Hydrolysis and hydrazinolysis of isatin-based ald- and ketazines. J. Chem. 2015, 2015, 1-6.
  10. Ibraheem, H.; Al-Majedy, Y.; Al-Amiery, A. 4-Thiadiazole: The biological activities. Syst. Rev. Pharm. 2018, 9, 36-40
  11. ElAlami, M.S.I.; El Amrani, M.A.; Agbossou-Niedercorn, F.; Suisse, I.; Mortreux, A. Chiral Ligands Derived from Monoterpenes: Application in the Synthesis of Optically Pure Secondary Alcohols via Asymmetric Catalysis. Chem. Eur. J. 2015, 21, 1398–1413. [CrossRef]
  12. Blaser, H.U. The Chiral Pool as a Source of Enantioselective Catalysts and Auxiliaries. Chem. Rev. 1992, 92, 935–952. [CrossRef]
  13. Larionov, S.V. Metal Complexes with New Types of Chiral Ligands Based on Natural Terpenes. Russ. J. Coord. Chem. 2012, 38, 1–23. [CrossRef]
  14. Zalevskaya, O.A.; Gur’eva, Y.A.; Kutchin, A.V. Terpene Ligands in the Coordination Chemistry: Synthesis of Metal Complexes, Stereochemistry, Catalytic Properties and Biological Activity. Russ. Chem. Rev. 2019, 88, 979–1012. [CrossRef]
  15. Ciriminna, R.; Lomeli-Rodriguez, M.; Demma Carà, P.; Lopez-Sanchez, J.A.; Pagliaro, M. Limonene: A Versatile Chemical of the Bioeconomy. Chem. Commun. 2014, 50, 15288–15296. [CrossRef] [PubMed]
  16. Gowenlock, B.G.; Richter-Addo, G.B. Preparations of C-Nitroso Compounds. Chem. Rev. 2004, 104, 3315–3340. [CrossRef] [PubMed]
  17. Tkachev, A.V.; Rukavishnikov, A.V.; Chibiryaev, A.M.; Denisov, A.Y.; Gatilov, Y.V.; Bagryanskaya, I.Y. Stereochemistry of α-Amino Oximes From the Monoterpene Hydrocarbons Car-3-Ene, Limonene and α-Pinene. Aust. J. Chem. 1992, 45, 1077–1086. [CrossRef]
  18. Carman,R.M.; Mathew, P.C.; Saraswathi, G.N.; Singaram, B.; Verghese, J. Amino Oximes from P-Menth-1-Ene, Limonene and α-Pinene. Aust. J. Chem. 1977, 30, 1323–1335. [CrossRef]
  19. Brecknell, D.; Carman, R.; Singaram, B.; Verghese, J. Sylvestrene Nitrosochloride and Derived Amino Oximes. Aust. J. Chem. 1977, 30, 195. [CrossRef]
  20. Kokina, T.E.; Glinskaya, L.A.; Klevtsova, R.F.; Boguslavskii, E.G.; Sheludyakova, L.A.; Bisyaev, S.N.; Tkachev, A.V.; Larionov, S.V. Synthesis and Properties of the Cu(II) Complexes with Chiral Bis{(E)-[(1S,4R)-?7,8-1-Amino-2-Para Menthalidene]Aminohydroxy}methane (L—A Derivative of Natural Terpenoid (R)-(+)-Limonene). Crystal Structure of the [Cu(L)(µ-Cl)CuCl3] · Iso-PrOH Solvate. Russ. J. Coord. Chem. 2009, 35, 200–209.
  21. M. Reutlinger, C. P. Koch, D. Reker, N. Todoroff, P. Schneider, T. Rodrigues and G. Schneider, Chemically Advanced Template Search (CATS) for Scaffold-Hopping and Prospective Target Prediction for ‘Orphan’ Molecules, Mol. Inf., 2013, 32(2), 133–138, DOI: 10.1002/ minf.201200141.
  22. A. Capecchi, M. Awale, D. Probst and J.-L. Reymond, PubChem and ChEMBL beyond Lipinski, Mol. Inf., 2019, 38(5), 1900016, DOI: 10.1002/minf.201900016.
  23. M. Orsi, D. Probst, P. Schwaller and J.-L. Reymond, Alchemical Analysis of FDA Approved Drugs, Digital Discovery, 2023, D3DD00039G. 2(5), 1289–1296, DOI: 10.1039/
  24. D. Rogers and M. Hahn, Extended-Connectivity Fingerprints, J. Chem. Inf. Model., 2010, 50(5), 742–754, DOI: 10.1021/ci100050t.
  25. R. E. Carhart, D. H. Smith and R. Venkataraghavan, Atom Pairs as Molecular Features in Structure-Activity Studies: De?nition and Applications, J. Chem. Inf. Comput. Sci., 1985, 25(2), 64–73, DOI: 10.1021/ci00046a002.
  26. M. Orsi and J.-L. Reymond, One Chiral Fingerprint to Find Them All, J. Cheminf., 2024, 16(1), 53, DOI: 10.1186/s13321 024-00849-6.
  27. K. Atz, F. Grisoni and G. Schneider, Geometric Deep Learning on Molecular Representations, Nat. Mach. Intell., 2021, 3(12), 1023–1032, DOI: 10.1038/s42256-021-00418-8.
  28. S. Raghunathan and U. D. Priyakumar, Molecular Representations for Machine Learning Applications in Chemistry, Int. J. Quantum Chem., 2022, 122(7), e26870, DOI: 10.1002/qua.26870.
  29. D. S. Wigh, J. M. Goodman and A. A. Lapkin, A Review of Molecular Representation in the Age of Machine Learning, Wiley Interdiscip. Rev.: Comput. Mol. Sci., 2022, 12(5), e1603, DOI: 10.1002/wcms.1603.
  30. G. M. Jones, B. Story, V. Maroulas and K. D. Vogiatzis, Molecular Representations for Machine Learning, American Chemical Society, Washington, DC, USA, 2023, DOI: 10.1021/acsinfocus.7e7006.
  31. Karmakar, I., Mandal, S. and Mitra, A., 2015. Evaluation of antimicrobial and insect repellent properties of two novel Zinc (II), and Nickel (II) complexes containing a tetradentate Schiff Base. Journal of Integrated Science and Technology, 3(2), pp.60- 67.https://doi.org/10.3390%2Fantibiotics12111634
  32. Sampal, S.N., Thakur, S.V., Rajbhoj, A.S. and Gaikwad, S.T., 2018. Synthesis, characterization and antimicrobial screening of 1, 3 dione with their metal complexes. Asian J. Chem, 30, pp.398- 402.https://doi.org/10.14233/ajchem.2018.21041
  33. Guran, C., Barboiu, M., Diaconescu, P., Iluc, V., Bojin, M., Scozzafava, A. and Supuran, C.T., 1998. Synthesis and Antifungal Activity of Metal Complexes Containing Dichloro? Tetramorpholino? Cyclophosphazatriene. Metal?Based Drugs, 5(5), pp.287- 294.https://doi.org/10.1155/mbd.1998.287
  34. Kulkarni, A.D., Patil, S.A. and Badami, P.S., 2009. Electrochemical properties of some transition metal complexes: synthesis, characterization and in-vitro antimicrobial studies of Co (II), Ni (II), Cu (II), Mn (II) and Fe (III) complexes. International Journal of Electrochemical Science, 4(5), pp.717-729.https://doi.org/10.1016/S1452-3981(23)15177-7
  35. Saif, M., El-Shafiy, H.F., Mashaly, M.M., Eid, M.F., Nabeel, A.I. and Fouad, R., 2016. Synthesis, characterization, and antioxidant/cytotoxic activity of new chromone Schiff base nano-complexes of Zn (II), Cu (II), Ni (II) and Co (II). Journal of Molecular Structure, 1118, pp.75- 82.https://doi.org/10.1016/j.molstruc.2016.03.060
  36. Nagesh, G.Y., Raj, K.M. and Mruthyunjayaswamy, B.H.M., 2015. Synthesis, characterization, thermal study and biological evaluation of Cu (II), Co (II), Ni (II) and Zn (II) complexes of Schiff base ligand containing thiazole moiety. Journal of molecular structure, 1079, pp.423- 432.https://doi.org/10.1016/j.molstruc.2014.09.013
  37. Nuss, H. and Jansen, M., 2009. Synthesis and Crystal Structure of M ([12] crown-4) 2O3· 1.5 NH3 with M= K, Rb. Zeitschrift für Naturforschung B, 64(11-12), pp.1325- 1328.https://doi.org/10.1515/znb-2009-11-1211
  38. Tarushi, A., Kakoulidou, C., Raptopoulou, C.P., Psycharis, V., Kessissoglou, D.P., Zoi, I., Papadopoulos, A.N. and Psomas, G., 2017. Zinc complexes of diflunisal: Synthesis, characterization, structure, antioxidant activity, and in vitro and in silico study of the interaction with DNA and albumins. Journal of inorganic biochemistry, 170, pp.85- 97.https://doi.org/10.1515/znb-2009-11-1211
  39. Patel, R.H. and Hiran, B.L., 2011. Synthesis, Characterizations and Antimicrobial Activity of Metal Complexes of 2?(2 Furanylmethylaminocarbonyl) benzoic Acid. Journal of Chemistry, 8(1), pp.443-448.https://doi.org/10.1155/2011/728069
  40. Binzet, G., Arslan, H., Flörke, U., Külcü, N., & Duran, N. (n.d.). Synthesis, characterization and antimicrobial activities of transition metal complexes of of a N,N -dialkyl- bishydrazone N′ ligand. -(2- chlorobenzoy

Reference

  1. Omidi, S.; Kakanejadifard, A. A review on biological activities of Schiff base, hydrazone, and oxime derivatives of curcumin. RSC Adv. 2020, 10, 30186-30202.
  2. Ghanghas, P.; Choudhary, A.; Kumar, D.; Poonia, K. Coordination metal complexes with Schiff bases: Useful pharmacophores with comprehensive biological applications. Inorg. Chem. Commun. 2021, 130, 108710.
  3. Sani, U.; Dailami, S.A. Synthesis, characterization, antimicrobial activity and antioxidant studies of metal(II) complexes of Schiff base derived from 2–hydroxy-1-naphthaldehyde and hydrazine monohydrate. ChemSearch J. 2015, 6, 35-41.
  4. Zhang, X.; Shen, L.Y.; Zhang, Q.L.; Yang, X.J.; Huang, Y.L.; Redshaw, C.; Xu, Hong. A simple turn-off Schiff base fluorescent sensor for copper(II) ion and its application in water analysis. Mol. 2021, 26, 1-11.
  5. Abd, Z.Z., Abbas, A.K. Metal complexes of adenine azo ligand: Synthesis, identification and study some of their applications. Iraqi J. of Sci. 2024, 65, 1212-1229.
  6. Satpati, S.; Saha, S.K.; Suhasaria, A.; Banerjee, P.; Sukul, D. Adsorption and anti-corrosion characteristics of vanillin Schiff bases on mild steel in 1 M HCl: Experimental and theoretical study. RSC Adv. 2020, 16, 9258-9273.
  7. Muslah, S.I.M., Alabdali, A.J., Shaalan, N.D. Synthesis of binuclear complexes of Cu(II), Ni(II) and Cr(III) metal ions derived from di-imine compound as biterminal binding site ligand. ANJS 2020, 23, 19-28.
  8. Brum, O.C.; França, T.C.; LaPlante, S.R.; Villar, J.D. Synthesis and biological activity of hydrazones and derivatives: A review. Mini-Rev. Med. Chem. 2020, 20, 342-368.
  9. Hany, S.I.; Soha, R.; Abdelhadi; Hatem, A.A. Hydrolysis and hydrazinolysis of isatin-based ald- and ketazines. J. Chem. 2015, 2015, 1-6.
  10. Ibraheem, H.; Al-Majedy, Y.; Al-Amiery, A. 4-Thiadiazole: The biological activities. Syst. Rev. Pharm. 2018, 9, 36-40
  11. ElAlami, M.S.I.; El Amrani, M.A.; Agbossou-Niedercorn, F.; Suisse, I.; Mortreux, A. Chiral Ligands Derived from Monoterpenes: Application in the Synthesis of Optically Pure Secondary Alcohols via Asymmetric Catalysis. Chem. Eur. J. 2015, 21, 1398–1413. [CrossRef]
  12. Blaser, H.U. The Chiral Pool as a Source of Enantioselective Catalysts and Auxiliaries. Chem. Rev. 1992, 92, 935–952. [CrossRef]
  13. Larionov, S.V. Metal Complexes with New Types of Chiral Ligands Based on Natural Terpenes. Russ. J. Coord. Chem. 2012, 38, 1–23. [CrossRef]
  14. Zalevskaya, O.A.; Gur’eva, Y.A.; Kutchin, A.V. Terpene Ligands in the Coordination Chemistry: Synthesis of Metal Complexes, Stereochemistry, Catalytic Properties and Biological Activity. Russ. Chem. Rev. 2019, 88, 979–1012. [CrossRef]
  15. Ciriminna, R.; Lomeli-Rodriguez, M.; Demma Carà, P.; Lopez-Sanchez, J.A.; Pagliaro, M. Limonene: A Versatile Chemical of the Bioeconomy. Chem. Commun. 2014, 50, 15288–15296. [CrossRef] [PubMed]
  16. Gowenlock, B.G.; Richter-Addo, G.B. Preparations of C-Nitroso Compounds. Chem. Rev. 2004, 104, 3315–3340. [CrossRef] [PubMed]
  17. Tkachev, A.V.; Rukavishnikov, A.V.; Chibiryaev, A.M.; Denisov, A.Y.; Gatilov, Y.V.; Bagryanskaya, I.Y. Stereochemistry of α-Amino Oximes From the Monoterpene Hydrocarbons Car-3-Ene, Limonene and α-Pinene. Aust. J. Chem. 1992, 45, 1077–1086. [CrossRef]
  18. Carman,R.M.; Mathew, P.C.; Saraswathi, G.N.; Singaram, B.; Verghese, J. Amino Oximes from P-Menth-1-Ene, Limonene and α-Pinene. Aust. J. Chem. 1977, 30, 1323–1335. [CrossRef]
  19. Brecknell, D.; Carman, R.; Singaram, B.; Verghese, J. Sylvestrene Nitrosochloride and Derived Amino Oximes. Aust. J. Chem. 1977, 30, 195. [CrossRef]
  20. Kokina, T.E.; Glinskaya, L.A.; Klevtsova, R.F.; Boguslavskii, E.G.; Sheludyakova, L.A.; Bisyaev, S.N.; Tkachev, A.V.; Larionov, S.V. Synthesis and Properties of the Cu(II) Complexes with Chiral Bis{(E)-[(1S,4R)-?7,8-1-Amino-2-Para Menthalidene]Aminohydroxy}methane (L—A Derivative of Natural Terpenoid (R)-(+)-Limonene). Crystal Structure of the [Cu(L)(µ-Cl)CuCl3] · Iso-PrOH Solvate. Russ. J. Coord. Chem. 2009, 35, 200–209.
  21. M. Reutlinger, C. P. Koch, D. Reker, N. Todoroff, P. Schneider, T. Rodrigues and G. Schneider, Chemically Advanced Template Search (CATS) for Scaffold-Hopping and Prospective Target Prediction for ‘Orphan’ Molecules, Mol. Inf., 2013, 32(2), 133–138, DOI: 10.1002/ minf.201200141.
  22. A. Capecchi, M. Awale, D. Probst and J.-L. Reymond, PubChem and ChEMBL beyond Lipinski, Mol. Inf., 2019, 38(5), 1900016, DOI: 10.1002/minf.201900016.
  23. M. Orsi, D. Probst, P. Schwaller and J.-L. Reymond, Alchemical Analysis of FDA Approved Drugs, Digital Discovery, 2023, D3DD00039G. 2(5), 1289–1296, DOI: 10.1039/
  24. D. Rogers and M. Hahn, Extended-Connectivity Fingerprints, J. Chem. Inf. Model., 2010, 50(5), 742–754, DOI: 10.1021/ci100050t.
  25. R. E. Carhart, D. H. Smith and R. Venkataraghavan, Atom Pairs as Molecular Features in Structure-Activity Studies: De?nition and Applications, J. Chem. Inf. Comput. Sci., 1985, 25(2), 64–73, DOI: 10.1021/ci00046a002.
  26. M. Orsi and J.-L. Reymond, One Chiral Fingerprint to Find Them All, J. Cheminf., 2024, 16(1), 53, DOI: 10.1186/s13321 024-00849-6.
  27. K. Atz, F. Grisoni and G. Schneider, Geometric Deep Learning on Molecular Representations, Nat. Mach. Intell., 2021, 3(12), 1023–1032, DOI: 10.1038/s42256-021-00418-8.
  28. S. Raghunathan and U. D. Priyakumar, Molecular Representations for Machine Learning Applications in Chemistry, Int. J. Quantum Chem., 2022, 122(7), e26870, DOI: 10.1002/qua.26870.
  29. D. S. Wigh, J. M. Goodman and A. A. Lapkin, A Review of Molecular Representation in the Age of Machine Learning, Wiley Interdiscip. Rev.: Comput. Mol. Sci., 2022, 12(5), e1603, DOI: 10.1002/wcms.1603.
  30. G. M. Jones, B. Story, V. Maroulas and K. D. Vogiatzis, Molecular Representations for Machine Learning, American Chemical Society, Washington, DC, USA, 2023, DOI: 10.1021/acsinfocus.7e7006.
  31. Karmakar, I., Mandal, S. and Mitra, A., 2015. Evaluation of antimicrobial and insect repellent properties of two novel Zinc (II), and Nickel (II) complexes containing a tetradentate Schiff Base. Journal of Integrated Science and Technology, 3(2), pp.60- 67.https://doi.org/10.3390%2Fantibiotics12111634
  32. Sampal, S.N., Thakur, S.V., Rajbhoj, A.S. and Gaikwad, S.T., 2018. Synthesis, characterization and antimicrobial screening of 1, 3 dione with their metal complexes. Asian J. Chem, 30, pp.398- 402.https://doi.org/10.14233/ajchem.2018.21041
  33. Guran, C., Barboiu, M., Diaconescu, P., Iluc, V., Bojin, M., Scozzafava, A. and Supuran, C.T., 1998. Synthesis and Antifungal Activity of Metal Complexes Containing Dichloro? Tetramorpholino? Cyclophosphazatriene. Metal?Based Drugs, 5(5), pp.287- 294.https://doi.org/10.1155/mbd.1998.287
  34. Kulkarni, A.D., Patil, S.A. and Badami, P.S., 2009. Electrochemical properties of some transition metal complexes: synthesis, characterization and in-vitro antimicrobial studies of Co (II), Ni (II), Cu (II), Mn (II) and Fe (III) complexes. International Journal of Electrochemical Science, 4(5), pp.717-729.https://doi.org/10.1016/S1452-3981(23)15177-7
  35. Saif, M., El-Shafiy, H.F., Mashaly, M.M., Eid, M.F., Nabeel, A.I. and Fouad, R., 2016. Synthesis, characterization, and antioxidant/cytotoxic activity of new chromone Schiff base nano-complexes of Zn (II), Cu (II), Ni (II) and Co (II). Journal of Molecular Structure, 1118, pp.75- 82.https://doi.org/10.1016/j.molstruc.2016.03.060
  36. Nagesh, G.Y., Raj, K.M. and Mruthyunjayaswamy, B.H.M., 2015. Synthesis, characterization, thermal study and biological evaluation of Cu (II), Co (II), Ni (II) and Zn (II) complexes of Schiff base ligand containing thiazole moiety. Journal of molecular structure, 1079, pp.423- 432.https://doi.org/10.1016/j.molstruc.2014.09.013
  37. Nuss, H. and Jansen, M., 2009. Synthesis and Crystal Structure of M ([12] crown-4) 2O3· 1.5 NH3 with M= K, Rb. Zeitschrift für Naturforschung B, 64(11-12), pp.1325- 1328.https://doi.org/10.1515/znb-2009-11-1211
  38. Tarushi, A., Kakoulidou, C., Raptopoulou, C.P., Psycharis, V., Kessissoglou, D.P., Zoi, I., Papadopoulos, A.N. and Psomas, G., 2017. Zinc complexes of diflunisal: Synthesis, characterization, structure, antioxidant activity, and in vitro and in silico study of the interaction with DNA and albumins. Journal of inorganic biochemistry, 170, pp.85- 97.https://doi.org/10.1515/znb-2009-11-1211
  39. Patel, R.H. and Hiran, B.L., 2011. Synthesis, Characterizations and Antimicrobial Activity of Metal Complexes of 2?(2 Furanylmethylaminocarbonyl) benzoic Acid. Journal of Chemistry, 8(1), pp.443-448.https://doi.org/10.1155/2011/728069
  40. Binzet, G., Arslan, H., Flörke, U., Külcü, N., & Duran, N. (n.d.). Synthesis, characterization and antimicrobial activities of transition metal complexes of of a N,N -dialkyl- bishydrazone N′ ligand. -(2- chlorobenzoy

Photo
Mohit Mohbe
Corresponding author

G.H Raisoni University, Saikheda, Pandhurna, Madhya Pradesh, India 480337

Photo
Ishant Dhole
Co-author

G.H Raisoni University, Saikheda, Pandhurna, Madhya Pradesh, India 480337

Photo
Prafull Hire
Co-author

G.H Raisoni University, Saikheda, Pandhurna, Madhya Pradesh, India 480337

Mohit Mohbe, Ishant Dhole, Prafull Hire, A Comprehensive Review on Metal Complexes Structure, Properties, and Applications, Int. J. of Pharm. Sci., 2026, Vol 4, Issue 2, 1539-1550. https://doi.org/10.5281/zenodo.18595834

More related articles
Global Introduction of Artificial Intelligence in ...
Rajat Gupta, Sachin Gupta, Vanshika Chaurasiya, Aditya Srivastav,...
Formulation And Evaluation of Polyherbal Antidiabe...
Wattamwar Pragati, Gangthade Gayatri, Dongare Pranita, Gavhane An...
Pharmacological Approaches To Combatting Antimicro...
Prasad Katare, Sourav Singh , Aryan Niraj Kumar , Nangare Mahesh ...
Formulation and Evaluation of Herbal Cosmetics...
Neelam Bhagdewani, Sonali Devne, Smita Waghmare, Pratibha Shelke, Meenal Kubde, Pramod Ingale , ...
Method Development, Validation and Forced Degradation Study of Lasmiditan by HPL...
S. Yasotha, Dr. R. Manivannan, Dr. D. Kamalakannan, Vanmathi. R. L., Gowtham T., Praveen Kumar S., ...
Formulation & Evaluation of an Essential Oil-Based Gel for Mosquito Repellency a...
Vaibhavi Ghundare, Hardik Rakshe, Hemalata Dange, Bindu Rani Ram, Pramod Ingale, ...
Related Articles
Formulation And Evaluation of Moisturising Cream Containing Coriander Leaves Ext...
Mariyambi K. V., Aswathi V. V., Ismail M., Nafeesath K. P., Shahala, Shamna K., ...
Formulation And Evaluation of Transdermal Patches Containing Astragaloside ?...
Nagendra R., Suhas B. C., Siddartha H. N., Venkatesh, Hanumanthachar Joshi, ...
Adverse Drug Reactions To Anti-Hypertensive: A Hospital Survey Pharmacovigilance...
Sonal Kumbhar , Ayan Noushad Sayyad , Nilesh Chougule , ...
Global Introduction of Artificial Intelligence in the Pharmaceutical Industry ...
Rajat Gupta, Sachin Gupta, Vanshika Chaurasiya, Aditya Srivastav, Dr. Sangeeta Singh, Ashvani Kumar,...
More related articles
Global Introduction of Artificial Intelligence in the Pharmaceutical Industry ...
Rajat Gupta, Sachin Gupta, Vanshika Chaurasiya, Aditya Srivastav, Dr. Sangeeta Singh, Ashvani Kumar,...
Formulation And Evaluation of Polyherbal Antidiabetic Tablet...
Wattamwar Pragati, Gangthade Gayatri, Dongare Pranita, Gavhane Anjali, Sinde Nishigandha, ...
Pharmacological Approaches To Combatting Antimicrobial Resistance(Amr)...
Prasad Katare, Sourav Singh , Aryan Niraj Kumar , Nangare Mahesh , Mande Sandip , ...
Global Introduction of Artificial Intelligence in the Pharmaceutical Industry ...
Rajat Gupta, Sachin Gupta, Vanshika Chaurasiya, Aditya Srivastav, Dr. Sangeeta Singh, Ashvani Kumar,...
Formulation And Evaluation of Polyherbal Antidiabetic Tablet...
Wattamwar Pragati, Gangthade Gayatri, Dongare Pranita, Gavhane Anjali, Sinde Nishigandha, ...
Pharmacological Approaches To Combatting Antimicrobial Resistance(Amr)...
Prasad Katare, Sourav Singh , Aryan Niraj Kumar , Nangare Mahesh , Mande Sandip , ...