View Article

Abstract

The main aim of this research is to design and synthesize a scaffold of 2-phenyl indole derivatives and evaluate their anti-cancer activity against selected target protein EGFR Kinase protein (PDB ID: 3POZ) through various techniques, such as chemical synthesis, characterization, and in-silico modelling. The study aims to discover and evaluate novel compounds that could potentially be developed into effective anticancer drugs. The designed scaffolds were docked against EGFR kinase using Schrodinger suit software. 4 -(2-phenyl-1H indol- 1-yl) benzoic acid is synthesized by reaction between 2-Phenyl indole and para-amino benzoic acid. 2-Phenyl indole reacts with thioglycolic acid to yield [(2 -phenyl-4H-indol-4- yl) sulfanyl] acetic acid. The synthesized lead molecules were characterized by means of FTIR, Mass spectroscopic techniques. The molecule n4PI exhibited strong binding affinity with EGFR Kinase protein (PDB ID: 3POZ) with binding energy of -7 kcal/mol and thus turned out to be the most active 2-Phenyl indole derivative against EGFR Kinase protein. The synthesis of the novel 2 -phenyl indole derivatives was successful, and the compounds were characterized to confirm their chemical structures and purities.

Keywords

Anti-cancer activity, synthesis, characterization, EGFR, FTIR, Mass spectroscopy.

Introduction

1.1 Indole

Benzo pyrrole, which is produced by combining indigo with oleum, is known by the trivial term indole. Baeyer and Knop reduced indigo in 1866 to get two compounds, dihydroxy indole and oxindole, which they later proposed as the term "Indole." They believed that indigo was a derivative of C8H7N.Different pharmacological actions are present in heterocyclic compounds. Five or six members of an atom of nitrogen, sulphur, or oxygen are substituted and fused.[1] Heterocyclic compounds have a significant role in drug development and medical chemistry. 5-7 A fused heterocyclic compound, the indole nucleus consists of a five-membered pyrrole ring and a six-membered benzene ring. The majority of commercially accessible medications are heterocyclic molecules that contain nitrogen. In medicinal chemistry, the indole nucleus found in the derivatives plays a significant role in pharmacological actions such as anticancer, antiviral, antihypertensive, anti-inflammatory, analgesic, antibacterial, antifungal, and antidepressant properties.

Figure 1 : Biological activity of 2-phenyl indole

Indole is a crucial neurotransmitter that contains a heterocyclic nucleus, the backbone of the natural hormone melatoin, the neuro transmitter serotonin, and the vital amino acid tryptophan. The derivatives of indole have either been synthesized or extracted from natural sources. Indole alkaloids such as vincristine, vinblastine, and mitomycin, as well as their counterparts, are utilized in antibacterial and cancer chemotherapy, respectively. They are a good starting point for the creation of novel antibacterial and antifungal drugs since they contain indole. The main aim of this research is to design and synthesize a series of 2-phenyl indole derivatives with promising anticancer activity. Through various techniques, such as chemical synthesis, characterization, and in-silico modeling, the study aims to discover and evaluate novel compounds that could potentially be developed into effective anticancer drugs.[2,3,4]

MATERIALS USED

2.1 In-silico drug design studies

2.1.1 ChemDraw

Designing a molecule using ChemDraw is a powerful tool for creating chemical structures and visualizing molecular designs. ChemDraw allows you to represent organic and inorganic molecules in various formats. It offers a user-friendly interface and a range of tools and features that facilitate the creation of high-quality chemical diagrams.[5]

2.1.2 IBM RXN chemistry for Reaction prediction

A cloud-based platform called IBM RXN for Chemistry was created by IBM and uses machine learning (ML) and artificial intelligence (AI) methods to forecast and produce chemical reactions. It is intended to help researchers and chemists find and improve synthetic pathways and reactions[6].

2.1.3 PubChem for Molecular library

The National Centre for Biotechnology Information (NCBI), a division of the National Library of Medicine in the United States, is responsible for maintaining the free online database PubChem. It offers a thorough compilation of chemical data, such as chemical structures, characteristics, biological activity, and citations to academic publications. Chemists, researchers, and the general public can explore and access chemical and biological data with the help of PubChem[7]

2.1.4 RCSB Protein Data Bank (PDB)

The RCSB Protein Data Bank (PDB) is a comprehensive and widely-used online resource that provides access to three-dimensional structures of biological macromolecules, including proteins, nucleic acids, and complex assemblies. It is a collaborative effort between the Research Collaboratory for Structural Bioinformatics (RCSB), which includes Rutgers University, the University of California, San Diego, and the University of California, San Francisco.[8]

Schrodinger Suite for Docking studies

Schrodinger Suite, developed by Schrödinger, Inc., is a comprehensive software package widely used in computational chemistry and drug discovery. It provides a range of tools and modules for molecular modeling, simulations, structure-based drug design, and data analysis.[9]

Swiss ADME

SWISS ADME (Absorption, Distribution, Metabolism, and Excretion) is a web-based tool developed by the Swiss Institute of Bioinformatics (SIB) that provides predictions and assessments of various pharmacokinetic and drug-like properties of small molecules. It aids in the early stages of drug discovery and optimization by providing insights into the potential ADME characteristics of compounds.[10,11]

2.2 Molecular Docking

2.2.1 Software’s used

Table 1 Showing list of Software used for study

Sr. no

Software

Version

Company

1.

ChemDraw

12.0

Cambridge Soft

2.

IBM Rxn chemistry

Web application

IBM Research

3.

Pubchem

Webapplication

National institutes of Health

4.

RCSB PDB

Webapplication

World-wide protein data bank

5.

Swiss ADME

Webapplication

Swiss ADME

6.

Schondinger suit

2023-1

Schondinger

2.3 Synthesis

2.3.1 Equipment’s & apparatus used

The synthesis of 2-phenyl indole can be accomplished using various methods and reagents. The specific equipment and apparatus required may vary depending on the chosen synthetic route.[12,13,14,15]

Table 2 Showing list of Laboratory Equipment used in the study

SI no

Equipment’s used

Company

1.

Melting point apparatus

LABTRONICS

2.

Magnetic stirrer

KEMI

3.

UV-Vis spectrophotometer

ANTECH

4.

pH meter

KEMI

5.

Vaccum pump

VALUS

6.

Heating mantle

KEMI

7.

Electronic weighing balance

SHIMADZU

8.

Hot air oven

KEMI

9.

Fume cupboard

KEMI

Table 3 Showing list of Laboratory Apparatus used for the study

SI no

Apparatus used

Quantity

Company

1.

TLC plates, Developing chamber

1

BOROSIL

2.

Thermometer

1

LABWORLD

3.

Water bath

1

KEMI

4.

Round-bottom flask

1

BOROSIL

5.

Condenser

1

BOROSIL

6.

Separatory funnel

1

BOROSIL

7.

Beaker

3

BOROSIL

8.

Funnel

2

BOROSIL

9.

Glass rod

3

BOROSIL

10.

Watch glass

2

BOROSIL

11.

Measuring cylinder

2

BOROSIL

12.

Test tubes

1

BOROSIL

13.

Conical flask

1

BOROSIL

14.

Pipettes

4

BOROSIL

15.

Distillation apparatus

1

BOROSIL

METHODS

Scheme Preparation   

Figure 2 : Scheme I

Figure 3: Scheme II

Scheme I: Reaction with 2-Phenyl indole: 2-Phenyl indole reacts with Para amino benzoic acid to yield 4 -(2-phenyl-1H indol- 1-yl) benzoic acid(4PI)

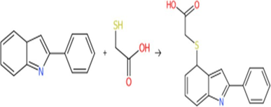
Scheme II: 2-Phenyl indole reacts with Thioglycolic acid to yield [(2 -phenyl-4H-indol-4- yl)sulfanyl]acetic acid.

Scheme I

Step-1: Preparation of Acetophenone phenyl hydrazone[16,17,18] 5.15 g of acetophenone (0.042mol) was taken in a conical flask containing 5 mL of Ethanol and 1 mL of glacial acetic acid. To the above mixture 4.53 g of phenyl hydrazine was added dropwise with constant swirling. Heat the reaction mixture in sand bath for 10 minutes and cool the resulting mixture in ice bath, allow the product to precipitate. Collect the precipitate by filtration on filter paper and wash with dilute hydrochloric acid (3 mL) followed by cold ethanol (5 mL). Allow the precipitate to air dry on the filter paper and recrystallized to get pure product from ethanol.

Step-2: Preparation of 2-Phenyl indole

Place crude acetophenone phenyl hydrazone beaker containing 15 mL of ortho phosphoric acid and 5 ml. of concentrated sulphuric acid. Heat the resulting mixture on the water bath for 20 minutes at 100-120°C with constant stirring. Pour the hot reaction mixture into 50 mL of cold water and wash the beaker with few mL of water. Collect the precipitated crude product on a filter paper, wash it with ethanol and allow it to air dry on the filter paper. Recrystallize the crude product from ethanol-water, using about g of decolorizing carbon and filter hot calculate the yield and obtain melting point.

Step-3: preparation of 4-(2-phenyl-1H-indol-1-yl) benzoic acid

A mixture of 2-phenyl indole (1.89g 0.01mol) and Para amino benzoic acid (1.37g 0.01mol) in ethanol (40ml) were refluxed for 4hours and excess of solvent was removed by distillation process. The resulting solid was dried and recrystalised from dilute ethanol to obtain the product.

SPECTRAL ANALYSIS: The synthesized derivatives were characterized using advanced analytical techniques like, Nuclear Magnetic Resonance (NMR) spectroscopy & Mass Spectrometry (MS)

RESULTS & DISCUSSION

5.1 In Silico Drug Design: The initial phase of the study involved the utilization of in silico techniques to design and predict the properties of novel 2-phenyl indole derivatives with potential therapeutic effects. Computational tools such as molecular docking, virtual screening, and pharmacokinetic analysis were employed to identify potential drug candidates. The results of the Insilco drug design phase revealed several compounds with favourable binding affinities and drug-like properties, suggesting their potential as effective drug molecules.

Sr. No.

Code

Compound

Docking score

No of H-

bonding

1.

 

1PI

 

 

[(2-phenyl-2,3-dihydro-1H-indol-4-yl)sulfanyl]acetic acid

 

-6

 

4

2.

3PI

 

 

4-(2-phenyl-1H-indol-1-yl)benzoic acid

 

-7

 

3

3.

 

 

 

n5PI

 

 

[2-(4-chlorophenyl)-3-ethyl-5-(methanesulfonyl)-1H indol-1-yl](phenyl)methanone

 

-6

 

7

4.

 

 

n4PI

 

 

benzyl 2-(3-chloro-4-methylphenyl)-2,3-dihydro-1H indole-3-carboxylate

 

-7

 

1

5.

 

 

 

n7PI

 

 

4-({5-chloro-2-[4-(methanesulfonyl)phenyl]-1H-indol-1- yl}methyl)phenol

 

-5

 

5

6.

 

 

n8PI

 

 

1-[(4-hydroxyphenyl)methyl]-2-[4- (methanesulfonyl)phenyl]-1H-indole-5-carboxylic acid

 

-5

 

8

7.

 

 

25PI

 

 

4-({2-[4-(methanesulfonyl)phenyl]-1H-indol-1- yl}methyl)phenol

 

-7

 

5

Standard drug

8.

 

STD

 

 

N-[2-(diethylamino)ethyl]-5-[(Z)-(5-fluoro-2-oxo-1H- indol-3-ylidene)methyl]-2,4-dimethyl-1H-pyrrole-3- carboxamide

 

-5

 

Result showing Physichochemical Properties, Lipophilicity, Druglikeness, Water Solubility, Pharmacokinetics, Medicinal Chemistry Parameter for each newly developed derivatives.

SMILE : OC(=O)CSc1cccc2c1CC(N2)c1ccccc1

Physicochemical Properties

Water Solubility

Formula

C16H15NO2S

Log S (ESOL)

-4.04

Molecular weight

285.36 g/mol

Solubility

2.61e-02

mg/ml ;

9.16e-05 mol/l

Num. heavy atoms

20

Class

Moderately

Soluble

Arom, heavy atoms

12

Log S (Ali)

-4.82

Fraction Csp3

0.19

Solubility

4.29e-03

mg/ml ;

1.50e-05 mol/l

Rotatable bonds

4

Class

Moderately

Soluble

H-bond acceptors

2

LogS(SILICOS-

IT)

-5.17

H-bond donors

2

Solubility

1.92e-03

mg/ml ;

6.75e-06 mol/l

Molar Refractivity

84.32

Class

Moderately

Soluble

Lipophilicity

Druglikeness

Log Po/w (iLOGP)

2.06

Lipinski

Yes; 0

Violation

Log Po/w

(XLOGP3)

3.57

Ghose

Yes

Log Po/w

(WLOGP)

2.68

Veber

Yes

Log Po/w

(MLOGP)

2.91

Egan

Yes

Log Po/w

(SILICOS)

3.15

Muegge

Yes

Consensus Log

Po/w

2.87

Bioavailability

0.85

Pharmacokinetics

Medicinal Chemistry

GI absorption

High

PAINS

0 alert

BBB permeant

Yes

Brenk

0 alert

P-gp substrate

Yes

Leadlikeness

No; 1

violation:

XLOGP3>3.5

CYP1A2 inhibitor

Yes

Synthetic

accessibility

2.99

Table 4.3 ; 4-(2-phenyl-1H-indol-1-yl)benzoic acid

 

 

SMILE : OC(=O)c1ccc(cc1)n1c(cc2c1cccc2)c1ccccc1

Physicochemical Properties

Water Solubility

Formula

C21H15NO2

Log S (ESOL)

-5.29

Molecular weight

313.35 g/mol

Solubility

1.62e-03

mg/ml ;

5.16e-06 mol/

Num. heavy atoms

24

Class

Moderately

soluble

Arom, heavy atoms

21

Log S (Ali)

-5.47

Fraction Csp3

0.00

Solubility

1.06e-03

mg/ml ;

3.38e-06 mol/l

Rotatable bonds

3

Class

Moderately

soluble

H-bond acceptors

2

LogS(SILICOS-

IT)

-6.85

H-bond donors

1

Solubility

4.45e-05

mg/ml ;

1.42e-07 mol/l

Molar Refractivity

95.67

Class

Poorly soluble

Lipophilicity

Druglikeness

Log Po/w (iLOGP)

2.61

Lipinski

Yes; 0

violation

Log Po/w

(XLOGP3)

4.85

Ghose

Yes

Log Po/w

(WLOGP)

5.00

Veber

Yes

Log Po/w (MLOGP)

3.98

Egan

Yes

Log Po/w

(SILICOS)

4.00

Muegge

Yes

Consensus Log

Po/w

4.09

Bioavailability

0.85

Pharmacokinetics

Medicinal Chemistry

GI absorption

High

PAINS

0 alert

BBB permeant

Yes

Brenk

0 alert

P-gp substrate

No

Leadlikeness

No; 1

violation:

XLOGP3>3.5

CYP1A2 inhibitor

Yes

Synthetic

accessibility

2.30

Table 4.4 ;benzyl 2-(3-chloro-4-methylphenyl)-2,3-dihydro-1H-indole-3- carboxylate

 

 

SMILE : O=C(C1C(Nc2c1cccc2)c1ccc(c(c1)Cl)C)OCc1ccccc1

Physicochemical Properties

Water Solubility

Formula

C23H20ClNO2

Log S (ESOL)

-5.82

Molecular weight

377.86 g/mol

Solubility

5.67e-04

mg/ml ; 1.50e- 06 mol/l

Num. heavy atoms

27

Class

Moderately

soluble

Arom, heavy atoms

18

Log S (Ali)

-6.08

Fraction Csp3

0.17

Solubility

3.11e-04

mg/ml ; 8.24e- 07 mol/l

Rotatable bonds

5

Class

Poorly soluble

H-bond acceptors

2

LogS(SILICOS-

-8.61

 

 

IT)

 

H-bond donors

1

Solubility

9.28e-07

mg/ml ; 2.45e- 09 mol/l

Molar Refractivity

111.38

Class

Poorly soluble

Lipophilicity

Druglikeness

Log Po/w (iLOGP)

3.68

Lipinski

Yes; 1

violation:

MLOGP>4.15

Log Po/w

(XLOGP3)

5.52

Ghose

Yes

Log Po/w

(WLOGP)

4.59

Veber

Yes

Log Po/w (MLOGP)

4.50

Egan

Yes

Log Po/w (SILICOS)

5.40

Muegge

No; 1

violation:

XLOGP3>5

Consensus Log

Po/w

4.74

Bioavailability

0.55

Pharmacokinetics

Medicinal Chemistry

GI absorption

High

PAINS

0 alert

BBB permeant

Yes

Brenk

0 alert

P-gp substrate

Yes

Leadlikeness

No; 2

violations:

MW>350, XLOGP3>3.5

CYP1A2 inhibitor

Yes

Synthetic

accessibility

3.55

Table4.5; [2-(4-chlorophenyl)-3-ethyl-5-(methanesulfonyl)-1H-indol-1- yl](phenyl)methanone

SMILE : CCc1c(c2ccc(cc2)Cl)n(c2c1cc(cc2)S(=O)(=O)C)C(=O)c1ccccc1

Physicochemical Properties

Water Solubility

Formula

C24H20ClNO3S

Log S (ESOL)

-6.44

Molecular weight

437.94 g/mol

Solubility

1.59e-04

mg/ml ; 3.62e-

07 mol/l

Num. heavy atoms

30

Class

Poorly soluble

Arom, heavy atoms

21

Log S (Ali)

-7.00

Fraction Csp3

0.12

Solubility

4.41e-05

mg/ml ; 1.01e- 07 mol/l

Rotatable bonds

5

Class

Poorly soluble

H-bond acceptors

3

LogS(SILICOS-

IT)

-9.05

H-bond donors

0

Solubility

3.92e-07

mg/ml ; 8.95e-

10 mol/l

Molar Refractivity

121.42

Class

Poorly soluble

Lipophilicity

Druglikeness

Log Po/w (iLOGP)

3.31

Lipinski

Yes; 1

violation:

MLOGP>4.15

Log Po/w (XLOGP3)

5.87

Ghose

No; 1

violation:

WLOGP>5.6

Log Po/w

(WLOGP)

6.70

Veber

Yes

Log Po/w (MLOGP)

4.92

Egan

No; 1

violation:

WLOGP>5.88

Log Po/w (SILICOS)

5.36

Muegge

No; 1

violation:

XLOGP3>5

Consensus Log

Po/w

5.23

Bioavailability

0.55

Pharmacokinetics

Medicinal Chemistry

GI absorption

High

PAINS

0 alert

BBB permeant

No

Brenk

0 alert

P-gp substrate

No

Leadlikeness

No; 2

violations:

MW>350,

 

 

 

XLOGP3>3.5

CYP1A2 inhibitor

No

Synthetic

accessibility

3.07

4.2 Reference compound sunitinib in the binding site of EGFR Kinase

Fig 4.3 showing binding of n4PI with Amino acids of EGFR Kinase

By analyzing the docking studies 3PI and n4PI molecule was found to be the better molecule among all other molecules. The n4PI molecule exhibited strong binding affinity with EGFR Kinase protein (PDB ID: 3POZ) with binding energy of -7 kcal/mol and thus turned out to be the most active 2-Phenyl indole derivative against EGFR Kinase protein. The results of the Insilco drug design phase demonstrated the successful utilization of computational techniques in identifying potential drug candidates. The selected compounds exhibited favourable binding affinities towards the target receptors, suggesting their potential therapeutic effects. The Insilco predictions served as a guide for the subsequent synthesis and evaluation of the compounds. The synthesis of the novel 2-phenyl indole derivatives was achieved through a well-established synthetic pathway.[19,20]

SYNTHESIS

Synthesis of Novel 2-Phenyl Indole Derivatives: Following the in-silico drug design, the selected compounds were synthesized using standard organic synthesis techniques. The synthetic pathway involved the modification of the indole core structure by introducing various substituents at different positions on the phenyl ring. The synthetic reactions were carried out under controlled conditions, and the desired compounds were obtained in good yields. The compound with high docking score (-7kcal/mol) 4-(2- phenyl-1H-indol-1-yl) benzoic acid were synthesised in Laboratory.[21,22] The melting point of the compounds were determined with the aid of Digital melting point apparatus.

Table 4.6. Melting point of Synthesized compound

Sr no.

Compound

Melting Point

1.

2-Phenyl indole

190 °C

2.

4-(2-phenyl-1H-indol-1-yl) benzoic acid

154 °C

Spectral analysis

Mass Spectra

The molecular ion peak appeared at m/z value is 313g/mol, corresponding to the molecular weight of the compound. The molecule 4-(2-phenyl-1 H–indole–1-yl ) benzoic acid has indole ring, phenyl group and benzoic acid group.[23]

Fragmentation pattern

  • Loss of phenyl group or benzyl group (77 Da): The phenyl group leading to a fragmentation ion at m/z at 237 Da, which forms the base peak.

313 - 77 (phenyl group) = 237 Da

Because of the presence of nitrogen atom in the indole ring the compound is highly stable and forms base peak at 237 Da.

  • Loss of Benzoic acid (121Da): The Benzoic acid leading to a fragmentation ion at m/z at 194 Da, which also forms a peak.

313 - 121 (Benzoic acid) = 194 Da

FTIR Spectra: Based on the FTIR data and the known structure of the compound, we can make some observations: The presence of peaks around 1600 cm^-1 suggests the presence of C-O stretching vibrations, which align with the carbonyl group in the aromatic ring of the indole moiety. The presence of peaks around 1309.03 cm^-1 and 1128.37 cm^-1 could indicate the C-N stretching vibrations in the indole ring. Peaks around 3000 cm^-1 and 3100 cm^-1 might correspond to various C-H bending and stretching vibrations in the aromatic rings and aliphatic groups. The peaks around 3484.72 cm^-1 suggest the presence of O-H stretching vibrations, which could be due to the hydroxyl group in the carboxylic acid or possibly hydrogen bonding interactions. Peaks in the range of 2544.14 cm^-1 and 1907.60 cm^- 1 might correspond to various functional groups like C≡C stretching vibrations and C≡N stretching vibrations. Overall, the observed peaks in the FTIR data do align with the expected functional groups present in 4-(2-phenyl-1H-indol-1-yl) benzoic acid.

FTIR Spectrum of 4-(2-phenyl-1H-indol-1-yl) benzoic acid

Sr no.

Functional group

Reference value

Observed value

1.

C=O

1642cm^-1 (Instrumental method of analysis, Pavia (3rd edition))

1600 cm^-1

2.

-OH

3300cm^-1 (Instrumental method of analysis, Pavia (3rd edition))

3484.72 cm^-1

3.

C-H

3074 cm^-1(Instrumental method of analysis, Pavia (3rd edition))

3000 cm^-1 and 3100 cm^-1

4.

C-N

1224.31cm^-1(Instrumental method of analysis, Pavia (3rd edition))

1309.03  cm^-1  and 1128.37 cm^-1

CONCLUSION:

The results obtained from this study pave the way for further investigations into the therapeutic applications of the synthesized compounds. The potential demonstrated in the molecular docking studies suggests that these compounds may hold promise for the development of novel therapeutics, particularly in the areas of cancer treatment. Future studies should focus on expanding the scope of in-vitro evaluations, as well as conducting in-vivo studies to assess the compounds' efficacy and safety profiles[24]. Overall, the integration of synthesis, characterisation and insilico drug design provides a robust approach for the discovery and evaluation of novel drug candidates. The successful outcome of this study opens up possibilities for the development of new and effective treatments for various diseases, thereby contributing to the advancement of pharmaceutical research and drug discovery.[25]

REFERENCES

  1. Foye WO, lemke TL, Williams DA. Foye’s principles of medicinal chemistry by. 6th ed. Philadelphia: Lippincott Williams and Wikins; 2008.
  2. Panchagnula R, Thomas NS. Biopharmaceutics and pharmacokinetics in drug research. Int J Pharm. 2000;201(2):131-50. doi: 10.1016/s0378- 5173(00)00344-6, PMID 10878321.
  3. Gombar VK, Silver IS, Zhao Z. Role of ADME Characteristics in Drug Discovery and Their in silico Evaluation: In silico Screening of Chemicals for their Metabolic Stability. Curr Top Med Chem. 2003;3(11):1205-25. doi: 10.2174/1568026033452014, PMID 12769701
  4. Patrick GL. An introduction to medicinal chemistry. Oxford university press; 2023.
  5. Thomas G. Medicinal chemistry: an introduction. John Wiley & Sons; 2011 Sep 20.
  6. Myers SH, Brunton VG, Unciti-Broceta A. AXL Inhibitors in Cancer: A Medicinal Chemistry Perspective: Miniperspective. Journal of medicinal chemistry. 2016 Apr 28;59(8):3593-608.
  7. Chen L, Shan G. CircRNA in cancer: fundamental mechanism and clinical potential. Cancer letters. 2021 May 1;505:49-57.
  8. Sridhar BT, Yernale NG, Gani RS, Gupta N, Ganachari SV, Mathada BS. A concise review on recent development of indole derivatives for anticancer activities. Journal of the Indian Chemical Society. 2024 Jul 24:101282.
  9. Kumari A, Singh RK. Medicinal chemistry of indole derivatives: Current to future therapeutic prospectives. Bioorganic chemistry. 2019 Aug 1;89:103021.
  10. Muhammed MT, Aki-Yalcin E. Molecular docking: principles, advances, and its applications in drug discovery. Letters in Drug Design & Discovery. 2024 Mar 1;21(3):480-95.
  11. Raval K, Ganatra T. Basics, types and applications of molecular docking: A review. IP International Journal of Comprehensive and Advanced Pharmacology. 2022 Mar 28;7(1):12-6.
  12. Hong Y, Zhu YY, He Q, Gu SX. Indole derivatives as tubulin polymerization inhibitors for the development of promising anticancer agents. Bioorganic & Medicinal Chemistry. 2022 Feb 1;55:116597.
  13. Gérard-Monnier D, Erdelmeier I, Régnard K, Moze-Henry N, Yadan JC, Chaudiere J. Reactions of 1-methyl-2-phenylindole with malondialdehyde and 4- hydroxyalkenals. Analytical applications to a colorimetric assay of lipid peroxidation. Chemical research in toxicology. 1998 Oct 19;11(10):1176-83.
  14. Li H, Zhu Z, Zhang F, Xie S, Li H, Li P, Zhou X. Palladium nanoparticles confined in the cages of MIL-101: an efficient catalyst for the one-pot indole synthesis in water. ACS Catalysis. 2011 Nov 4;1(11):1604-12.
  15. Schalper KA, Brown J, Carvajal-Hausdorf D, McLaughlin J, Velcheti V, Syrigos KN, Herbst RS, Rimm DL. Objective measurement and clinical significance of TILs in non– small cell lung cancer. Journal of the National Cancer Institute. 2015 Mar 1;107(3):dju435.
  16. Thanikachalam PV, Maurya RK, Garg V, Monga V. An insight into the medicinal perspective of synthetic analogs of indole: A review. European Journal of Medicinal Chemistry. 2019 Oct 15;180:562-612.
  17. Dadashpour S, Emami S. Indole in the target-based design of anticancer agents: A versatile scaffold with diverse mechanisms. European journal of medicinal chemistry. 2018 Apr 25;150:9-29.
  18. Chen Y, Ma J, Wang F, Hu J, Cui A, Wei C, Yang Q, Li F. Amygdalin induces apoptosis in human cervical cancer cell line HeLa cells. Immunopharmacology and immunotoxicology. 2013 Feb 1;35(1):43-51.
  19. SAHA S, JOSHI BC, JUYAL V, SAH AN. Computational Investigation of Geniposidic Acid as an Anticancer Agent Using Molecular Docking, Molecular Dynamic Simulation, DFT Calculation, and OSIRIS-Molinspiration Profiling. Physical Chemistry Research. 2023 Dec 1;11(4):801-23.
  20. Shafakat Ali NA, Ahmad Dar B, Pradhan V, Farooqui M. Chemistry and biology of indoles and indazoles: a mini-review. Mini reviews in medicinal chemistry. 2013 Oct 1;13(12):1792-800.
  21. Brancale A, Silvestri R. Indole, a core nucleus for potent inhibitors of tubulin polymerization. Medicinal research reviews. 2007 Mar;27(2):209-38.
  22. Bae SH, Jung ES, Park YM, Kim BS, Kim BK, Kim DG, Ryu WS. Expression of cyclooxygenase-2 (COX-2) in hepatocellular carcinoma and growth inhibition of hepatoma cell lines by a COX-2 inhibitor, NS-398. Clinical Cancer Research. 2001 May;7(5):1410-8.
  23. Machana S, Weerapreeyakul N, Barusrux S, Nonpunya A, Sripanidkulchai B, Thitimetharoch T. Cytotoxic and apoptotic effects of six herbal plants against the human hepatocarcinoma (HepG2) cell line. Chinese medicine. 2011 Dec;6(1):1-8.
  24. Paul S, Chotana GA, Holmes D, Reichle RC, Maleczka RE, Smith MR. Ir catalyzed functionalization of 2-substituted indoles at the 7-position: Nitrogen directed aromatic borylation. Journal of the American Chemical Society. 2006 Dec 13;128(49):15552-3.
  25. Kumari A, Singh RK. Medicinal chemistry of indole derivatives: Current to future therapeutic prospectives. Bioorganic chemistry. 2019 Aug 1; 89:103021.

Reference

  1. Foye WO, lemke TL, Williams DA. Foye’s principles of medicinal chemistry by. 6th ed. Philadelphia: Lippincott Williams and Wikins; 2008.
  2. Panchagnula R, Thomas NS. Biopharmaceutics and pharmacokinetics in drug research. Int J Pharm. 2000;201(2):131-50. doi: 10.1016/s0378- 5173(00)00344-6, PMID 10878321.
  3. Gombar VK, Silver IS, Zhao Z. Role of ADME Characteristics in Drug Discovery and Their in silico Evaluation: In silico Screening of Chemicals for their Metabolic Stability. Curr Top Med Chem. 2003;3(11):1205-25. doi: 10.2174/1568026033452014, PMID 12769701
  4. Patrick GL. An introduction to medicinal chemistry. Oxford university press; 2023.
  5. Thomas G. Medicinal chemistry: an introduction. John Wiley & Sons; 2011 Sep 20.
  6. Myers SH, Brunton VG, Unciti-Broceta A. AXL Inhibitors in Cancer: A Medicinal Chemistry Perspective: Miniperspective. Journal of medicinal chemistry. 2016 Apr 28;59(8):3593-608.
  7. Chen L, Shan G. CircRNA in cancer: fundamental mechanism and clinical potential. Cancer letters. 2021 May 1;505:49-57.
  8. Sridhar BT, Yernale NG, Gani RS, Gupta N, Ganachari SV, Mathada BS. A concise review on recent development of indole derivatives for anticancer activities. Journal of the Indian Chemical Society. 2024 Jul 24:101282.
  9. Kumari A, Singh RK. Medicinal chemistry of indole derivatives: Current to future therapeutic prospectives. Bioorganic chemistry. 2019 Aug 1;89:103021.
  10. Muhammed MT, Aki-Yalcin E. Molecular docking: principles, advances, and its applications in drug discovery. Letters in Drug Design & Discovery. 2024 Mar 1;21(3):480-95.
  11. Raval K, Ganatra T. Basics, types and applications of molecular docking: A review. IP International Journal of Comprehensive and Advanced Pharmacology. 2022 Mar 28;7(1):12-6.
  12. Hong Y, Zhu YY, He Q, Gu SX. Indole derivatives as tubulin polymerization inhibitors for the development of promising anticancer agents. Bioorganic & Medicinal Chemistry. 2022 Feb 1;55:116597.
  13. Gérard-Monnier D, Erdelmeier I, Régnard K, Moze-Henry N, Yadan JC, Chaudiere J. Reactions of 1-methyl-2-phenylindole with malondialdehyde and 4- hydroxyalkenals. Analytical applications to a colorimetric assay of lipid peroxidation. Chemical research in toxicology. 1998 Oct 19;11(10):1176-83.
  14. Li H, Zhu Z, Zhang F, Xie S, Li H, Li P, Zhou X. Palladium nanoparticles confined in the cages of MIL-101: an efficient catalyst for the one-pot indole synthesis in water. ACS Catalysis. 2011 Nov 4;1(11):1604-12.
  15. Schalper KA, Brown J, Carvajal-Hausdorf D, McLaughlin J, Velcheti V, Syrigos KN, Herbst RS, Rimm DL. Objective measurement and clinical significance of TILs in non– small cell lung cancer. Journal of the National Cancer Institute. 2015 Mar 1;107(3):dju435.
  16. Thanikachalam PV, Maurya RK, Garg V, Monga V. An insight into the medicinal perspective of synthetic analogs of indole: A review. European Journal of Medicinal Chemistry. 2019 Oct 15;180:562-612.
  17. Dadashpour S, Emami S. Indole in the target-based design of anticancer agents: A versatile scaffold with diverse mechanisms. European journal of medicinal chemistry. 2018 Apr 25;150:9-29.
  18. Chen Y, Ma J, Wang F, Hu J, Cui A, Wei C, Yang Q, Li F. Amygdalin induces apoptosis in human cervical cancer cell line HeLa cells. Immunopharmacology and immunotoxicology. 2013 Feb 1;35(1):43-51.
  19. SAHA S, JOSHI BC, JUYAL V, SAH AN. Computational Investigation of Geniposidic Acid as an Anticancer Agent Using Molecular Docking, Molecular Dynamic Simulation, DFT Calculation, and OSIRIS-Molinspiration Profiling. Physical Chemistry Research. 2023 Dec 1;11(4):801-23.
  20. Shafakat Ali NA, Ahmad Dar B, Pradhan V, Farooqui M. Chemistry and biology of indoles and indazoles: a mini-review. Mini reviews in medicinal chemistry. 2013 Oct 1;13(12):1792-800.
  21. Brancale A, Silvestri R. Indole, a core nucleus for potent inhibitors of tubulin polymerization. Medicinal research reviews. 2007 Mar;27(2):209-38.
  22. Bae SH, Jung ES, Park YM, Kim BS, Kim BK, Kim DG, Ryu WS. Expression of cyclooxygenase-2 (COX-2) in hepatocellular carcinoma and growth inhibition of hepatoma cell lines by a COX-2 inhibitor, NS-398. Clinical Cancer Research. 2001 May;7(5):1410-8.
  23. Machana S, Weerapreeyakul N, Barusrux S, Nonpunya A, Sripanidkulchai B, Thitimetharoch T. Cytotoxic and apoptotic effects of six herbal plants against the human hepatocarcinoma (HepG2) cell line. Chinese medicine. 2011 Dec;6(1):1-8.
  24. Paul S, Chotana GA, Holmes D, Reichle RC, Maleczka RE, Smith MR. Ir catalyzed functionalization of 2-substituted indoles at the 7-position: Nitrogen directed aromatic borylation. Journal of the American Chemical Society. 2006 Dec 13;128(49):15552-3.
  25. Kumari A, Singh RK. Medicinal chemistry of indole derivatives: Current to future therapeutic prospectives. Bioorganic chemistry. 2019 Aug 1; 89:103021.

Photo
Swathy Lakshmi N
Corresponding author

Dr. Moopen's College of Pharmacy

Photo
Dr. Lal Prasanth M L
Co-author

Dr. Moopen's College of Pharmacy

Photo
Anzu Varghese
Co-author

Dr. Moopen's College of Pharmacy

Photo
Safana Manakkal
Co-author

Dr. Moopen's College of Pharmacy

Photo
Muhammed Akthar
Co-author

Dr. Moopen's College of Pharmacy

Swathy Lakshmi N, Dr. Lal Prasanth M L, Anzu Varghese, Safana Manakkal, Muhammed Akthar, In Silico Drug Design, Molecular Docking, Synthesis and Characterization of 2-Phenyl Indole Derivatives, Int. J. of Pharm. Sci., 2025, Vol 3, Issue 7, 35-48. https://doi.org/10.5281/zenodo.15780096

More related articles
Anthelmintic Potential of Carica Papaya Seed Extra...
Sayed Nazira , Qureshi Mohammad Kaif, Ayesha Choudhary, Sayed Rah...
Advancements in Molecular Docking: A Comprehensive...
Kartiki Deshmukh, Diksha Gangurde, Dr. Kanchan Jagtap, ...
Brain Stroke ...
Shaik Abdul Saleha, B. Akhila, ...
A Comprehensive Review of Molecular Docking: Principles, Methods, Applications, ...
Sharmila B, Radhika M, Aarthi J, Joice P, Priyadharshini M. S, Madhumitha L, Sanjai R, Dinesh A, ...
The Impact Of Prone Position On Mechanically Ventilated Patients With COVID-19 A...
Abdulhakeem J Alotaibi, Abdulghafoor Alsomali, Abdulrahman Majrashi, Rana M Alotaibi, Shouq Saleh Al...
Formulation and Evaluation of Liposome Loaded Anti-Aging Cream...
R. Uma Prabha, Neelakanta, Nandhini. R, Nanditha. R, Navya. R. Reddy, Nisarga. S. T., ...
Related Articles
Evaluation Of Antilithiatic Activity of Bark Extracts of Breynia Rhamnoide Mull-...
Vaishnavi Shende , Shailesh Shende, Kalyani Kathole, Dr. Bhushan Gandhare, Dr. R. O. Ganjiwale, ...
Molecular Pharmacognosy: Applying a New Techniques to Natural Product Science...
Shubhangi G. Deshmukh, Bhavesh M. Ingle, Chetan D. Jadhav, ...
PH Dependent Herbal Nano Formulation: A Comprehensive Review...
Vaibhavi Sarda, Tanvi Dond, Priyanka Gaikwad , Anushka Malavade, ...
Anthelmintic Potential of Carica Papaya Seed Extracts in Paediatric Candies: A N...
Sayed Nazira , Qureshi Mohammad Kaif, Ayesha Choudhary, Sayed Rahebar, Raashi Sayed , Foorkan Fakki,...
More related articles
Anthelmintic Potential of Carica Papaya Seed Extracts in Paediatric Candies: A N...
Sayed Nazira , Qureshi Mohammad Kaif, Ayesha Choudhary, Sayed Rahebar, Raashi Sayed , Foorkan Fakki,...
Advancements in Molecular Docking: A Comprehensive Review of Methods and Their A...
Kartiki Deshmukh, Diksha Gangurde, Dr. Kanchan Jagtap, ...
Brain Stroke ...
Shaik Abdul Saleha, B. Akhila, ...
Anthelmintic Potential of Carica Papaya Seed Extracts in Paediatric Candies: A N...
Sayed Nazira , Qureshi Mohammad Kaif, Ayesha Choudhary, Sayed Rahebar, Raashi Sayed , Foorkan Fakki,...
Advancements in Molecular Docking: A Comprehensive Review of Methods and Their A...
Kartiki Deshmukh, Diksha Gangurde, Dr. Kanchan Jagtap, ...
Brain Stroke ...
Shaik Abdul Saleha, B. Akhila, ...