View Article

Abstract

Developing a novel topical Smilax China microemulsion drug delivery system was the aim of the project. In order to identify the essential components that will be used in the formulation and to ascertain the drug's solubility with different excipients, dried rhizomes from methanolic extraction of Smilax China in order to create the best solvent system for the new formulation. Psoriasis is a chronic, immune-mediated inflammatory skin disease characterized by hyperproliferation and aberrant differentiation of keratinocytes. The current therapeutic approaches include corticosteroids, vitamin D analogs, and systemic immunosuppressants, which often lead to adverse effects and limited long-term efficacy. There is increasing interest in the use of herbal-based therapeutics that offer efficacy with fewer side effects. Smilax China, a medicinal plant traditionally used in Chinese and Ayurvedic medicine, possesses potent anti-inflammatory, antioxidant, antimicrobial, and immunomodulatory properties, making it a potential candidate for the management of psoriasis. However, its poor solubility and low skin permeability pose formulation challenges. Microemulsion-based drug delivery systems have emerged as effective carriers for enhancing solubility, penetration, and bioavailability of herbal extracts. This review focuses on the formulation strategies and evaluation techniques of a topical microemulsion incorporating Smilax China extract for treating psoriasis. Emphasis is given to the therapeutic potential of the plant, the advantages of microemulsion systems, and the physicochemical and biological evaluation of the formulations. The formulation is positioned as a promising green and effective herbal dermatological therapy.

Keywords

Smilax China, microemulsion, topical delivery, anti-inflammatory, antioxidant, drug release, skin permeation, stability study

Introduction

Psoriasis affects approximately 2-3% of the global population and is associated with substantial physical and psychological burdens. It manifests in various clinical forms, with plaque psoriasis being the most common. Conventional therapies, though effective, are often accompanied by adverse reactions such as skin thinning, systemic toxicity, and resistance upon prolonged use. These limitations have prompted the exploration of safer and effective alternatives, particularly plant-based treatments.

Figure 1: Dried Rhizome of Smilax China.

Smilax china (Family: Smilacaceae) is well-known in traditional medicine for treating skin ailments, syphilis, arthritis, and chronic inflammatory conditions. Its rhizomes are rich in bioactive compounds such as steroidal saponins, flavonoids (e.g., quercetin, resveratrol), phenolic acids, and tannins, which contribute to its anti-inflammatory and immunomodulatory effects. Scientific studies have demonstrated its ability to inhibit cytokines like TNF-\u03b1, IL-6, and IL-1\u03b2, and suppress NF-\u03baB and MAPK signalling pathways, which are central to the pathogenesis of psoriasis. Microemulsions are thermodynamically stable, isotropic systems composed of oil, water, surfactant, and co-surfactant. They offer improved drug solubilization, controlled release, and enhanced skin permeability, making them suitable carriers for topical delivery of poorly soluble herbal extracts. This review aims to provide a comprehensive understanding of the formulation and evaluation of Smilax china-based topical microemulsions targeting psoriasis.

Aim

To design, formulate, and evaluate a stable topical microemulsion containing Smilax china extract that enhances dermal delivery, achieves adequate release, and exhibits effective anti?inflammatory activity.

Objectives

  1. To extract and characterize phytoconstituents from Smilax china rhizomes.
  2. To identify appropriate oils, surfactants, and co-surfactants for formulating microemulsions.
  3. To construct pseudoternary phase diagrams for identifying microemulsion regions.
  4. To develop and optimize a stable topical microemulsion formulation.
  5. To evaluate the physicochemical properties of the microemulsion (droplet size, PDI, zeta potential, pH, viscosity).
  6. To assess in vitro release and ex vivo skin permeation.
  7. To perform in vitro anti-inflammatory activity using relevant cellular models.
  8. To conduct stability studies under accelerated conditions.

Drug Profile

  • Botanical name: Smilax china L.
  • Family: Smilacaceae
  • Common names: China root, Chobchini
  • Parts used: Rhizomes and roots
  • Key constituents: Steroidal saponins, flavonoids (quercetin, kaempferol), resveratrol, tannins, phenolic acids
  • Pharmacological properties: Anti-inflammatory, antioxidant, antimicrobial, immunomodulatory, hepatoprotective, wound healing
  • Mechanism of action: Inhibits pro-inflammatory cytokines (TNF-\u03b1, IL-1\u03b2, IL-6), downregulates NF-\u03baB, COX-2, and MAPK pathways
  • Traditional uses: Treatment of skin diseases, arthritis, syphilis, and urinary tract infections

MATERIALS AND METHODS

Materials

  • Dried Smilax china rhizomes (authenticated), hydroalcoholic solvent (70% ethanol).
  • Oils: isopropyl myristate, oleic acid.
  • Surfactants: Tween 80 (Polysorbate 80), Span 20.
  • Co?surfactants: PEG 400, propylene glycol, ethanol.
  • Gel base excipients: Carbopol 940, triethanolamine.

Extraction and Standardization

Extraction Process

The rhizomes of Smilax China are selected based on botanical identification and authentication from a recognized institution or herbarium. After thorough cleaning, the plant material is shade-dried at room temperature to preserve the active phytoconstituents. Once dried, the rhizomes are pulverized into a coarse powder using a mechanical grinder and stored in airtight containers. For extraction, the powdered material is subjected to Soxhlet extraction using a 70% ethanol-water mixture, as hydroalcoholic solvents are known to efficiently extract both polar and moderately non-polar phytochemicals. The Soxhlet process is continued for approximately 8–10 hours or until the solvent in the siphon tube becomes clear. The extract is then filtered through Whatman No.1 filter paper.

Figure 2: Methanolic extraction of Smilax China in Soxhlet apparatus.

The filtrate is concentrated under reduced pressure using a rotary evaporator at a temperature below 45°C to avoid degradation of thermolabile components. The concentrated extract is finally dried under vacuum to obtain a semi-solid mass, which is stored in a desiccator at 4°C until further use.

Standardization of the Extract

Standardization ensures consistency, reproducibility, and quality control of the herbal extract, which is crucial for pharmaceutical formulation. The following parameters are considered for the standardization of Smilax china extract:

1. Preliminary Phytochemical Screening:

  • Qualitative tests are performed to identify major groups of phytochemicals such as:
    • Flavonoids (e.g., Shinoda test)
    • Phenolic compounds
    • Steroidal saponins
    • Tannins
    • Alkaloids

This helps establish the phytochemical fingerprint of the extract.

2. Quantitative Estimations:

  • Total Phenolic Content (TPC) is determined using the Folin–Ciocalteu method, expressed as mg gallic acid equivalents (GAE)/g of extract.
  • Total Flavonoid Content (TFC) is assessed using the aluminium chloride colorimetric method, expressed as mg quercetin equivalents (QE)/g of extract.
  • Saponin content may be estimated by gravimetric or spectrophotometric methods.

3. Chromatographic Profiling:

  • High-Performance Thin-Layer Chromatography (HPTLC) or High-Performance Liquid Chromatography (HPLC) is used to develop a chromatographic fingerprint.
  • Marker compounds such as quercetin, kaempferol, or resveratrol are used as standards to quantify the extract’s active constituents.

4. Physicochemical Parameters:

  • Moisture content (Loss on drying)
  • Ash value (total, acid-insoluble, and water-soluble ash)
  • Extractive values in alcohol and water
  • pH and viscosity.

Importance in Formulation

Standardization ensures batch-to-batch reproducibility and therapeutic consistency, which is vital when incorporating plant extracts into advanced drug delivery systems such as microemulsions. It also supports regulatory compliance and ensures safety and efficacy in clinical applications, especially in treating chronic conditions like psoriasis, where inflammatory pathways are critically involved.

Excipient Screening and Solubility Studies

The successful formulation of a stable and effective microemulsion system largely depends on the careful selection of suitable excipients—namely, oils, surfactants, and co-surfactants—which influence not only the solubilization of the active phytoconstituents but also the physicochemical stability, skin permeability, and therapeutic efficacy of the final product.

1. Importance of Solubility Studies

Solubility studies form the cornerstone of excipient screening, particularly in systems involving poorly water-soluble herbal extracts like Smilax china. These studies are essential for:

  • Ensuring the maximum solubilization of bioactive constituents.
  • Preventing precipitation during formulation and storage.
  • Enhancing drug loading capacity.
  • Improving dermal delivery and therapeutic outcomes.

2. Oil Phase Screening

The choice of oil is critical as it serves as the primary solubilizing medium for the lipophilic constituents of Smilax china such as steroidal saponins and flavonoids. Oils also affect the viscosity, droplet size, and permeation characteristics of the microemulsion. Commonly tested oils include:

  • Isopropyl myristate (IPM) – known for excellent skin permeation.
  • Oleic acid – enhances skin penetration by disrupting stratum corneum lipids.
  • Sesame oil or castor oil – offers emollient properties and good solubilizing capacity for herbal extracts.

Solubility of the extract is determined by adding an excess amount of extract to each oil, followed by vortexing and equilibration for 48–72 hours. The samples are then centrifuged, filtered, and analyzed spectrophotometrically to determine the concentration of solubilized extract.

3. Surfactant Selection

Surfactants help reduce interfacial tension and facilitate the dispersion of oil droplets within the aqueous phase, forming stable microemulsions. The selected surfactants should:

  • Have a high solubilizing capacity.
  • Be non-irritant and skin-friendly (preferably non-ionic).
  • Be able to stabilize the interface without causing phase separation.

Commonly evaluated surfactants include:

  • Tween 80 (Polysorbate 80) – a hydrophilic surfactant widely used in topical formulations.
  • Span 20 (Sorbitan monolaurate) – often used in combination with Tween to adjust the hydrophilic-lipophilic balance (HLB).

4. Co-Surfactant Selection

Co-surfactants help further reduce interfacial tension and provide flexibility to the interfacial film, aiding in the formation of microemulsions. They also enhance the solubility of both hydrophilic and lipophilic compounds. Examples include:

  • PEG 400 – improves solubilization and skin absorption.
  • Ethanol or propylene glycol – commonly used as penetration enhancers and solubilizers.

5. Screening Methodology

A preliminary solubility study is conducted by adding an excess amount of Smilax china extract into different individual excipients (oils, surfactants, and co-surfactants) in glass vials, which are then:

  • Vortexed for uniform mixing.
  • Stored at 25°C with intermittent shaking for 72 hours.
  • Centrifuged to remove undissolved material.
  • The supernatant is filtered through a 0.45 μm membrane filter.
  • The concentration of extract is determined using UV-visible spectroscopy.

The excipient with the highest solubilization capacity for the herbal extract is shortlisted for further development and phase diagram construction.

6. Significance in Microemulsion Development

The excipients chosen through solubility studies directly influence:

  • Droplet size distribution and polydispersity index (PDI).
  • Zeta potential and physical stability.
  • Drug release behaviour and skin permeation rate.
  • Viscosity and Spreadability of the gel form for topical application.

5.4 Phase Behaviour and Microemulsion Region Mapping

The development of a stable and effective topical microemulsion system necessitates a comprehensive understanding of its phase behaviour. This is critical for identifying the precise ratios of excipients that can spontaneously form microemulsions with desired properties such as low viscosity, thermodynamic stability, small droplet size, and optimal skin permeability. One of the most valuable tools for this purpose is the pseudoternary phase diagram, which visually represents the various phase regions formed by combinations of oil, surfactant/co-surfactant mixture (Smix), and aqueous phase.

1. Importance of Phase Behaviour Study

Phase behaviour analysis serves multiple purposes in formulation development:

  • Identifies the concentration range at which stable microemulsions are formed.
  • Prevents the formation of unstable or turbid emulsions and phase separation.
  • Enables optimization of surfactant/co-surfactant ratios.
  • Facilitates reproducible formulation development.

2. Preparation of Pseudoternary Phase Diagrams

The pseudoternary phase diagram is constructed by fixing the surfactant: co-surfactant (Smix) ratios and varying the proportion of oil, Smix, and water in systematic steps.

Procedure:

  • Select the optimal oil, surfactant, and co-surfactant based on solubility studies.
  • Prepare Smix in various fixed weight ratios (e.g., 1:1, 2:1, 3:1, 4:1).
  • Mix the oil phase with Smix in different ratios (e.g., 1:9 to 9:1).
  • Titrate each mixture with distilled water dropwise at room temperature.
  • Stir gently and observe for physical clarity or turbidity.
  • Each sample is classified based on appearance: transparent (microemulsion), turbid (emulsion), phase separation, or gel.

Figure 3: Pseudo-ternary phase diagram of an oil/surfactant/water system with illustrating the microemulsion, emulsion, and micellar phases.

The clear, isotropic, and single-phase regions are identified as microemulsion regions. These points are plotted on a ternary diagram using software or manually using equilateral triangles, where each apex of the triangle represents 100% of one of the three components: oil, Smix, and water.

3. Microemulsion Region Mapping

The size and shape of the microemulsion region within the pseudoternary diagram are influenced by:

  • The type of surfactant and co-surfactant (hydrophilicity and HLB value).
  • The Smix ratio: A higher ratio of surfactant can increase the area of microemulsion formation, though excessive surfactant may cause skin irritation.
  • The nature of the oil phase: Oils with better solubilizing and penetration-enhancing properties expand the microemulsion area.

The microemulsion region mapping allows formulators to:

  • Select ideal component ratios for formulation trials.
  • Predict formulation robustness and behaviour upon dilution.
  • Avoid unstable or metastable regions.

4. Interpretation and Relevance

  • A larger microemulsion region suggests higher formulation flexibility and robustness.
  • Narrow or limited regions may indicate the need for alternate Smix or oil phase selection.
  • Only the transparent, low-viscosity systems within the microemulsion region are selected for further characterization.

5. Application in Smilax China Microemulsion

In the case of Smilax China, which contains lipophilic flavonoids and steroidal saponins, the phase diagram helps determine the optimum blend of oil (e.g., IPM or oleic acid), Smix (Tween 80 and PEG 400), and water that ensures:

  • Maximum solubilization of the extract.
  • Enhanced skin permeation.
  • Physicochemical and thermodynamic stability.

These optimized regions are further evaluated for:

  • Droplet size and polydispersity index (PDI)
  • Zeta potential
  • Viscosity
  • In vitro skin permeation
  • Psoriatic plaque healing efficacy

5.5 Formulation Preparation

The preparation of a microemulsion involves the meticulous blending of selected components - oil, surfactant, co-surfactant, and aqueous phase—in proportions identified from phase behaviour studies to spontaneously form a clear, thermodynamically stable, and isotropic system. For topical delivery of Smilax china in the management of psoriasis, the goal is to encapsulate the phytoconstituents in a nano-sized dispersed system that enhances skin permeation, provides sustained release, and reduces local inflammation.

Figure 4: Phases of the microemulsion system.

1. Selection of Components

Based on solubility studies and pseudoternary phase diagram mapping, the following excipients are typically selected:

  • Oil phase: Provides a solubilizing environment for lipophilic constituents. Common choices include isopropyl myristate (IPM) or oleic acid for their skin permeation-enhancing properties.
  • Surfactant: Non-ionic surfactants like Tween 80 (Polysorbate 80) are preferred due to their low toxicity and skin compatibility.
  • Co-surfactant: Helps in further reduction of interfacial tension. Examples include PEG 400, ethanol, or propylene glycol.
  • Aqueous phase: Typically, purified or distilled water.

2. Preparation of Smix (Surfactant-Co-Surfactant Mixture)

Smix is prepared in predefined ratios based on the phase diagram (e.g., 1:1, 2:1, 3:1 Tween 80: PEG 400). The components are mixed thoroughly in a sealed glass vial and vortexed to ensure uniformity. This mixture facilitates the formation of a flexible interfacial film during microemulsion formation.

3. Microemulsion Formation Method

The microemulsion is typically prepared using the spontaneous emulsification method, which does not require high-energy input and is particularly suitable for thermolabile herbal components like those in Smilax china.

Step-by-step process:

  1. Oil Phase Incorporation:
    • A known quantity of the selected oil is measured and transferred into a beaker.
    • The Smilax china extract (in powder or oleaginous form) is dissolved in the oil phase under mild stirring or sonication.
  2. Smix Addition:
    • The pre-prepared Smix is gradually added to the oil-extract mixture under continuous stirring.
    • This forms the oil–Smix concentrate, which serves as the base for microemulsion formation.
  3. Aqueous Phase Titration:
    • Distilled water is added dropwise to the mixture with gentle stirring at room temperature.
    • The system transitions from turbid to clear, indicating the formation of a microemulsion.
    • The endpoint is determined when a clear, isotropic, and low-viscosity system is obtained.

4. Optimization and Observation

The formulated microemulsion is evaluated immediately for:

  • Clarity: Should appear transparent and homogeneous.
  • Phase Separation: Absence of creaming or sedimentation confirms stability.
  • Viscosity And Flow Behaviour: For topical application, a slightly viscous but spreadable formulation is ideal.
  • pH adjustment: Maintained in the skin-compatible range (typically pH 5.5–6.5).

Process:

  • The gelling agent is dispersed in water and neutralized with triethanolamine.
  • The microemulsion is slowly added to the gel base with continuous stirring to obtain a microemulsion-based gel.
  • The final formulation is stored in an airtight, light-protective container.

5. Advantages of the Methods

  • Thermodynamic stability: No need for high-shear homogenization or heating.
  • Ease of preparation: Suitable for scale-up and reproducibility.
  • Enhanced solubilization of poorly water-soluble phytoconstituents.
  • Improved skin retention and targeted delivery of active components.

Evaluation Parameters

  1. Physical appearance – Visual clarity, color, homogeneity.
  2. Droplet size & PDI – Measured by dynamic light scattering; expected <100?nm and PDI <0.3.
  3. Zeta potential – Indicates colloidal stability (e.g. ±30?mV desirable).
  4. Viscosity & rheology – Brookfield viscometer at skin?applicable shear.
  5. pH measurement – Preferably within skin?friendly range (5–6.5).
  6. In vitro drug release – Franz diffusion cell using synthetic membrane and phosphate buffer; kinetic modeling.
  7. Ex vivo skin permeation – Using excised animal skin (rat or pig), measuring flux and cumulative absorption.
  8. Stability tests – Centrifugation, freeze–thaw cycles, accelerated storage at 4?°C, 25?°C, 40?°C for up to 3 months.

Anti?inflammatory Activity Evaluation

Inflammation is a key pathological component of psoriasis, driven by a complex interplay of immune mediators such as TNF-α, IL-1β, IL-6, and NF-κB. Evaluating the anti-inflammatory potential of the formulated microemulsion containing Smilax china is essential to validate its therapeutic efficacy in managing psoriatic conditions. Both in vitro and in vivo models are employed for this purpose, depending on the stage of research and formulation maturity.

1. In Vitro Anti-Inflammatory Activity

A. Protein Denaturation Assay

This method evaluates the ability of the microemulsion to inhibit protein (e.g., albumin) denaturation, a common mechanism in inflammatory diseases.

Procedure:

  • A mixture of 1% aqueous bovine serum albumin (BSA) and the test sample (microemulsion) is prepared.
  • The pH is adjusted to 6.3 using HCl.
  • The solution is incubated at 37°C for 20 minutes, followed by heating at 70°C for 5 minutes.
  • The absorbance is measured at 660 nm using a UV spectrophotometer.
  • Diclofenac sodium or aspirin is used as a standard.

% Inhibition =

B. Membrane Stabilization Method (HRBC Assay)

This assay simulates the stabilization of lysosomal membranes in inflammation.

Procedure:

  • Human red blood cells (HRBCs) are collected, washed, and suspended in saline.
  • The test sample is mixed with the HRBC suspension and incubated at 56°C for 30 minutes.
  • Haemoglobin release is measured at 540 nm.
  • The protective effect against haemolysis reflects anti-inflammatory potential.

2. In Vivo Anti-Inflammatory Evaluation

A. Carrageenan-Induced Paw Edema (Rat Model)

A widely accepted model for acute inflammation, used to assess edema reduction.

Figure 5: Effect of PRE on paw edema induced by carrageenan in rats.

    1. epresentative images of foot swelling in each group 120 min after modeling. 
    2. b Quantitative statistics of foot swelling in each group at 30, 60, 90, and 120 min after modeling. 
    3. Representative image of H&E staining of rat paw. Data are presented as the mean ± SEM (n = 10). *p < 0.05, **p < 0.01.

Procedure:

  • Adult Wistar rats are divided into control, standard (diclofenac gel), and test (Smilax china microemulsion) groups.
  • Inflammation is induced by subplantar injection of 0.1 mL of 1% carrageenan into the hind paw.
  • The test formulation is applied topically 30 minutes prior to carrageenan injection.
  • Paw volume is measured at 0, 1, 2, 3, and 4 hours using a plethysmometer.

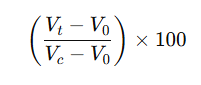
% Inhibition of Edema =

Where:

  • Vt: Paw volume of test group
  • Vc: Paw volume of control group
  • V0?: Initial paw volume

B. Histopathological Analysis

Post-treatment tissue samples from inflamed areas are collected and stained with H&E (haematoxylin & eosin) to observe:

  • Inflammatory cell infiltration
  • Epidermal thickening
  • Vascular dilation
  • Any signs of tissue necrosis

3. Molecular Marker Analysis (Advanced Studies)

For deeper mechanistic understanding, assays such as ELISA, Western blotting, or qRT-PCR can be employed to quantify inflammatory cytokines like:

  • TNF-α
  • IL-6
  • IL-1β
  • NF-κB

These biomarkers confirm the immunomodulatory potential of Smilax china constituents such as saponins, flavonoids, and phenolics.

4. Significance

  • Confirms the therapeutic relevance of the microemulsion in psoriasis.
  • Validates the bioactivity of phytoconstituents post-formulation.
  • Ensures topical safety and efficacy compared to synthetic alternatives.

Discussion & Potential Outcomes

Based on published studies:

  • The optimized Smilax china microemulsion is expected to show droplet size <100?nm, narrow PDI (~0.2), moderate viscosity, and stable zeta potential.
  • Enhanced in vitro release and ex vivo skin permeability compared to conventional gel.
  • Anti?inflammatory efficacy via inhibition of IL?1β, IL?6, TNF?α, and COX?2 signaling.
  • Stability over accelerated conditions, indicating long shelf?life.

The success of a topical delivery system for psoriasis relies on efficient skin penetration and targeted delivery of anti-inflammatory phytochemicals. By conducting thorough solubility studies and selecting excipients with proven skin permeation enhancement and safety profiles, the formulated microemulsion ensures:

  • Improved solubility and stability of active ingredients
  • Enhanced penetration into psoriatic lesions
  • Reduced systemic exposure and side effects

REFERENCES

  1. Wang M, Bai Q?X, Zheng X?X, Kuang H?X. Smilax china L.: botany, ethnopharmacology, phytochemistry and pharmacological effects. J Ethnopharmacol. 2023;298:116992.
  2. Siyi Jiang et?al. Anti?inflammatory effect of Smilax china L. extract via downregulation of MAPK and NF?κB signaling in LPS?stimulated THP?1 cells. Evid?Based Compl Alt. 2021;IC50 data and pathways.
  3. Kim HB et?al. Effects of Smilax china flower absolute on skin wound healing via keratinocyte migration and barrier protein expression. Chem Biodivers. 2021.
  4. Joo J?H et?al. Antimicrobial activity of Smilax china root extracts against Cutibacterium acnes. Molecules. 2022;27(23):8331
  5. Li X et?al. Phytochemicals in Smilax china EtOAc fraction and xanthine oxidase inhibitory activity. Int J Mol Sci. 2023.
  6. Lakhera A, Kandwal M, Patil S. Formulation and evaluation of topical microemulsion of Smilax china. Int J Pharm Sci. 2024;1423–1438.
  7. Waghmare K et?al. Nanoemulsion with Smilax china extract for anti?psoriasis activity (quercetin-based). IJPP Sci. 2024.
  8. Gupta J et?al. Herbal nanoemulsion in topical drug delivery: green?approach review. JRPS. 2022.
  9. Zahel P et?al. Microemulsion systems for glucocorticoids in wound dressings: applications in topical anti?inflammatory therapy. Pharmaceutics. 2024;16(4):504.
  10. Shao B et?al. Steroidal saponins from Smilax china and their anti?inflammatory activities. Phytochemistry. 2007;68(5):623?630.
  11. Wu LS et?al. Cytotoxic polyphenols from Smilax china against breast tumor cells. J Ethnopharmacol. 2010;130(3):460?464.
  12. Chen L?Y et?al. Anti?hyperuricemic and nephroprotective effects of Smilax china L. J Ethnopharmacol. 2011;135(2):399?405.
  13. Jinjie Jin, et?al. Broader phytochemical and pharmacological review including anti?obesity, cardiometabolic effects. African J Pharm Pharmacol. 2019.
  14. Kreilgaard M. Influence of microemulsions on cutaneous drug delivery. Adv Drug Deliv Rev. 2002;54(Suppl):S77–S98.
  15. Lawrence MJ, Rees GD. Microemulsion-based media as novel drug delivery systems. Adv Drug Deliv Rev. 2000;45(1):89?121.
  16. Shakeel F et?al. Microemulsions as drug delivery systems. Drug Discov Today. 2006;11(13?14):642?651.
  17. Rieger MM. Emulsion design for topical drug delivery. Cosmetic Toiletries. 2000;115:59?68.
  18. OECD Guidelines on skin absorption testing

Reference

  1. Wang M, Bai Q?X, Zheng X?X, Kuang H?X. Smilax china L.: botany, ethnopharmacology, phytochemistry and pharmacological effects. J Ethnopharmacol. 2023;298:116992.
  2. Siyi Jiang et?al. Anti?inflammatory effect of Smilax china L. extract via downregulation of MAPK and NF?κB signaling in LPS?stimulated THP?1 cells. Evid?Based Compl Alt. 2021;IC50 data and pathways.
  3. Kim HB et?al. Effects of Smilax china flower absolute on skin wound healing via keratinocyte migration and barrier protein expression. Chem Biodivers. 2021.
  4. Joo J?H et?al. Antimicrobial activity of Smilax china root extracts against Cutibacterium acnes. Molecules. 2022;27(23):8331
  5. Li X et?al. Phytochemicals in Smilax china EtOAc fraction and xanthine oxidase inhibitory activity. Int J Mol Sci. 2023.
  6. Lakhera A, Kandwal M, Patil S. Formulation and evaluation of topical microemulsion of Smilax china. Int J Pharm Sci. 2024;1423–1438.
  7. Waghmare K et?al. Nanoemulsion with Smilax china extract for anti?psoriasis activity (quercetin-based). IJPP Sci. 2024.
  8. Gupta J et?al. Herbal nanoemulsion in topical drug delivery: green?approach review. JRPS. 2022.
  9. Zahel P et?al. Microemulsion systems for glucocorticoids in wound dressings: applications in topical anti?inflammatory therapy. Pharmaceutics. 2024;16(4):504.
  10. Shao B et?al. Steroidal saponins from Smilax china and their anti?inflammatory activities. Phytochemistry. 2007;68(5):623?630.
  11. Wu LS et?al. Cytotoxic polyphenols from Smilax china against breast tumor cells. J Ethnopharmacol. 2010;130(3):460?464.
  12. Chen L?Y et?al. Anti?hyperuricemic and nephroprotective effects of Smilax china L. J Ethnopharmacol. 2011;135(2):399?405.
  13. Jinjie Jin, et?al. Broader phytochemical and pharmacological review including anti?obesity, cardiometabolic effects. African J Pharm Pharmacol. 2019.
  14. Kreilgaard M. Influence of microemulsions on cutaneous drug delivery. Adv Drug Deliv Rev. 2002;54(Suppl):S77–S98.
  15. Lawrence MJ, Rees GD. Microemulsion-based media as novel drug delivery systems. Adv Drug Deliv Rev. 2000;45(1):89?121.
  16. Shakeel F et?al. Microemulsions as drug delivery systems. Drug Discov Today. 2006;11(13?14):642?651.
  17. Rieger MM. Emulsion design for topical drug delivery. Cosmetic Toiletries. 2000;115:59?68.
  18. OECD Guidelines on skin absorption testing

Photo
Ashutosh Lakhera
Corresponding author

Shri Dev Bhoomi Institute of Education Science and Technology, Dehradun, Uttarakhand.

Photo
Meenakshi Kandwal
Co-author

Shri Dev Bhoomi Institute of Education Science and Technology, Dehradun, Uttarakhand.

Photo
Shivanand Patil
Co-author

Shri Dev Bhoomi Institute of Education Science and Technology, Dehradun, Uttarakhand.

Ashutosh Lakhera*, Meenakshi Kandwal, Shivanand Patil, Formulation and Evaluation of Topical Microemulsion of Smilax China, Int. J. of Pharm. Sci., 2025, Vol 3, Issue 8, 110-122. https://doi.org/10.5281/zenodo.16719842

More related articles
Investigation of Antibiotic Resistance in E. Coli ...
Soma Garani, Ahana Chakraborty, Subhrodipto Basu Choudhury, Sanja...
Formultion And Evaluation of Nutmeg Tan Removing C...
Komal Bahalaskar, Sayli Girbide, Shivanjali Dhakane, Varsha Bhise...
A Review on Formulation and Evaluation of a Topica...
Ujjwala Doltade, Harshada Mahadik, Shivani Menbudle, Soham Marath...
Hibiscus Sabdariffa: The Tropical Plant with A Wealth of Health Benefit ...
Swayam Shinde, Sakshi Wadhai, Deepika Prajapati, Mrunali Tade, Vartika Singh, ...
Formulation And Evaluation of Herbal Face Serum Using Clitoria Ternatea ...
Vaishnavi Mukhmale, Vanshree Rathod, Sakshi Patrikar, Nandkishor Deshmukh, Swati Deshmukh, ...
Formulation And Evaluation of Herbal Cold Cream ...
Amardeep Gajarlawar, Shrikant Mane , Vitthal Aherkar , Ansari Umais , Bhishma Shrikhande, Dr. Ramesh...
Related Articles
Evaluation Of Antidepressant Activity of Passiflora Edulis in Laboratory Animals...
Pratiksha Mhalsane, Dr. Kailash Biyani, Dr. Gopal Bihani, Dr. Pavan Folane , ...
Formulation And Evaluation Of Herbal Anti Dandruff Shampoo...
Rashmi C., Sariful Islam, Ashraful Anowar, Asraful Ambiya, Mohammad Rafid, Shiyas M. P., ...
An Overview of the Silver Nanoparticles: Synthesis Methods, Characterization Tec...
K. Nikitha, K. Jyothsna, K. Sai Seetha Lakshmi Harika, ...
Investigation of Antibiotic Resistance in E. Coli Isolated from Sewage Water...
Soma Garani, Ahana Chakraborty, Subhrodipto Basu Choudhury, Sanjay Dey, Tufan Dewan Badshah, ...
More related articles
Investigation of Antibiotic Resistance in E. Coli Isolated from Sewage Water...
Soma Garani, Ahana Chakraborty, Subhrodipto Basu Choudhury, Sanjay Dey, Tufan Dewan Badshah, ...
Formultion And Evaluation of Nutmeg Tan Removing Cream...
Komal Bahalaskar, Sayli Girbide, Shivanjali Dhakane, Varsha Bhise, Abhijeet Salunke, ...
A Review on Formulation and Evaluation of a Topical Herbal Approach for Menstrua...
Ujjwala Doltade, Harshada Mahadik, Shivani Menbudle, Soham Marathe, Amar Lokhande, Adhiraj Mhatre, ...
Investigation of Antibiotic Resistance in E. Coli Isolated from Sewage Water...
Soma Garani, Ahana Chakraborty, Subhrodipto Basu Choudhury, Sanjay Dey, Tufan Dewan Badshah, ...
Formultion And Evaluation of Nutmeg Tan Removing Cream...
Komal Bahalaskar, Sayli Girbide, Shivanjali Dhakane, Varsha Bhise, Abhijeet Salunke, ...
A Review on Formulation and Evaluation of a Topical Herbal Approach for Menstrua...
Ujjwala Doltade, Harshada Mahadik, Shivani Menbudle, Soham Marathe, Amar Lokhande, Adhiraj Mhatre, ...