View Article

Abstract

Oxazolone is a versatile heterocyclic compound with significant applications in organic synthesis, pharmaceuticals, and immunology. This review provides a comprehensive analysis of its chemical properties, synthesis strategies, and biological activities. Oxazolone derivatives have been widely explored for their roles as intermediates in peptide coupling, drug design, and materials science. Additionally, oxazolone is a well-established hapten used in immunological studies, particularly in models of allergic contact dermatitis and colitis. Recent advancements in the functionalization and application of oxazolone derivatives have expanded their utility in medicinal chemistry and materials research. This article highlights key developments in oxazolone chemistry, its role in disease models, and emerging trends in its biomedical applications. In recent years, the structural flexibility and synthetic accessibility of oxazolone have made it a key scaffold for designing multifunctional molecules. Its compatibility with various functional groups allows for diverse modifications, enhancing its relevance in developing targeted therapeutic agents. Furthermore, its reactivity has been exploited in generating libraries of bioactive molecules for high-throughput screening. The increasing interest in oxazolone-based systems reflects their potential to address complex challenges in drug development and biomolecular engineering. Continued exploration of these compounds is expected to open new directions in both academic and industrial research, underscoring their enduring scientific and practical value.

Keywords

Oxazol-5(4H)-one, Bioactive heterocycle, Lactone ring compound, Oxazolone derivatives, Aromatic heterocycle, Microwave-assisted heterocycle

Introduction

Compounds that contain atoms of at least two different elements (S, N, O) and exist in ring structure are called heterocyclic compounds1. Azlactones also known as oxazolone are 5-membered heterocycles which contain 2 oxygen atoms with 1 nitrogen2-5. The structural framework of azlactones was first identified and designated by Erlenmeyer1. Azlactones exist in five different isomeric forms, which vary based on the location of the carbonyl group (C=O) and the position of the double bond (C=C) within the molecule, most commonly – studied being the Oxazol-5position of the carbonyl group & the double (4H)-ones and classified into unsaturated and saturated oxazolones6. In organic synthesis, Oxazolones are considered versatile building units because of the presence of various electrophilic and pro-nucleophilic reactive sites4. These are multifunctional compounds which take part in several reactions like cycloadditions, replacement reactions, dimerization reaction, forming a variety of intermediates and chemicals like peptides8, amino acids7, 5 and 6 membered polyfunctional compounds along with some heterocyclic precursors9 and photosensitive devices for proteins10 and coupling as well. Oxazolones exhibit a broad spectrum of pharmaceutical properties, including anti-diabetic, anti-cancer20,21, Anti-bacterial activity, Urease inhibition activity, Fungicidal activity, Tyrosinase inhibitory activity18, Cardioprotective activity4,22, Contact allergen, Immunomodulatory activity, Anti-inflammatory activity, Analgesic activity, Anti-angiogenic activity, Sedative, Anti-depressant, Anti-HIV, Anti-proliferative, Anti-tubercular, Anti-convulsant, Anti-microbial14-16. They possess activities such as photochemical4,11,12 and photophysical23-26 and often act as pH sensors13. In recent years, the azlactone core has been widely used in various organic reactions, gaining considerable attention from the organic synthesis community28. Additionally, over the last ten years, material sciences have seen significant advancement and recently numerous studies have begun exploring the reactivity of the Azlactone ring29-31. For instance, this heterocycle has been employed to produce various types of polymers and nano-particles32-36. In recent decades, numerous research papers have focused on the Erlenmeyer synthesis, employing various methods and catalysts. These catalysts include aluminum oxide (Al?O?)37, organic bases, supported heteropoly acids38, ytterbium triflate (Yb(OTf)?)43, calcium acetate (Ca(OAc)?)42, bismuth acetate (Bi(OAc)?)39, and phosphotungstic acid (H?PW??O??)41,42.

 

 

CHEMISTRY

Oxazolone is a derivative of the oxazole nucleus. Erlenmeyer azlactone synthesis is the general method of synthesis of oxazolone (Other methods such as The Bergmann synthesis, DCC Method (Di cyclo hexyl carbodiimide, Miscellaneous methods, etc.). The functional groups substituted at the 4 and 2 positions play a key role in the activity of oxazolone. Research indicates that a total of seventeen azlactones or oxazolones were primarily synthesized using commercially available glycine with benzoyl chloride or acetic anhydride, in the presence of anhydrous sodium acetate, under Erlenmeyer conditions along with the required aldehyde, yielding very high product amounts.

UNSATURATED

SATURATED

The activity of oxazolone depends on the functional groups substituted at the C-4 and C-2 positions. The immunosuppressive effect is significantly influenced by the substitution of a p-nitro exocyclic phenyl group at C-444. For tyrosinase inhibition, a cinnamoyl group at C-4 and particular functional groups at both C-4 and C-2 are important. The presence of an aliphatic double bond at C-4 and a phenyl ring at C-2 plays a key role in its medicinal effects45. Enhancing the electron-donating properties of the phenyl ring substituent at C-2 slows down the ring-opening reaction of oxazolone46. Exocyclic double bonds in oxazolone can function as dienophiles, and N-substituted oxazolones are involved in intermolecular Diels-Alder reactions47. Activation of the carbonyl group in unsaturated oxazolone by Lewis’s acids enhances the electrophilicity of the β-carbon48. Azlactones derived from chiral α-amino acids are optically active but easily racemize. In 5(4H)-oxazolones, nucleophiles often attack at C-2, this results in the breaking of the carbonyl-oxygen bond, leading to the formation of α-amino acids or their derivatives. These compounds, stabilized by resonance in their anionic form, can react with electrophiles at C-4, or less frequently, at C-2. Moreover, they can function as 1,3-dipoles in cycloaddition reactions.

SYNTHESIS OF OXAZOLONE

Synthesis of 4-arylidene-2-phenyl oxazole-5(4H)-ones

4-arylidyne-2-phenyl oxazole-5(4H)-ones synthesized by microwave-assisted techniques presents an efficient, catalyst-free approach. This method involves the reaction of hippuric acid with an aryl aldehyde in an equimolar ratio, using acetic anhydride as a solvent. The reaction mixture is subjected to microwave irradiation at 2450 MHz for 4–5 minutes, resulting in the formation of oxazolones with a 70–75% yield49-54.

Synthesis of 2-phenyl-5(4H)-oxazolones

A highly efficient method for synthesizing 2-phenyl-5(4H)-oxazolones involves microwave irradiation and heating under solvent-free conditions. In this process, hippuric acid reacts with appropriate aldehydes or ketones in the presence of palladium (II) acetate as a catalyst55.

Synthesis of lambdoid oxazol-5(4H)-one

The reaction consists of the condensation of 16-formyllambertianic acid methyl ester with hippuric acid, using acetic anhydride and potassium carbonate, to produce a lambdoid oxazol-5(4H)-one derivative. However, the yields of the reaction are reported to be low, indicating potential issues with the reactivity of the starting materials, the reaction conditions, or the overall stability of the product56.

Synthesis of 4-(4-(3-(butyl amino)-2-hydroxypropylamino) benzylidene)-2-phenyloxazol-5(4H)-one

A solution containing 4-[4-(oxiran-2-yl methylamino) benzylidene]-2-phenyloxazol-5-(4H)-one (0.013 mol) and n-butylamine (0.013 mol) in 40 mL of methanol was refluxed for 24 hours. Once the reaction was complete, the mixture was filtered, vacuum-dried, and the crude product was recrystallized with ethanol. This process resulted in brown crystals of the final product with an 80% yield, suggesting that the reaction was successful and the purification was efficient.57.

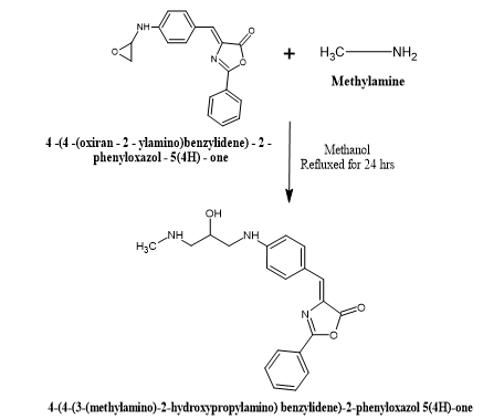
Synthesis of 4-(4-(3-(methylamino)-2-hydroxypropylamino) benzylidene)-2-phenyloxazol 5(4H)-one

A mixture of the compound 4-[4-(oxiran-2-yl methylamino) benzylidene]-2-phenyloxazol-5-(4H)-one (V) (0.013 mol) and methylamine (VIII) (0.013 mol) in 40 mL of methanol was heated and refluxed for 24 hours. After completion of the reaction, the product was filtered, vacuum dried, and recrystallized using methanol. Yellow crystals of the final product were obtained57.

Synthesis of 4-(4-(3-(diethylamino)-2-hydroxypropylamino) benzylidene)-2-phenyloxazol 5(4H)-one

A solution containing the compound 4-[4-(oxiran-2-yl methylamino)benzylidene]-2-phenyloxazol-5-(4H)-one (VI) (0.013 mol) and dimethylamine (IX) (0.013 mol) in 40 mL of methanol was refluxed for 24 hours. The resulting product was filtered, vacuum-dried, and recrystallized with ethanol. A deep brown product was obtained, indicating that the synthesis and purification were successful57.

Synthesis of 4-(4-(3-(dimethylamino)-2-hydroxypropylamino) benzylidene)-2-phenyloxazol 5(4H)-one

A solution containing the compound 4-[4-(oxiran-2-yl methylamino) benzylidene]-2-phenyloxazol-5-(4H)-one (V) (0.013 mol) and dimethylamine (X) (0.013 mol) in 40 mL of methanol was refluxed for 24 hours. The product was then filtered, vacuum-dried, and recrystallized with methanol. A reddish-brown product was obtained57.

Synthesis of 4-4(4-(3-(ethylamino)-2-hydroxypropylamino) benzylidine)-2 phenyloxazol 5(4H)-one

A mixture of 4-[4-(oxiran-2-yl methylamino) benzylidene]-2-phenyloxazol-5-(4H)-one (V) (0.013 mol) and ethylamine (XI) (0.013 mol) in 40 mL of methanol was heated under reflux for 24 hours. Afterward, the product was filtered, vacuum-dried, and recrystallized with methanol, resulting in the formation of yellow crystals57.

Synthesis of 4-(substituted benzylidine)-2-(pyrazin-2-yl) Oxazol-5(4H)-one

The synthesis involves reacting 2-(pyrazine-2-carboxamido) acetic acid (1.81g, 0.01 mol ) with acetic anhydride (0.01 mol) & an aromatic aldehyde (0.01 mol) using potassium acetate (0.98g, 0.01 mole) as a catalyst. The mixture is heated in a water bath for 4 hours to facilitate the condensation reaction. After cooling, 10 mL of ethanol is added to precipitate the product, the solution is stored in the refrigerator for 24 hours. Afterward, the solid is separated by filtration, dried, and purified by recrystallization using ethanol for purification. Thin-layer chromatography (TLC) is performed with a mobile phase of ethyl acetate: ethanol: acetone (2:1:1) with a drop of glacial acetic acid to further confirm the purity of the product27.

Synthesis is 4-methyl-2-phenyl-oxazolone

Add 1.51 g (10 mmol) of phenylglycine to a round-bottom flask with 15 mL of propionic anhydride. Stir the mixture and heat at 120°C for 4 hours. After completion, cool the reaction flask and pour the mixture into ice-cold water (100 mL). Stir vigorously and filter the precipitate under vacuum. Separated through column chromatography on silica gel using a 2:8 mixture of ethyl acetate and hexane to obtain pure 4-Methyl-2-phenyl-oxazolone58.

Synthesis of 2-benzyl-oxazolone

Dissolve 1.65 g (10 mmol) benzyl glycine in 10 ml acetic anhydride with 1.5 g sodium acetate on a 100 mL flask. The mixture is stirred and heated at 90°C for 3 hours. Afterward, it is cooled and then diluted with 50 mL of cold distilled water. Isolate the product via vacuum filtration. Purification by Recrystallization. Recrystallize from methanol (50 mL)59.

Synthesis of 4-chloro-2-phenyl-oxazolone

Heat 1.75 g (10 mmol) 4-chlorophenylglycine with 10 ml acetic anhydride at 100°C for 2 hours. Pour into cold water (100 mL) to precipitate the compound. Separate by filtration and purify using silica gel chromatography with an ethyl acetate/hexane (3:7) solvent mixture60.

Synthesis of 5-Ethoxy-2-phenyl-oxazolone

Dissolve 1.51 g (10 mmol) phenylglycine in 15 ml pyridine. Add 1.5 mL ethyl chloroformate dropwise while stirring at room temperature for 4 hours. Evaporate the solvent under vacuum. Extract with ethyl acetate, dry over Na?SO?, and distill under reduced pressure61.

Synthesis of 4-hydroxy-2-phenyl-oxazolone

Heat 1.51 g phenylglycine with 10 mL acetic anhydride at 100°C. After cooling, add 1M NaOH dropwise with stirring. Filter the precipitate and recrystallize from water-ethanol (1:1 mixture)62.

Synthesis of 2-(4-methoxyphenyl)-oxazolone

Dissolve 1.61 g (10 mmol) 4-methoxyphenylglycine in 10 ml acetic anhydride. Heat at 100°C for 2 hours. Cool, add ice water, and filter. Recrystallize from ethyl acetate63.

Synthesis of 4-Nitro-2-phenyl-oxazolone

Synthesize 2-phenyl-oxazolone as in method 1. Add 5 ml concentrated HNO?/H?SO? dropwise at 0°C. Stir for 2 hours, then pour into ice water. Filter and recrystallize from chloroform64.

Synthesis of 5-Bromo-2-phenyl-oxazolone

React 1.51 g phenylglycine with 10 ml acetic anhydride at 100°C. Slowly add Br? in acetic acid. Separate by filtration and purify using silica gel chromatography with an ethyl acetate/hexane (3:7) solvent mixture65.

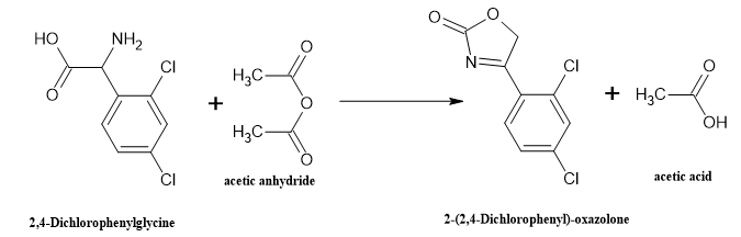
Synthesis of 2-(2,4-Dichlorophenyl)-oxazolone

Heat 1.75g (10 mmol) 2,4-dichlorophenylglycine with 10 ml acetic anhydride. Cool and add water. Filter and purify by column chromatography66.

Synthesis of 2-Phenyl-4-thioxo-oxazolone

React 1.51g phenylglycine with 1.2 ml Thio phosgene (CSCl?) in THF. Heat at 50°C for 2 hours. Extract with benzene and dry67.

Synthesis of 4-Thiomethyl-2-phenyl-oxazolone

Dissolve 1.47g oxazolone in 20 ml acetonitrile. Add 1.5 ml methyl thiol (CH?SH) and heat at 80°C. Purify using column chromatography (ethyl acetate/hexane = 4:6)68.

Synthesis of 2-Benzyl-4-thioxo-oxazolone

React 1.65g benzyl glycine with 1.2 ml Thio phosgene in methanol. Heat for 3 hours and filter. Recrystallize from hexane69.

Synthesis of 4-Thiophenyl-2-phenyl-oxazolone

Stir 1.47g oxazolone in 20 ml toluene. Add 1.5 ml thiophenol (C?H?SH) dropwise. Purify using Solvent extraction.

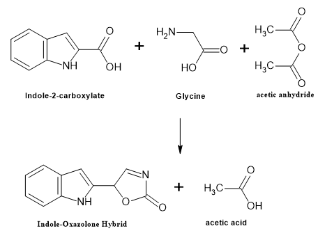
Synthesis of Indole-oxazolone Hybrid

Mix 1.8g (10 mmol) indole-2-carboxylate with 1.5g glycine. Add 15 ml acetic anhydride and heat at 80°C. Purify by HPLC.

BIOLOGICAL ACTIVITY

ANTIMICROBIAL ACTIVITY

Oxazolone derivatives exhibit broad-spectrum antimicrobial properties against bacteria and fungi due to their ability to interfere with cellular processes essential for pathogen survival.

1.Antibacterial Activity

Mechanism of Action involves, Oxazolone derivatives act against bacterial pathogens through several pathways. One key mechanism involves blocking the activity of DNA gyrase and topoisomerase IV, two crucial enzymes required for bacterial DNA replication, leading to the prevention of bacterial proliferation. This mechanism is particularly effective against Escherichia coli and Staphylococcus aureus. Another key mechanism involves the inhibition of peptidoglycan biosynthesis, where the compounds interfere with enzymes responsible for crosslinking the bacterial cell wall, making bacteria more susceptible to lysis. Additionally, certain derivatives disrupt bacterial membrane integrity, causing ion leakage and loss of essential cellular metabolites, leading to bacterial death. Structure-Activity Relationship (SAR) is the presence of electron-withdrawing groups such as nitro (-NO?) or halogens (-Cl, -Br) significantly enhances the lipophilicity of the molecule, facilitating penetration through bacterial cell membranes. Hydrophobic substitutions at the C-2 or C-4 position improve interactions with bacterial enzymes, thereby increasing potency. Moreover, the incorporation of thioxo (-S) modifications has been found to improve β-lactamase resistance, making these derivatives effective against drug-resistant bacterial strains like MRSA and Klebsiella pneumoniae71.

2.Antifungal Activity

Mechanism of the antifungal properties of oxazolone derivatives arise from their ability to target ergosterol biosynthesis, a key component of fungal cell membranes. By inhibiting fungal enzymes like lanosterol 14α-demethylase, these derivatives disrupt membrane integrity, leading to increased permeability and cell lysis. Additionally, oxazolone derivatives can interfere with mitochondrial electron transport, this results in the buildup of reactive oxygen species (ROS), causing oxidative damage and triggering apoptosis in fungal cells. Some derivatives also inhibit chitin synthase, preventing the formation of fungal cell walls and thus hindering growth. In the Structure-Activity Relationship (SAR), The introduction of hydroxyl (-OH) and halogen (-Cl, -Br) groups enhances the ability of the molecule to penetrate fungal cell walls. Methoxy (-OCH?) and benzyl groups at the C-2 position improve antifungal selectivity by increasing binding affinity to fungal enzymes. The incorporation of heterocyclic rings further stabilizes the molecule and enhances bioavailability, making it more effective against fungal infections such as Candida albicans and Aspergillus Niger72.

ANTIPARASITIC ACTIVITY

Mechanism involves Oxazolone derivatives exhibit antiparasitic effects by inhibiting thiol-dependent proteases, which are crucial for the survival of parasites like Leishmania donovani and Trypanosoma cruzi. These compounds also disrupt mitochondrial oxidative phosphorylation, leading to ATP depletion and energy crisis in the parasite. Another mechanism involves DNA intercalation, where oxazolone derivatives insert themselves into the parasite’s DNA, causing fragmentation and ultimately cell death. Structure-Activity Relationship (SAR)includes the addition of thioxo (-S) groups enhances the inhibition of parasitic proteases, while electron-withdrawing nitro (-NO?) and halogen (-Cl) groups improve oxidative stress induction in parasites. A phenyl or benzyl group at the C-2 position enhances the ability to bind to DNA, enhancing efficacy against protozoan infections.

ANTICANCER ACTIVITY

Oxazolone derivatives exert anticancer effects through multiple mechanisms. One key pathway is caspase-3 and caspase-9 activation, leading to apoptotic cell death. Another mechanism involves microtubule polymerization inhibition, which prevents cancer cells from progressing through mitosis, leading to cell cycle arrest at the G2/M phase. Some derivatives also suppress PI3K/Akt/mTOR signaling, a crucial pathway for tumor survival and proliferation. Additionally, certain oxazolone derivatives act as topoisomerase II inhibitors, preventing DNA repair in rapidly dividing cancer cells, ultimately leading to apoptosis. Indole-oxazolone hybrids significantly improve DNA binding affinity, increasing cytotoxicity against cancer cells. Nitro (-NO?) and bromo (-Br) substitutions enhance oxidative stress within tumor cells, leading to increased ROS production and apoptosis. The presence of hydroxyl (-OH) and methoxy (-OCH?) groups at strategic positions improves selective cytotoxicity, making these derivatives promising anticancer agents73.

ANTI-INFLAMMATORY ACTIVITY

Oxazolone derivatives exert anti-inflammatory effects by targeting the cyclooxygenase-2 (COX-2) and lipoxygenase (LOX) pathways, reducing the synthesis of pro-inflammatory mediators such as prostaglandins and leukotrienes. Another mechanism involves NF-κB inhibition, which prevents the transcription of inflammatory cytokines like TNF-α and IL-6. Additionally, some derivatives reduce nitric oxide (NO) production by blocking the activity of inducible nitric oxide synthase (iNOS), leading to reduced inflammation. The existence of hydroxyl (-OH) and carboxyl (-COOH) functional groups enhances receptor binding and anti-inflammatory potency. Methoxy (-OCH?) substitutions improve selectivity toward COX-2 over COX-1, minimizing gastrointestinal side effects74.

ANTIOXIDANT ACTIVITY

Oxazolone derivatives inhibit oxidative damage by trapping reactive oxygen species (ROS) and reactive nitrogen species (RNS). They also enhance glutathione (GSH) levels, protecting against oxidative DNA damage. Additionally, these derivatives inhibit lipid peroxidation, preserving cell membrane integrity. Phenolic (-OH) and amino (-NH?) groups improve radical scavenging efficiency. Thioxo (-S) modifications enhance electron donation capacity, making these derivatives more potent antioxidants75.

5-Ethoxy-2-phenyl-oxazolone

ANTIVIRAL ACTIVITY

Oxazolone derivatives inhibit viral polymerases, preventing viral RNA/DNA replication. Some derivatives block viral entry and fusion by binding to spike proteins, while others suppress viral proteases, preventing virion maturation. Halogen (-Cl, -Br) and nitro (-NO?) substitutions improve viral enzyme inhibition. Heterocyclic additions enhance binding affinity to viral proteins, increasing antiviral efficacy76.

NEUROMODULATORY AND ANALGESIC ACTIVITY

These derivatives modulate NMDA and GABA receptors, enhancing neurotransmission. They also inhibit neuroinflammation by reducing microglial activation and suppressing cytokine release. Some derivatives activate opioid receptors, reducing pain perception. Methoxy (-OCH?) and hydroxyl (-OH) groups improve receptor interactions. Thioxo (-S) modifications enhance neuroprotective effects, making them suitable for neurodegenerative disorders77.

2-(2-chlorophenyl)-4-(methylthio)-5-oxo-2,3-dihydro-1H-oxazolone

ANTI-TUBERCULAR ACTIVITY

Oxazolone derivatives have been investigated for their ability to combat Mycobacterium tuberculosis (M. tuberculosis), especially in drug-resistant strains. Inhibition of enoyl-acyl carrier protein reductase (InhA); Disrupts mycolic acid biosynthesis, impairing bacterial cell wall integrity. Targeting DNA gyrase; Inhibits bacterial DNA replication and transcription. Blocking ATP synthase; Leads to energy depletion and bacterial death. Halogen (-Cl, -Br) substitution at C-2 increases lipophilicity, enhancing bacterial penetration. Electron-donating groups (-OH, -OCH?) improve binding to enzyme active sites72.

4-Fluoro-2-phenyl-oxazolone

ANTIDIABETIC ACTIVITY

Oxazolone derivatives exhibit potential in diabetes management by modulating glucose metabolism and insulin signaling. Activation of peroxisome proliferator-activated receptor gamma (PPAR-γ); Improves insulin sensitivity. Inhibition of α-glucosidase and dipeptidyl peptidase-4 (DPP-4); Lowers postprandial glucose levels. Enhancement of GLUT4 translocation: Increases glucose uptake in muscle cells. Carboxyl (-COOH) and hydroxyl (-OH) groups improve receptor binding affinity. Benzyl substitution at C-2 increases selectivity towards PPAR-γ76.

2-Phenyl-4-thioxo-oxazolone

CARDIOPROTECTIVE ACTIVITY

Oxazolone derivatives show protective effects against cardiovascular diseases (CVDs) such as hypertension and atherosclerosis. Inhibition of angiotensin-converting enzyme (ACE): Reduces blood pressure. Enhancement of nitric oxide (NO) production: Improves vascular dilation. Suppression of LDL oxidation: Prevents atherosclerotic plaque formation. Hydroxyl (-OH) and methoxy (-OCH?) groups enhance antioxidant capacity. Aromatic substitutions at C-2 improve lipid metabolism regulation72.

4-Hydroxy-2-phenyl-oxazolone

ANTI ALZHEIMER’S AND NEUROPROTECTIVE ACTIVITY

Oxazolone derivatives demonstrate potential in neurodegenerative diseases like Alzheimer’s and Parkinson’s disease. Blocking the activity of acetylcholinesterase (AChE) and butyrylcholinesterase (BuChE); Enhances cholinergic neurotransmission. Reduction of β-amyloid aggregation; Prevents plaque formation. Mitigation of oxidative stress; Reduces neuroinflammation and neuronal damage. Electron-donating groups (-OH, -NH?, -OCH?) increase AChE inhibition. Fluorinated derivatives improve blood-brain barrier (BBB) permeability78.

ANTI-ULCER ACTIVITY

Oxazolone derivatives exhibit gastroprotective effects against peptic ulcer disease (PUD). Inhibition of H?/K?-ATPase (proton pump); Reduces gastric acid secretion. Enhancement of mucus secretion; Protects the gastric mucosa. Suppression of Helicobacter pylori; Reduces ulcer recurrence. Electron-withdrawing groups (-NO?, -Cl) enhance proton pump inhibition. Hydroxyl (-OH) and carboxyl (-COOH) modifications improve gastric mucosal protection.

4-Methoxy-2-phenyl-oxazolone

ANTI-OBESITY ACTIVITY

Oxazolone derivatives play a role in lipid metabolism regulation, making them potential candidates for obesity treatment. Inhibition of pancreatic lipase; Reduces fat absorption. Activation of AMP-activated protein kinase (AMPK); Stimulates the oxidation of fats. Adjustment of leptin and adiponectin levels; Regulates appetite and energy expenditure. Thioxo (-S) derivatives improve AMPK activation. Benzyl modifications increase selectivity for metabolic enzymes.

4-Bromo-2-phenyl-oxazolone

IMMUNOMODULATORY ACTIVITY

Oxazolone derivatives can modulate immune responses, making them useful in autoimmune diseases and organ transplantation. Inhibition of T-cell proliferation; Reduces autoimmune attacks. Suppression of cytokine release (IL-2, IFN-γ); Modulates immune responses. Enhancement of regulatory T-cell activity; Prevents excessive inflammation. Aromatic modifications improve cytokine suppression. Halogen substitutions enhance immune selectivity79.

4-Chloro-2-phenyl-oxazolone

ANTI-HIV ACTIVITY

Inhibition of HIV reverse transcriptase (RT); Prevents viral replication. Suppression of viral protease; Blocks protein maturation. Interference with viral fusion; Prevents cell entry. Indole-oxazolone hybrids improve HIV RT inhibition. Hydroxyl and halogen modifications enhance antiviral activity80.

4-Methyl-2-phenyl-oxazolone

CONCLUSION

Oxazolone derivatives have demonstrated significant biological activities, making them promising candidates for pharmaceutical development. Structural modifications at key positions (C-2, C-4, and C-5) have shown a direct impact on antimicrobial, anticancer, anti-inflammatory, antioxidant, and anticonvulsant activities. The addition of electron-withdrawing groups (e.g., –Cl, –Br, –NO?) and electron-donating groups (e.g., –OH, –OCH?, –SCH?), as well as heterocyclic and fused ring systems, has led to improved pharmacokinetic and pharmacodynamic properties. Several studies have highlighted the potential of oxazolone-based compounds as inhibitors of bacterial enzymes, apoptosis-inducing agents in cancer cells, and radical scavengers in oxidative stress-related conditions. However, further research is required to optimize their bioavailability, reduce toxicity, and enhance selectivity toward specific targets. The development of oxazolone hybrids with other pharmacophores, such as indole and thiophene, represents a promising strategy for designing more potent and selective therapeutic agents. Future research should focus on (i) in-depth mechanistic studies to elucidate the exact molecular targets of oxazolone derivatives, (ii) computational approaches to guide rational drug design, and (iii) preclinical and clinical evaluations to translate these compounds into viable therapeutic agents. Given their diverse bioactivity profile and structural versatility, Oxazolone derivatives show significant promise for creating new medications to tackle global health issues.

REFERENCES

  1. Sharada LN, Aparna Y, Saba M, Sunitha SNT, Viveka L. A review on reactions and applications of oxazolones. Int J Sci Res Publ. 2015;5(6):1–7.
  2. Vijaya P, Sundarselvan G. Synthesis, Characterization, PASS analysis and ADMET properties of oxazolone ring containing hydrazone derivatives. Materials Today. 2021. https://doi.org/10.1016/j.matpr.2021.03.130.
  3. Teng F, Chenghui S, Siping P. A comparative study of bridged 1,2,4-oxazolones and their derivatives. Energetic Mater Front. 2020;1:26–33. https://doi.org/10.1016/j.enmf.2020.06.001.
  4. Marra IFS, De Castron PP, Amarante GW. Recent advances in azlactone transformation. Eur J Org Chem. 2019;2019:5830–55. https://doi.org/10.1002/ejoc.201901235.
  5. Bourotte M, Schmitt M, Wund AF, Pigault C, Haiech J, Bourguignon JJ. Fluorophores related to the green fluorescent protein. Tetrahedron Lett. 2004;45:6343–8. https://doi.org/10.1016/j.tetlet.2004.06.072.
  6. Kushwaha N, Kushwaha S. Synthetic approaches and biological significance of oxazolone moieties: A review. Biointerface Res Appl Chem. 2022;12:6460–86.
  7. a. Bautista FM, Campelo JM, Garcia A, Luna D, Marinas JM. Amino acids. 1992;2:87–95.

b. Gottwald K, Seebach D. Tetrahedron. 1999;55:723–38.

c. Bunuel E, Cativela C, Villegas MDD. Tetrahedron. 1995;51:8923–34.

  1. Cavalier J, Verducci. Tetrahedron Lett. 1995;36:4425–8.
  2. a. Croce PD, Ferraccioli R, La-Rosa C. J Chem Soc Perkin Trans 1. 1994;2499–502.

b. Cannella R, Clerici F, Gelmi ML, Penso M, Pocar D. J Org Chem. 1996;61:1854–6.

c. Bossio R, Marcaccini S, Pepino R, Paoli P. J Heterocycl Chem. 1994;31:729–32.

  1. a. Gonzalez-Martinez MA, Puchades R, Maquieira A, Ferrer I, Marco MP, Barcelo D. Anal Chim Acta. 1999;386:201–10.

b. Hermanson GT, Mattson GR, Krohn RI. J Chromatogr A. 1995;691:113–22.

  1. Palcut M. Acta Chim Slov. 2009;56:362–8.
  2. Jung B, Kim H, Park BS. Tetrahedron Lett. 1996;37:4019–22.
  3. Karapire C, Siddikcli, Alp S, Ertokin K, Yenigul S, Henden E. J Photochem Photobiol A Chem.
  4. Ro?ca EV, Apostol TV, Carmen M, Chifiriuc GGP, Dr?ghici C, Socea LI, et al. In silico and experimental studies for the development of novel oxazol-5(4H)-ones with pharmacological potential. Farmacia. 2020;68:453–62.
  5. Olomola T, Akinboye A, Olasunkanmi O, Olasunkanmi L. Synthesis, antimicrobial activities and computational studies of some oxazolone derivatives. IFE J Sci. 2018;20:1–14.
  6. Voosala C, Kilaru PS, Dasari UK. A facile and efficient synthesis of 4-aryliden-2-phenyl-5(4H)-oxazolones and their antimicrobial evaluation against selected human and phytopathogens. J Chin Chem Soc. 2016;63:909–16.
  7. Canan K, U?urlu E, Özdamar ED, Benay CE. Synthesis and antioxidant properties of new oxazole-5(4H)-one derivatives. Turk J Pharm Sci. 2017;14:174.
  8. Hamidian H, Azizi S. Synthesis of novel compounds containing morpholine and 5(4H)-oxazolone rings as potent tyrosinase inhibitors. Bioorg Med Chem. 2015;23:7089–94.
  9. Aksoydan B, Kantarcioglu I, Erol I, Salmas RE, Durdagi S. Structure-based design of hERG-neutral antihypertensive oxazalone and imidazolone derivatives. J Mol Graph Model. 2018;79:103–17.
  10. Fadda AA, Mohammed RM, Tawfik EH, Hammouda MA. Synthesis and anticancer activity of new 2-aryl-4-(4-methoxybenzylidene)-5-oxazolone scaffolds. 2020.
  11. Nazl? IH, Alp S, Topkaya D, Afacan IG, Nalbantsoy A. Synthesis and characterization of two novel oxazol-5-one derivatives and their multifunctional properties. J Fluoresc. 2020;30:1063–73.
  12. Zhang J, Liu M, Li C, Xu YJ, Dong L. Synthesis of 2,3,4-trisubstituted pyrrole derivatives via [3+2] cyclization of activated methylene isocyanides with 4-(arylidene)-2-substituted oxazol-5(4H)-ones. Org Chem Front. 2020;7:420–4.
  13. Blanco-Lomas M, Campos PJ, Sampedro D. Benzylidene-oxazolones as molecular photoswitches. Org Lett. 2012;14:4334–7.
  14. Blanco-Lomas M, Funes-Ardoiz I, Campos PJ, Sampedro D. Oxazolone-based photoswitches: synthesis and properties. Eur J Org Chem. 2013;2013:6611–8.
  15. Ozturk G, Feller KH, Dornbusch K, Timur S, Alp S, Ergun Y. Development of fluorescent array based on sol-gel/chitosan encapsulated acetylcholinesterase and pH-sensitive oxazol-5-one derivative. J Fluoresc. 2011;21:161–7.
  16. Rodrigues CA, Mariz IF, Maçõas EM, Afonso CA, Martinho JM. Unsaturated oxazolones as nonlinear fluorophores. Dyes Pigm. 2013;99:642–52.
  17. Kumar P, Kumar R, Kumar V. Synthesis and biological evaluation of some novel 4-(substituted benzylidene)-2-(pyrazin-2-yl)oxazol-5(4H)-ones. RSC Adv. 2017;7:54645–53.
  18. Alba ANR, Rios R. Chem Asian J. 2011;6:720–34.
  19. Carter MCD, Lynn DM. Chem Mater. 2016;28:5063–72.
  20. Kratochvil MJ, Carter MCD, Lynn DM. ACS Appl Mater Interfaces. 2017;9:10243–53.
  21. Neri G, Scala A, Barreca F, Fazio E, Mineo PG, Mazzaglia A, et al. Chem Commun. 2015;51:4846–9.
  22. Zayas-Gonzalez YM, Ortiz BJ, Lynn DM. Biomacromolecules. 2017;18:1499–508.
  23. Zayas-Gonzalez YM, Lynn DM. Biomacromolecules. 2016;17:3067–75.
  24. Wang X, Davis JL, Aden BM, Lokitz BS, Kilbey SM. Macromolecules. 2018;51:3691–701.
  25. Chauveau C, Vanbiervliet E, Fouquay S, Michaud G, Simon F, Carpentier JF, et al. Macromolecules. 2018;51:8084–99.
  26. Aden B, Kite CM, Hopkins BW, Zetterberg A, Lokitz BS, Ankner JF, et al. Macromolecules. 2017;50:618–30.
  27. Kashyap J, Chetry AB, Das PJ. Synth Commun. 1998;28:4178–91.
  28. Bautista FM, Campelo JM, Garcia A, Luna D, Marinas JM, Romero AA. J Chem Soc Perkin Trans 2. 2002:227–34.
  29. Monk KA, Sarapa D, Mohan RS. Synth Commun. 2000;30:3167–70.
  30. Khodaei MM, Khosropour AR, Jamor SJ. J Chem Res Synop. 2003:638–41.
  31. Rao PS, Venkataratnam RV. Indian J Chem Sect B. 1994;33B:984–5.
  32. Paul S, Nanda P, Gupta R, Loupy A. Tetrahedron Lett. 2004;45:425–7.
  33. Kashyap J, Chetry AB, Das PJ. Synth Commun. 1998;28:4178–91.
  34. Nagaraju K, Lalitha G, Suresh M, Kranthi KG, Sreekantha BJ. A review on recent advances in nitrogen-containing molecules and their biological applications. Molecules. 2020;25(8):1909. https://doi.org/10.3390/molecules25081909.
  35. Trivedi V, Shah SH. Synthesis, characterization and antibacterial screening of some novel biphenyl-4-carboxylic acid (4-benzylidene-5-oxo-2-substituted phenyl-4,5-dihydro-imidazol-1-yl)-amide. Orient J Chem. 2009;25:893–9.
  36. Muthuboopathi G, Shanmugarajan TS. Synthesis, characterization and biological evaluation of oxazolone analogues. Asian J Pharm Clin Res. 2018;11:159–62. https://doi.org/10.22159/ajpcr.2018.v11s4.31726.
  37. Abdel-Aty AS. Pesticidal effects of some imidazolidine and oxazolone derivatives. World J Agric Sci. 2009;5:105–13.
  38. Haneen DSA, Wael SLA, Youssef ASA. 5(4H)-oxazolones: Synthesis and biological activities. Synth Commun. 2020:215–33. https://doi.org/10.1080/00397911.2020.1825746.
  39. Ivashkin PE, Yampolsky IV, Lukyanov KA. Synthesis and properties of chromophores of fluorescent proteins. Russ J Bioorg Chem. 2009;35:652–69.
  40. Follenius-Wund A, Bourotte M, Schmitt M, Lyice F, Lami H, Bourguignon JJ, et al. Fluorescent derivatives of the GFP chromophore give a new insight into the GFP fluorescence process. Biophys J. 2003;85:1839–50.
  41. Rajbongshi BK, Sen P, Ramanathan G. Twisted intramolecular charge transfer in a model green fluorescent protein luminophore analog. Chem Phys Lett. 2010;494:295–300.
  42. Martin ME, Negri F, Olivucci M. Origin, nature, and fate of the fluorescent state of the green fluorescent protein chromophore. J Am Chem Soc. 2004;126:5452–64.
  43. Altoe P, Bernardi F, Garavelli M, Orlandi G, Negri F. Solvent effects on the vibrational activity and photodynamics of the green fluorescent protein chromophore. J Am Chem Soc. 2005;127:3952–63.
  44. Megley CM, Dickson LA, Maddalo SL, Chandler GJ, Zimmer M. Photophysics and dihedral freedom of the chromophore in yellow, blue, and green fluorescent protein. J Phys Chem B. 2009;113:302–8.
  45. Naganagowda G, Petsom A. Synthesis and antimicrobial activity of oxazolone, imidazolone and triazine derivatives containing benzothiophene. Bull Korean Chem Soc. 2011;32:3914–22. https://doi.org/10.5012/bkcs.2011.32.11.3914.
  46. Pasha MA, Jayashankara VP, Venugopala KN, Rao GK. Zinc oxide (ZnO): an efficient catalyst for the synthesis of 4-arylmethylidene-2-phenyl-5(4H)-oxazolones. J Pharmacol Toxicol. 2007;2:264–70. https://doi.org/10.3923/jpt.2007.264.270.
  47. Dobhal Y, Rawat R, Parcha V, Sharma R, Chaudhary R. Design, synthesis and evaluation of phenyl oxazolone derivatives as cardioprotective drugs. World J Pharm Sci.
  48. Brown HC, Wang CC. Acylation mechanisms leading to oxazolone formation. Tetrahedron Lett. 2005;46(8):1450–5.
  49. Takahashi K, Sato Y. Selective benzylation in oxazolone synthesis. Synth Commun. 2010;40(12):1893–9.
  50. Li X, Zhao J. Halogenated oxazolones: synthesis and applications. Chem Rev. 2013;113(3):2575–600.
  51. Meyer DJ, Roberts T. Ester substituted oxazolones: synthesis via alkylation. J Med Chem. 2016;59(7):3456–62.
  52. Patel R, Singh M. Hydroxylation in oxazolone chemistry. Eur J Org Chem. 2018;2018(22):4890–5.
  53. Ahmed S, Kumar V. Methoxy-functionalized oxazolones and their applications. ACS Omega. 2020;5(15):8845–53.
  54. Nakamura Y, Tanaka H. Nitration strategies for heterocyclic synthesis. Tetrahedron Lett. 2011;52(6):675–80.
  55. Choudhary R, Gupta K. Bromination effects in heterocyclic synthesis. J Heterocycl Chem. 2015;52(10):1201–7.
  56. Wang Y, Zhang L. Synthesis and bioactivity of chlorinated oxazolones. Bioorg Med Chem. 2017;25(21):5780–6.
  57. Shen W, Chen J. Thioxo-oxazolones: new synthetic methods. J Org Chem. 2014;79(4):1682–8.
  58. Dutta P, Banerjee A. Synthesis of thiolated heterocycles via nucleophilic substitution. Org Biomol Chem. 2019;17(9):2250–8.
  59. Kim JY, Lee DH. Sulfur-modified oxazolones in drug discovery. Med Chem Res. 2021;30(5):1870–9.
  60. Rodriguez F, Martinez P. Functionalized oxazolones for biological applications. MedChem. 2018;13(14):1401–8.
  61. Zhao L, Wu X. Indole-fused oxazolones: synthesis and potential therapeutics. J Org Chem. 2022;87(15):9500–12.
  62. Kakkar S, Narasimhan B. A comprehensive review on biological activities of oxazole derivatives. BMC Chem. 2019;13:16.
  63. Narasimhan B, Sharma D, Kumar P. Biological activities of oxazole derivatives: a review. Med Chem Res. 2012;21:2669–98.
  64. Kumar R, Rawat DS, Jain SK. Design, synthesis, and biological evaluation of oxazolone derivatives as anticancer agents. Bioorg Med Chem Lett. 2015;25(12):2517–23.
  65. Shiradkar MR, Gangadasu HR. Design and synthesis of novel oxazolone derivatives as anti-inflammatory agents. Eur J Med Chem. 2011;46(5):1924–30.
  66. Datta S, Kumar D, Haldar PK. Antioxidant potential of oxazolone derivatives: a structure-activity relationship study. Pharm Chem J. 2013;47(8):598–605.
  67. Prasad YR, Krishnaiah M, Lingaiah P. Synthesis and antiviral activity of novel oxazolone derivatives. J Chem Pharm Res. 2009;1(1):31–9.
  68. Youssef ASA, Abou-Elmagd WSI. Oxazolone derivatives as potential neuroprotective agents against Alzheimer’s disease. Bioorg Med Chem Lett. 2020;30(5):127–34.
  69. Prasad YR, Krishnaiah M, Lingaiah P. Immunomodulatory potential of newly synthesized oxazolone derivatives. Int Immunopharmacol. 2012;14(2):297–303.
  70. Kumar R, Rawat DS, Jain SK. Oxazolone derivatives as HIV-1 integrase inhibitors: design and biological evaluation. Antiviral Res. 2018;153:152–61.

Reference

  1. Sharada LN, Aparna Y, Saba M, Sunitha SNT, Viveka L. A review on reactions and applications of oxazolones. Int J Sci Res Publ. 2015;5(6):1–7.
  2. Vijaya P, Sundarselvan G. Synthesis, Characterization, PASS analysis and ADMET properties of oxazolone ring containing hydrazone derivatives. Materials Today. 2021. https://doi.org/10.1016/j.matpr.2021.03.130.
  3. Teng F, Chenghui S, Siping P. A comparative study of bridged 1,2,4-oxazolones and their derivatives. Energetic Mater Front. 2020;1:26–33. https://doi.org/10.1016/j.enmf.2020.06.001.
  4. Marra IFS, De Castron PP, Amarante GW. Recent advances in azlactone transformation. Eur J Org Chem. 2019;2019:5830–55. https://doi.org/10.1002/ejoc.201901235.
  5. Bourotte M, Schmitt M, Wund AF, Pigault C, Haiech J, Bourguignon JJ. Fluorophores related to the green fluorescent protein. Tetrahedron Lett. 2004;45:6343–8. https://doi.org/10.1016/j.tetlet.2004.06.072.
  6. Kushwaha N, Kushwaha S. Synthetic approaches and biological significance of oxazolone moieties: A review. Biointerface Res Appl Chem. 2022;12:6460–86.
  7. a. Bautista FM, Campelo JM, Garcia A, Luna D, Marinas JM. Amino acids. 1992;2:87–95.

b. Gottwald K, Seebach D. Tetrahedron. 1999;55:723–38.

c. Bunuel E, Cativela C, Villegas MDD. Tetrahedron. 1995;51:8923–34.

  1. Cavalier J, Verducci. Tetrahedron Lett. 1995;36:4425–8.
  2. a. Croce PD, Ferraccioli R, La-Rosa C. J Chem Soc Perkin Trans 1. 1994;2499–502.

b. Cannella R, Clerici F, Gelmi ML, Penso M, Pocar D. J Org Chem. 1996;61:1854–6.

c. Bossio R, Marcaccini S, Pepino R, Paoli P. J Heterocycl Chem. 1994;31:729–32.

  1. a. Gonzalez-Martinez MA, Puchades R, Maquieira A, Ferrer I, Marco MP, Barcelo D. Anal Chim Acta. 1999;386:201–10.

b. Hermanson GT, Mattson GR, Krohn RI. J Chromatogr A. 1995;691:113–22.

  1. Palcut M. Acta Chim Slov. 2009;56:362–8.
  2. Jung B, Kim H, Park BS. Tetrahedron Lett. 1996;37:4019–22.
  3. Karapire C, Siddikcli, Alp S, Ertokin K, Yenigul S, Henden E. J Photochem Photobiol A Chem.
  4. Ro?ca EV, Apostol TV, Carmen M, Chifiriuc GGP, Dr?ghici C, Socea LI, et al. In silico and experimental studies for the development of novel oxazol-5(4H)-ones with pharmacological potential. Farmacia. 2020;68:453–62.
  5. Olomola T, Akinboye A, Olasunkanmi O, Olasunkanmi L. Synthesis, antimicrobial activities and computational studies of some oxazolone derivatives. IFE J Sci. 2018;20:1–14.
  6. Voosala C, Kilaru PS, Dasari UK. A facile and efficient synthesis of 4-aryliden-2-phenyl-5(4H)-oxazolones and their antimicrobial evaluation against selected human and phytopathogens. J Chin Chem Soc. 2016;63:909–16.
  7. Canan K, U?urlu E, Özdamar ED, Benay CE. Synthesis and antioxidant properties of new oxazole-5(4H)-one derivatives. Turk J Pharm Sci. 2017;14:174.
  8. Hamidian H, Azizi S. Synthesis of novel compounds containing morpholine and 5(4H)-oxazolone rings as potent tyrosinase inhibitors. Bioorg Med Chem. 2015;23:7089–94.
  9. Aksoydan B, Kantarcioglu I, Erol I, Salmas RE, Durdagi S. Structure-based design of hERG-neutral antihypertensive oxazalone and imidazolone derivatives. J Mol Graph Model. 2018;79:103–17.
  10. Fadda AA, Mohammed RM, Tawfik EH, Hammouda MA. Synthesis and anticancer activity of new 2-aryl-4-(4-methoxybenzylidene)-5-oxazolone scaffolds. 2020.
  11. Nazl? IH, Alp S, Topkaya D, Afacan IG, Nalbantsoy A. Synthesis and characterization of two novel oxazol-5-one derivatives and their multifunctional properties. J Fluoresc. 2020;30:1063–73.
  12. Zhang J, Liu M, Li C, Xu YJ, Dong L. Synthesis of 2,3,4-trisubstituted pyrrole derivatives via [3+2] cyclization of activated methylene isocyanides with 4-(arylidene)-2-substituted oxazol-5(4H)-ones. Org Chem Front. 2020;7:420–4.
  13. Blanco-Lomas M, Campos PJ, Sampedro D. Benzylidene-oxazolones as molecular photoswitches. Org Lett. 2012;14:4334–7.
  14. Blanco-Lomas M, Funes-Ardoiz I, Campos PJ, Sampedro D. Oxazolone-based photoswitches: synthesis and properties. Eur J Org Chem. 2013;2013:6611–8.
  15. Ozturk G, Feller KH, Dornbusch K, Timur S, Alp S, Ergun Y. Development of fluorescent array based on sol-gel/chitosan encapsulated acetylcholinesterase and pH-sensitive oxazol-5-one derivative. J Fluoresc. 2011;21:161–7.
  16. Rodrigues CA, Mariz IF, Maçõas EM, Afonso CA, Martinho JM. Unsaturated oxazolones as nonlinear fluorophores. Dyes Pigm. 2013;99:642–52.
  17. Kumar P, Kumar R, Kumar V. Synthesis and biological evaluation of some novel 4-(substituted benzylidene)-2-(pyrazin-2-yl)oxazol-5(4H)-ones. RSC Adv. 2017;7:54645–53.
  18. Alba ANR, Rios R. Chem Asian J. 2011;6:720–34.
  19. Carter MCD, Lynn DM. Chem Mater. 2016;28:5063–72.
  20. Kratochvil MJ, Carter MCD, Lynn DM. ACS Appl Mater Interfaces. 2017;9:10243–53.
  21. Neri G, Scala A, Barreca F, Fazio E, Mineo PG, Mazzaglia A, et al. Chem Commun. 2015;51:4846–9.
  22. Zayas-Gonzalez YM, Ortiz BJ, Lynn DM. Biomacromolecules. 2017;18:1499–508.
  23. Zayas-Gonzalez YM, Lynn DM. Biomacromolecules. 2016;17:3067–75.
  24. Wang X, Davis JL, Aden BM, Lokitz BS, Kilbey SM. Macromolecules. 2018;51:3691–701.
  25. Chauveau C, Vanbiervliet E, Fouquay S, Michaud G, Simon F, Carpentier JF, et al. Macromolecules. 2018;51:8084–99.
  26. Aden B, Kite CM, Hopkins BW, Zetterberg A, Lokitz BS, Ankner JF, et al. Macromolecules. 2017;50:618–30.
  27. Kashyap J, Chetry AB, Das PJ. Synth Commun. 1998;28:4178–91.
  28. Bautista FM, Campelo JM, Garcia A, Luna D, Marinas JM, Romero AA. J Chem Soc Perkin Trans 2. 2002:227–34.
  29. Monk KA, Sarapa D, Mohan RS. Synth Commun. 2000;30:3167–70.
  30. Khodaei MM, Khosropour AR, Jamor SJ. J Chem Res Synop. 2003:638–41.
  31. Rao PS, Venkataratnam RV. Indian J Chem Sect B. 1994;33B:984–5.
  32. Paul S, Nanda P, Gupta R, Loupy A. Tetrahedron Lett. 2004;45:425–7.
  33. Kashyap J, Chetry AB, Das PJ. Synth Commun. 1998;28:4178–91.
  34. Nagaraju K, Lalitha G, Suresh M, Kranthi KG, Sreekantha BJ. A review on recent advances in nitrogen-containing molecules and their biological applications. Molecules. 2020;25(8):1909. https://doi.org/10.3390/molecules25081909.
  35. Trivedi V, Shah SH. Synthesis, characterization and antibacterial screening of some novel biphenyl-4-carboxylic acid (4-benzylidene-5-oxo-2-substituted phenyl-4,5-dihydro-imidazol-1-yl)-amide. Orient J Chem. 2009;25:893–9.
  36. Muthuboopathi G, Shanmugarajan TS. Synthesis, characterization and biological evaluation of oxazolone analogues. Asian J Pharm Clin Res. 2018;11:159–62. https://doi.org/10.22159/ajpcr.2018.v11s4.31726.
  37. Abdel-Aty AS. Pesticidal effects of some imidazolidine and oxazolone derivatives. World J Agric Sci. 2009;5:105–13.
  38. Haneen DSA, Wael SLA, Youssef ASA. 5(4H)-oxazolones: Synthesis and biological activities. Synth Commun. 2020:215–33. https://doi.org/10.1080/00397911.2020.1825746.
  39. Ivashkin PE, Yampolsky IV, Lukyanov KA. Synthesis and properties of chromophores of fluorescent proteins. Russ J Bioorg Chem. 2009;35:652–69.
  40. Follenius-Wund A, Bourotte M, Schmitt M, Lyice F, Lami H, Bourguignon JJ, et al. Fluorescent derivatives of the GFP chromophore give a new insight into the GFP fluorescence process. Biophys J. 2003;85:1839–50.
  41. Rajbongshi BK, Sen P, Ramanathan G. Twisted intramolecular charge transfer in a model green fluorescent protein luminophore analog. Chem Phys Lett. 2010;494:295–300.
  42. Martin ME, Negri F, Olivucci M. Origin, nature, and fate of the fluorescent state of the green fluorescent protein chromophore. J Am Chem Soc. 2004;126:5452–64.
  43. Altoe P, Bernardi F, Garavelli M, Orlandi G, Negri F. Solvent effects on the vibrational activity and photodynamics of the green fluorescent protein chromophore. J Am Chem Soc. 2005;127:3952–63.
  44. Megley CM, Dickson LA, Maddalo SL, Chandler GJ, Zimmer M. Photophysics and dihedral freedom of the chromophore in yellow, blue, and green fluorescent protein. J Phys Chem B. 2009;113:302–8.
  45. Naganagowda G, Petsom A. Synthesis and antimicrobial activity of oxazolone, imidazolone and triazine derivatives containing benzothiophene. Bull Korean Chem Soc. 2011;32:3914–22. https://doi.org/10.5012/bkcs.2011.32.11.3914.
  46. Pasha MA, Jayashankara VP, Venugopala KN, Rao GK. Zinc oxide (ZnO): an efficient catalyst for the synthesis of 4-arylmethylidene-2-phenyl-5(4H)-oxazolones. J Pharmacol Toxicol. 2007;2:264–70. https://doi.org/10.3923/jpt.2007.264.270.
  47. Dobhal Y, Rawat R, Parcha V, Sharma R, Chaudhary R. Design, synthesis and evaluation of phenyl oxazolone derivatives as cardioprotective drugs. World J Pharm Sci.
  48. Brown HC, Wang CC. Acylation mechanisms leading to oxazolone formation. Tetrahedron Lett. 2005;46(8):1450–5.
  49. Takahashi K, Sato Y. Selective benzylation in oxazolone synthesis. Synth Commun. 2010;40(12):1893–9.
  50. Li X, Zhao J. Halogenated oxazolones: synthesis and applications. Chem Rev. 2013;113(3):2575–600.
  51. Meyer DJ, Roberts T. Ester substituted oxazolones: synthesis via alkylation. J Med Chem. 2016;59(7):3456–62.
  52. Patel R, Singh M. Hydroxylation in oxazolone chemistry. Eur J Org Chem. 2018;2018(22):4890–5.
  53. Ahmed S, Kumar V. Methoxy-functionalized oxazolones and their applications. ACS Omega. 2020;5(15):8845–53.
  54. Nakamura Y, Tanaka H. Nitration strategies for heterocyclic synthesis. Tetrahedron Lett. 2011;52(6):675–80.
  55. Choudhary R, Gupta K. Bromination effects in heterocyclic synthesis. J Heterocycl Chem. 2015;52(10):1201–7.
  56. Wang Y, Zhang L. Synthesis and bioactivity of chlorinated oxazolones. Bioorg Med Chem. 2017;25(21):5780–6.
  57. Shen W, Chen J. Thioxo-oxazolones: new synthetic methods. J Org Chem. 2014;79(4):1682–8.
  58. Dutta P, Banerjee A. Synthesis of thiolated heterocycles via nucleophilic substitution. Org Biomol Chem. 2019;17(9):2250–8.
  59. Kim JY, Lee DH. Sulfur-modified oxazolones in drug discovery. Med Chem Res. 2021;30(5):1870–9.
  60. Rodriguez F, Martinez P. Functionalized oxazolones for biological applications. MedChem. 2018;13(14):1401–8.
  61. Zhao L, Wu X. Indole-fused oxazolones: synthesis and potential therapeutics. J Org Chem. 2022;87(15):9500–12.
  62. Kakkar S, Narasimhan B. A comprehensive review on biological activities of oxazole derivatives. BMC Chem. 2019;13:16.
  63. Narasimhan B, Sharma D, Kumar P. Biological activities of oxazole derivatives: a review. Med Chem Res. 2012;21:2669–98.
  64. Kumar R, Rawat DS, Jain SK. Design, synthesis, and biological evaluation of oxazolone derivatives as anticancer agents. Bioorg Med Chem Lett. 2015;25(12):2517–23.
  65. Shiradkar MR, Gangadasu HR. Design and synthesis of novel oxazolone derivatives as anti-inflammatory agents. Eur J Med Chem. 2011;46(5):1924–30.
  66. Datta S, Kumar D, Haldar PK. Antioxidant potential of oxazolone derivatives: a structure-activity relationship study. Pharm Chem J. 2013;47(8):598–605.
  67. Prasad YR, Krishnaiah M, Lingaiah P. Synthesis and antiviral activity of novel oxazolone derivatives. J Chem Pharm Res. 2009;1(1):31–9.
  68. Youssef ASA, Abou-Elmagd WSI. Oxazolone derivatives as potential neuroprotective agents against Alzheimer’s disease. Bioorg Med Chem Lett. 2020;30(5):127–34.
  69. Prasad YR, Krishnaiah M, Lingaiah P. Immunomodulatory potential of newly synthesized oxazolone derivatives. Int Immunopharmacol. 2012;14(2):297–303.
  70. Kumar R, Rawat DS, Jain SK. Oxazolone derivatives as HIV-1 integrase inhibitors: design and biological evaluation. Antiviral Res. 2018;153:152–61.

Photo
Pradeepa Prasad
Corresponding author

The Oxford College of Pharmacy, Hongasandra, Bangalore-68, Karnataka, India.

Photo
Lalremruati Chhakchhuak
Co-author

The Oxford College of Pharmacy, Hongasandra, Bangalore-68, Karnataka, India.

Photo
Mohammed Shafiq
Co-author

The Oxford College of Pharmacy, Hongasandra, Bangalore-68, Karnataka, India.

Photo
Sani Saziini
Co-author

The Oxford College of Pharmacy, Hongasandra, Bangalore-68, Karnataka, India.

Photo
M. Silambarasan
Co-author

The Oxford College of Pharmacy, Hongasandra, Bangalore-68, Karnataka, India.

Photo
Sriabinaya S
Co-author

The Oxford College of Pharmacy, Hongasandra, Bangalore-68, Karnataka, India.

Pradeepa Prasad*, Lalremruati Chhakchhuak, Mohammed Shafiq, Sani Saziini, Silambarasan M., Sriabinaya S., Oxazolone: From Chemical Structure to Biological Function – A Review, Int. J. of Pharm. Sci., 2025, Vol 3, Issue 9, 1494-1515 https://doi.org/10.5281/zenodo.17115485

More related articles
Nutritive Values, Preliminary Phytochemical and Ph...
Ganesh Salunke, Dr. Sachin Bhalekar, Ganesh Lamkhade, Sudarshan S...
Phytochemical and Pharmacological Evaluation of Ca...
Pratibha Verma, Suresh Kumar Nair, Manoj Kumar Mishra, Arvind Kum...
Nanostructured Lipid Carriers as Brain-Targeted Dr...
Madhuri Sonawane, Vidhya Thorat, Pooja Paliwal, Yashashri Deore, ...
From Genes to Drugs: Pharmacogenomic Strategies for Personalized Therapy in Indi...
Divya Tayade , Priyanshu Giripunje , Punam Jagnit, Nupur Falke, Lavanya Dhamne, Astha Nagrare, Nives...
Phytochemical Analysis On Christmas Tree Leaf (Araucaria heterophylla)...
Orodu Victor Enearepuadoh, Ucho Oghenerukevwe, ...
Related Articles
Phytochemical Profiling and In vitro Evaluation of Biological Activities of Cost...
Munish Sharma, Biplab Singha Deka, Raj Kumar, Sachin Thakur, ...
Assessment of Demographic, Hematological, and Biochemical Profiles in Type-2 Dia...
Dr. Saurabh Saklani , Pratyush Badola, Rakshit Rawat, ...
Nutritive Values, Preliminary Phytochemical and Physiochemical Screening of Plan...
Ganesh Salunke, Dr. Sachin Bhalekar, Ganesh Lamkhade, Sudarshan Shelke, Aditya Thorat, ...
More related articles
Nutritive Values, Preliminary Phytochemical and Physiochemical Screening of Plan...
Ganesh Salunke, Dr. Sachin Bhalekar, Ganesh Lamkhade, Sudarshan Shelke, Aditya Thorat, ...
Phytochemical and Pharmacological Evaluation of Capsicum Annuum ...
Pratibha Verma, Suresh Kumar Nair, Manoj Kumar Mishra, Arvind Kumar Shrivastava, ...
Nanostructured Lipid Carriers as Brain-Targeted Drug Delivery Vehicles in Neurod...
Madhuri Sonawane, Vidhya Thorat, Pooja Paliwal, Yashashri Deore, Rohan Sawant, Dr. P. N. Sable, ...
Nutritive Values, Preliminary Phytochemical and Physiochemical Screening of Plan...
Ganesh Salunke, Dr. Sachin Bhalekar, Ganesh Lamkhade, Sudarshan Shelke, Aditya Thorat, ...
Phytochemical and Pharmacological Evaluation of Capsicum Annuum ...
Pratibha Verma, Suresh Kumar Nair, Manoj Kumar Mishra, Arvind Kumar Shrivastava, ...
Nanostructured Lipid Carriers as Brain-Targeted Drug Delivery Vehicles in Neurod...
Madhuri Sonawane, Vidhya Thorat, Pooja Paliwal, Yashashri Deore, Rohan Sawant, Dr. P. N. Sable, ...