View Article

Abstract

The present study evaluated the antioxidant potential of synthesized Benzimidazole derivatives using the DPPH radical scavenging assay. Among the tested compounds, MSB 3 demonstrated the highest antioxidant activity with 75.74% inhibition. All showing promising radical scavenging capacity when compared to the standard compound (83.22%). Compounds such as MSB 2, showed moderate activity 61.53%, while MSB 1 (55.92%) exhibited relatively lower scavenging effects. The observed differences in antioxidant capacity are likely attributed to the electronic and steric influences of various substituents on the Benzimidazole core structure. These findings suggest that structural modifications significantly impact free radical scavenging efficiency. Overall, compounds MSB 2, and 3 emerged as potent antioxidant candidates, warranting further investigation for therapeutic application. The results are detailed in Table 01 and represented graphically in Figure 09. This study highlights the potential of Benzimidazole derivatives as effective antioxidants for future drug development.

Keywords

Antioxidant, DPPH, Benzimidazole, Microwave etc.

Introduction

Benzimidazole as an Antidiabetic Agent: Benzimidazole is a privileged heterocyclic scaffold with broad therapeutic applications, including potent Antidiabetic activity.1 Several Benzimidazole derivatives have shown significant hypoglycemic effects through multiple mechanisms:

  • Glucokinase (GK) activation: Enhances hepatic glucose uptake and insulin secretion.α-Glucosidase inhibition: Delays carbohydrate digestion and glucose absorption, lowering postprandial blood glucose. 2-3
  • Glycosidase targeting: Inhibits key enzymes involved in carbohydrate metabolism. Improved glucose tolerance: Benzimidazole compounds have demonstrated antihyperglycemic effects in in vivo models (e.g., starch-induced hyperglycemia in rats). The structural flexibility of Benzimidazole allows substitutions at key positions (N1, C2, C5, C6), which can modulate biological activity and selectivity. Its antioxidant properties also help mitigate oxidative stress, a major contributor to diabetic complications. These characteristics make Benzimidazole derivatives promising candidates for developing novel Antidiabetic therapies. 4-6

Figure no. 01: Structure and Nature of Benzimidazole.

Figure no. 02: Structure-based chemical activity of Benzimidazole

Figure no. 03: Biological activity and Mode of action for antioxidant properties of Benzimidazole.

Figure no. 04: Oxidative stress–mediated pathogenesis of diabetic neuropathy induced by hyperglycemia and Mechanism of action of Antidiabetic drugs

MATERIALS AND METHODS: 7-10

Materials: All reagents and chemicals used in this study were of analytical grade and utilized without further purification. O-Phenylenediamine (98%), sodium hydroxide (NaOH, 98%), formic acid (HCOOH, 90%), and zinc acetate dihydrate (Zn (CH?COO) ?·2H?O, 98%) were procured from Loba Chemie Pvt. Ltd., Mumbai, India. Additional reagents included oxalic acid dihydrate (99%), acetic acid (90%), acetyl chloride (90%), benzoyl chloride (90%), and thioglycolic acid (98%). Other materials used were potassium permanganate (KMnO?, 99%), para-amino benzoic acid (PABA, 98%), general carboxylic acids (≥90%), salicylic acid (99%), cinnamic acid (98%), and benzoic acid (99%). Ethanol (EtOH, 99%), ammonium chloride (NH?Cl, 99%), and DPPH (2, 2-diphenyl-1-picrylhydrazyl, 98%) were also obtained from Loba Chemie. All solvents and reagents were used as received.

Procedure: Microwave-assisted organic synthesis (MAOS) was employed for the preparation of Benzimidazole derivatives. All reactions were carried out in standard borosilicate round-bottom flasks, and irradiations were performed in a domestic microwave oven at 595 W. Reaction progress was monitored visually and by precipitation behavior upon basification. Crude products were filtered, washed with ice-cold water, and purified by recrystallization from distilled water in the presence of a pinch of decolorizing charcoal.

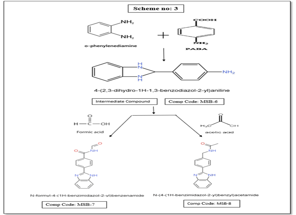
Synthesis of Benzimidazole Derivatives: Synthesis of 4-(2, 3-dihydro-1H-1,3-benzodiazole-2-yl) aniline: A mixture of O-Phenylenediamine (8.1 g) and para-amino benzoic acid (4.8 g) was taken in a round-bottom flask, and phosphoric acid (1 mL) was added as a catalyst. The reaction mixture was subjected to microwave irradiation at 595 W for 7 minutes. After completion, the mixture was cooled to room temperature and neutralized with 10% NaOH solution until a slightly alkaline pH was achieved. The resulting precipitate was filtered, washed thoroughly with ice-cold water, and recrystallized from distilled water using a small quantity of activated charcoal. The purified product was dried and preserved for further synthesis.

Figure no. 05: Synthesis of 4-(2, 3-dihydro-1H-1, 3-benzodiazole-2-yl) aniline by treating it with PABA in presence of Phosphoric acid

Synthesis of N-formyl-4-(1H-benzimidazole-2-yl) Benzenamide: To a clean round-bottom flask, 4-(2, 3-dihydro-1H-1, 3-benzodiazole-2-yl) aniline (8.1 g) was added along with formic acid (4.8 mL). The reaction mixture was exposed to microwave irradiation at 595 W for 7 minutes. After cooling to room temperature, 10% NaOH solution was gradually added with stirring to neutralize the acidic medium and promote product precipitation. The solid obtained was filtered, washed with chilled water, and recrystallized in the presence of decolorizing charcoal. The final product was collected and dried for further use.

Figure no. 06: Synthesis of N-formyl-4-(1H-benzimidazole-2-yl) Benzenamide from the intermediate using formic acid.

Synthesis of N-(4-(1H-benzimidazole-2-yl) Benzyl) Acetamide: In a similar procedure, 4-(2, 3-dihydro-1H-1, 3-benzodiazole-2-yl) aniline (8.1 g) was treated with acetic acid (4.8 mL) in a round-bottom flask. The reaction was irradiated in a microwave at 595 W for 7 minutes. Upon completion, the mixture was allowed to cool, and 10% sodium hydroxide solution was added dropwise until the precipitation of the product was observed. The solid was collected by vacuum filtration, washed with cold water, and recrystallized with activated charcoal for purity enhancement. The final product was dried and stored.

Figure no. 07: Synthesis of N-(4-(1H-benzimidazole-2-yl) Benzyl) Acetamide using acetic acid.

Reaction Scheme:

Figure no. 08: Reaction scheme illustrating the synthesis of MSB-7 and MSB-8 Benzimidazole derivatives via microwave-assisted reactions.

RESULTS:

Antioxidant Activity (DPPH Assay): The antioxidant potential of synthesized Benzimidazole derivatives was assessed using the DPPH radical scavenging assay. The results showed that MSB 3 exhibited the highest activity (75.74%), all showing strong activity comparable to the standard (83.22%). Compounds MSB 2 (61.53%) also demonstrated notable activity. while MSB 1 displayed moderate activity (55.92%). The variation in activity is likely influenced by the electronic and steric effects of substituents on the Benzimidazole ring. These findings highlight  MSB 1, 2, and 3 as encouraging antioxidant candidates for further development the result shown in figure no 09 and table no 01.

Figure no. 09: % DPPH radical scavenging activity of resultant compounds.

Table no. 01: % DPPH radical scavenging activity of synthesized compounds (Benzimidazole derivatives). 11-12

Sr. no

Compound Mg/ml

ABS(OD)

Mean

% DPPH radical scavenging

1.

 

Control

1.604

 

1.604

-

1.604

1.604

2.

 

STD

0.268

 

0.269

83.22

0.269

0.272

3.

 

MSB 1

0.706

 

0.707

55.92

0.708

0.709

4.

 

MSB 3

0.66

 

0.617

61.53

0.594

0.598

5.

 

MSB 9

0.388

 

0.389

75.74

0.389

0.39

Discussion:

The DPPH assay revealed varying antioxidant activities among the synthesized Benzimidazole derivatives, influenced by the electronic and steric properties of their substituents. Compounds MSB 3 showed the highest scavenging activity (75.74%), approaching the standard (83.22%), and likely due to favorable electron-donating groups. Moderate activity was observed in MSB 2 while MSB 1 showed the least. Overall, MSB 1, 2 and 3 emerged as promising candidates for further antioxidant-related therapeutic development.

CONCLUSION:

In conclusion, the study successfully synthesized novel 1H-1, 3-benzimidazole derivatives using both conventional and microwave-assisted methods, with the latter offering a greener and faster alternative. Structural characterization via IR confirmed successful modifications. Antioxidant evaluation revealed that electron-donating substituents enhanced activity, suggesting the potential of these derivatives in treating oxidative stress-related and antidiabetic conditions.

ACKNOWLEDGEMENT

The authors sincerely acknowledge the invaluable guidance and support of Dr. Chandrakant P. Suryawanshi from the Department of Pharmaceutical Chemistry, and Dr. R. D. Wagh, Principal of DCS’s ARA College of Pharmacy, Nagaon, Dhule. We also extend our heartfelt thanks to the laboratory staff for their technical assistance and cooperation throughout the course of this project.

Ethical Approval: This research article does not involve any studies or experiments conducted on animals.

Conflict of Interest: The authors declare that there are no conflicts of interest related to the publication of this research article.

Funding:  Not Applicable.

REFERENCES

  1. Mohammed LA, Farhan MA, Dadoosh SA, Alheety MA, Majeed AH, Mahmood AS, Mahmoud ZH. A review on benzimidazole heterocyclic compounds: Synthesis and their medicinal activity applications. SynOpen. 2023 Dec; 7(04):652-73.
  2. Kaushik P, Rawat BS, Kumar R. Various approaches for the synthesis of benzimidazole derivatives and their catalytic application for organic transformation. Applied Chemical Engineering. 2023; 6(2):2003.
  3. Walia R, Hedaitullah M, Naaz SF, Iqbal K, Lamba HS. Benzimidazole derivatives–an overview. Int. J. Res. Pharm. Chem. 2011; 1(3):565-74.
  4. Asif M. Green synthesis of benzimidazole derivatives: an overview on green chemistry and its applications. Chemical Methodologies. 2019; 3(6):620-31.
  5. Haider K, Shrivastava N, Pathak A, Dewangan RP, Yahya S, Yar MS. Recent advances and SAR study of 2-substituted benzothiazole scaffold based potent chemotherapeutic agents. Results in Chemistry. 2022 Jan 1; 4:100258.
  6. Thatikayala M, Garige AK, Gadegoni H. Benzimidazole: Pharmacological. Benzimidazole. 2022 Jul 13:55.
  7. Rudrapal M, Mojammil M, Farooque A, Ansari M, de Oliveira AM, Khan J. Synthesis, toxicity and antioxidant activity of phenolic benzimidazole derivatives: In vitro and in silico studies. Chemical Physics Impact. 2025 Jun 1; 10:100875. G. L. G. K. Donald Pavia, Introduction to Spectroscopy, 3rd ed. Thomson Learning, 2001.
  8. Silverstein RM, Bassler GC. Spectrometric identification of organic compounds. Journal of Chemical Education. 1962 Nov; 39(11):546.Barbara. Stuart, Infrared spectroscopy: fundamentals and applications. J. Wiley, 2005.
  9. Haque RA, Iqbal MA, Khadeer Ahamed MB, Majid AA, Abdul Hameed ZA. Design, synthesis and structural studies of meta-xylyl linked bis-benzimidazolium salts: potential anticancer agents against ‘human colon cancer’. Chemistry Central Journal. 2012 Dec; 6:1-4.
  10. Waghmare PR, Sonawane SD, Bais SK. International Journal of Pharmacy and Herbal Technology (Online).
  11. Mohan S, Sundaraganesan N, Mink JJ. FTIR and Raman studies on benzimidazole. Spectrochimica Acta Part A: Molecular Spectroscopy. 1991 Jan 1; 47(8):1111-5.
  12. Charde M, Shukla A, Bukhariya V, Mehta J, Chakole R. Significance of Microwave?Assisted Technique in Green Chemistry. ChemInform. 2013 Feb 19; 44(8).

Reference

  1. Mohammed LA, Farhan MA, Dadoosh SA, Alheety MA, Majeed AH, Mahmood AS, Mahmoud ZH. A review on benzimidazole heterocyclic compounds: Synthesis and their medicinal activity applications. SynOpen. 2023 Dec; 7(04):652-73.
  2. Kaushik P, Rawat BS, Kumar R. Various approaches for the synthesis of benzimidazole derivatives and their catalytic application for organic transformation. Applied Chemical Engineering. 2023; 6(2):2003.
  3. Walia R, Hedaitullah M, Naaz SF, Iqbal K, Lamba HS. Benzimidazole derivatives–an overview. Int. J. Res. Pharm. Chem. 2011; 1(3):565-74.
  4. Asif M. Green synthesis of benzimidazole derivatives: an overview on green chemistry and its applications. Chemical Methodologies. 2019; 3(6):620-31.
  5. Haider K, Shrivastava N, Pathak A, Dewangan RP, Yahya S, Yar MS. Recent advances and SAR study of 2-substituted benzothiazole scaffold based potent chemotherapeutic agents. Results in Chemistry. 2022 Jan 1; 4:100258.
  6. Thatikayala M, Garige AK, Gadegoni H. Benzimidazole: Pharmacological. Benzimidazole. 2022 Jul 13:55.
  7. Rudrapal M, Mojammil M, Farooque A, Ansari M, de Oliveira AM, Khan J. Synthesis, toxicity and antioxidant activity of phenolic benzimidazole derivatives: In vitro and in silico studies. Chemical Physics Impact. 2025 Jun 1; 10:100875. G. L. G. K. Donald Pavia, Introduction to Spectroscopy, 3rd ed. Thomson Learning, 2001.
  8. Silverstein RM, Bassler GC. Spectrometric identification of organic compounds. Journal of Chemical Education. 1962 Nov; 39(11):546.Barbara. Stuart, Infrared spectroscopy: fundamentals and applications. J. Wiley, 2005.
  9. Haque RA, Iqbal MA, Khadeer Ahamed MB, Majid AA, Abdul Hameed ZA. Design, synthesis and structural studies of meta-xylyl linked bis-benzimidazolium salts: potential anticancer agents against ‘human colon cancer’. Chemistry Central Journal. 2012 Dec; 6:1-4.
  10. Waghmare PR, Sonawane SD, Bais SK. International Journal of Pharmacy and Herbal Technology (Online).
  11. Mohan S, Sundaraganesan N, Mink JJ. FTIR and Raman studies on benzimidazole. Spectrochimica Acta Part A: Molecular Spectroscopy. 1991 Jan 1; 47(8):1111-5.
  12. Charde M, Shukla A, Bukhariya V, Mehta J, Chakole R. Significance of Microwave?Assisted Technique in Green Chemistry. ChemInform. 2013 Feb 19; 44(8).

Photo
Meghna Birari
Corresponding author

DCS’s ARA College of Pharmacy, Nagaon, Dhule. 424005.

Photo
Dr. Chandrakant Suryawanshi
Co-author

DCS’s ARA College of Pharmacy, Nagaon, Dhule. 424005.

Photo
Dr. Rajendra Wagh
Co-author

DCS’s ARA College of Pharmacy, Nagaon, Dhule. 424005.

Meghna Birari, Dr. Chandrakant Suryawanshi, Dr. Rajendra Wagh, Synthesis and Evaluation of 1H-1, 3-Benzimidazole Derivatives as Potential Antidiabetic and Antioxidant Agents, Int. J. of Pharm. Sci., 2025, Vol 3, Issue 7, 508-514. https://doi.org/10.5281/zenodo.15798726

More related articles
A Review On Polypropylene Microplastics and Respir...
Nikita Wankhade , Dr. Vivek Paithankar, Dr. Anjali Wankhade, J. V...
A Review On The Role of Angiotensin Receptor-Nepri...
TUPE CHAITANYA KHANDERAO , Kisshor Vasant Otarri , Ajay Kale , ...
Recent Trends in The Diagnosis and Pharmacotherapy of Stroke...
Jayshri Sawarkar , Onkar Ramanshetti , Shivani Rathod , Yogesh Shendage , Dr. Ashok Giri, ...
Formulation and Evaluation of Polyherbal Antidiabetic tablet ...
Praveen Kumar Sahu, Naveen Kumar, Gyanesh Kumar Sahu, Shuchita Wamankar, Dr. Chanchal Deep Kaur, ...
Related Articles
Evaluation Of Anti-Parkinsonian Effect Of Ethanolic Leaf Extract Of Allium, Jacq...
Adiba Afreen, Shaik Mohd Khasim, Saniya Zainab, Shaik Shahnaz Begum, Aman Khan, Mohd Ajaz Kaiser, Ka...
Assessment of Adverse Drug Reactions to NSAIDs: A Hospital Survey ...
Digvijay Dalavi, Sonal Kumbhar, Nilesh Chougule, ...
A Review on Synergistic Anti-Diabetic Activity of Moringa oleifera Leaves, Zingi...
Shweta Ram , Laxmi sahu, Dr. Gyanesh Kumar Sahu, Suchita Wamankar, ...
An Overview of the Silver Nanoparticles: Synthesis Methods, Characterization Tec...
K. Nikitha, K. Jyothsna, K. Sai Seetha Lakshmi Harika, ...
A Review On Polypropylene Microplastics and Respiratory Toxicity...
Nikita Wankhade , Dr. Vivek Paithankar, Dr. Anjali Wankhade, J. V. Vyas, ...
More related articles
A Review On Polypropylene Microplastics and Respiratory Toxicity...
Nikita Wankhade , Dr. Vivek Paithankar, Dr. Anjali Wankhade, J. V. Vyas, ...
A Review On The Role of Angiotensin Receptor-Neprilysin Inhibitors in Heart Fail...
TUPE CHAITANYA KHANDERAO , Kisshor Vasant Otarri , Ajay Kale , ...
A Review On Polypropylene Microplastics and Respiratory Toxicity...
Nikita Wankhade , Dr. Vivek Paithankar, Dr. Anjali Wankhade, J. V. Vyas, ...
A Review On The Role of Angiotensin Receptor-Neprilysin Inhibitors in Heart Fail...
TUPE CHAITANYA KHANDERAO , Kisshor Vasant Otarri , Ajay Kale , ...