View Article

  • Development and Pharmacological Assessment of 3-Substituted Isatin Analogues as Potential Anticonvulsant Agents

  • School of Medical Science and Research, Shubham University, Bhopal, Madhya Pradesh, India

Abstract

Epilepsy is one of the more common brain disorders characterised by recurrent spontaneous seizures of cerebral origin, presenting with episodes of sensory, motor, or autonomic phenomena with or without loss of consciousness. Many studies revealed that isatin is a privileged lead molecule for designing potential bioactive agents, and its derivatives constitute an important class of heterocyclic compounds and are shown to possess a broad spectrum of bioactivity. A variety of novel isatin derivatives 3a–3j were synthesised and characterised by spectroscopic means. The title compounds were investigated for anticonvulsant activity using the PTZ seizure test. Among the synthesised analogues, the most active one was 3a, and following 3a, the compound 3f shows potent anticonvulsant activity. Other compounds such as 3b,3h, and 3i show less potency than that of 3a and 3f. All compounds (25mg/kg) showed protection against clonus and jerky movements when compared to the standard drug Ethosuximide (25mg/kg).

Keywords

Epilepsy, Isatin, PTZ, Clonus, Jerky

Introduction

Epilepsy is one of the neurological disorders that involves abnormal electrical activity in the central nervous system, which results in spontaneous and recurrent seizures with or without loss of consciousness. It is a group of diverse syndromes affecting more than 50 million people of different ages worldwide, and it poses a substantial economic burden in terms of health care services and lost productivity at work. Furthermore, the presence and magnitude of related psychiatric conditions, such as anxiety and depressive disorders, make seizures worse and can impair the quality of life in several domains. Currently used antiepileptic drugs, such as phenytoin, phenobarbitone, and carbamazepine, are associated with serious side effects, and in several cases, they have failed to manage seizures adequately. Moreover, studies have disclosed that around 30% of patients are resistant to the conventional antiepileptic therapy. In this context, there is an urgent need to develop more efficacious antiepileptic drugs with reduced potential to induce side effects. Such new antiepileptic drugs should be explored based on original ideas to open new avenues for adequate control of this devastating disease. Researchers now follow three main modalities in attempts to develop new antiepileptic drugs: (I) chemical optimisation of currently existing drugs, (II) discovery of new therapeutic entities against novel potential therapeutic targets, and (III) conventional drug screening (nontarget-driven) approach.1-8

Isatin (indoline-2,3-dione) is a heterocyclic structure with a wide range of biodynamic activities.1-8

Current anticonvulsant drug targets:

Voltage-gated sodium channels:

Voltage-gated sodium channels are responsible for the depolarisation of the nerve cell membrane and conduction of action potentials across the surface of neuronal cells. They are expressed throughout the neuronal membrane, on dendrites, soma, axons, and nerve terminals. The density of expression is highest in the axon initial segment (AIS), where action potentials are generated. Sodium channels belong to a superfamily of voltage-gated channels that are composed of multiple protein subunits and form ion-selective pores in the membrane. The native sodium channel comprises a single alpha-subunit protein, which contains the pore-forming region and voltage sensor, associated with one or more accessory beta-subunit proteins, which can modify the function of the alpha-subunit but are not essential for basic channel activity 9-10

Voltage-gated calcium channels contribute to the overall electrical excitability of neurones, are closely involved in neuronal burst firing, and are responsible for the control of neurotransmitter release at presynaptic nerve terminals. Like sodium channels, voltage-gated calcium channels comprise a single alpha-subunit, of which at least seven are known to be expressed in mammalian brain. There are also accessory proteins, including beta- and alpha2delta-subunits, that modulate the function and cell-surface expression of the alpha-subunit but which are not necessarily essential for basic channel functionality. Voltage-gated calcium channels are commonly distinguished based on their biophysical properties and patterns of cellular expression. High-voltage-activated (HVA) channels respond to strong depolarisations and are involved in both pre-synaptic neurotransmitter release and the processing of synaptic inputs at the somatodendritic level. In contrast, the low-voltage-activated (LVA) channel opens in response to modest depolarisations at or below resting membrane potential and gives rise to transient currents which participate in intrinsic oscillatory activity.

Voltage-gated potassium channels:

Voltage-gated potassium channels are primarily responsible for repolarisation of the cell membrane in the aftermath of action potential firing and also regulate the balance between input and output in individual neurones. As a group, they are highly heterogeneous. More than 40 voltage-gated potassium channel alpha-subunits have been identified thus far, each of which is structurally similar to the alpha-subunits of voltage-gated sodium and calcium channels. These are classified into 12 sub-families (Kv1 to Kv12), with individual channels comprising four alpha-subunits from the same sub-family arranged around a central K+ sensitive pore, typically in a ‘two plus two’ conformation. Two functional classes of voltage-gated potassium channels are well described in the literature. Kv1 to Kv4 channels are expressed in dendrites, axons and nerve terminals and carry the delayed rectifier current (IK) that repolarises the neuronal membrane after action potential firing. In contrast, Kv7 channels are expressed in the cell soma and AIS and are responsible for the M-current, which determines the threshold and rate of neuronal firing and modulates the somatic response to dendritic inputs. Mutations in the KCNA1 gene, which encodes the Kv1.1 subunit, have been implicated in episodic ataxia type 1, while mutations in KCNQ genes, which encode Kv7 channels, are responsible for benign familial neonatal convulsions.

Inhibitory neurotransmission:

GABA is the predominant inhibitory neurotransmitter in the mammalian central nervous system and is released at up to 40% of all synapses in the brain. GABA is synthesised from glutamate by the action of the enzyme glutamic acid decarboxylase. Following release from GABAergic nerve terminals, it acts on both GABAA and GABAB receptors, with a net hyperpolarising or inhibitory effect. The GABAA receptor is a ligand-gated ion channel, comprising five independent protein subunits arranged around a central anion pore permeable to chloride and bicarbonate. Nineteen GABAA receptor subunits have been identified to date (alpha1-6, beta1-3, gamma1-3, delta, epsilon, theta, pi, and rho1-3), which come together as hetero pentamers to form functional channels. GABAA receptors mediating transient, rapidly desensitising currents at the synapse (phasic receptors) typically comprise two alpha-, two beta-and one gamma-subunit, whereas those at extra-synaptic sites and mediating long-lasting, slowly desensitising currents (tonic receptors) preferentially contain alpha4- and alpha6-subunits and a delta-subunit in place of the gamma-subunit. In contrast, the GABAB receptor is coupled, via a G-protein, to potassium channels which mediate slow hyperpolarisation of the post-synaptic membrane. This receptor is also found pre-synaptically, where it acts as an auto-receptor, with activation limiting further GABA release. GABA is removed from the synaptic cleft into localised nerve terminals and glial cells by a family of transport proteins, denoted GAT-1, GAT-2, GAT-3, and BGT-1. Thereafter, GABA is either recycled to the readily releasable neurotransmitter pool or inactivated by the mitochondrial enzyme GABA-transaminase. 

Excitatory neurotransmission:

Glutamate is the principal excitatory neurotransmitter in the mammalian brain. Following release from glutamatergic nerve terminals, it exerts its effects on three specific subtypes of ionotropic receptor in the postsynaptic membrane, designated according to their agonist specificities: AMPA, kainate and NMDA. These receptors respond to glutamate binding by increasing cation conductance, resulting in neuronal depolarisation or excitation. The AMPA and kainate receptor subtypes are permeable to sodium ions and are involved in fast excitatory synaptic transmission. In contrast, the NMDA receptor is permeable to both sodium and calcium ions and, owing to a voltage-dependent blockade by magnesium ions at resting membrane potential, is only activated during periods of prolonged depolarisation, as might be expected during epileptiform discharges. Metabotropic glutamate receptors perform a similar function to GABAB receptors; they are G-protein coupled and act predominantly as auto-receptors on glutamatergic terminals, limiting glutamate release. Glutamate is removed from the synapse into nerve terminals and glial cells by a family of specific sodium-dependent transport proteins (EAAT1–EAAT5) and is inactivated by the enzymes glutamine synthetase (glial cells only) and glutamate dehydrogenase.9-10

Current Anticonvulsant Drug:

 

Sr. No.

Name of drug

Structure of a drug

1

Carbamazepine

2

Clobazam

3

Clonazepam

4

Ethosuximide

5

Gabapentin

6

Lamotrigine

7

Phenytoin

8

Phenobarbital

9

Piracetam

10

Primidone

11

Valproic acid

12

Tigabine

HISTORY OF ISATIN:

Isatin (1H-indole-2, 3-dione) consists of an indole nucleus and two types of carbonyl groups, i.e., keto and lactam groups. It was discovered 150 years ago and is now known as oxindole and Endogenous polyfunctional heterocyclic compounds. It was first investigated by Erdman and Laurent in 1841 as a product from the oxidation of indigo by nitric and chromic acids. In nature, isatin is found in plants of the genus Isatis, in Calanthediscolor and in Couroupitaguianensis Aubl. It has also been found as a component of the secretion from the parotid gland of Bufo frogs, and in humans, it is a metabolic derivative of adrenaline. Substituted isatins are also found in plants, for example, the melosatin alkaloids (methoxyphenylpentylisatins) obtained from the Caribbean tumorigenic plant Melochia tomentosa, as well as from fungi: 6-(3’-methylbuten-2’-yl) isatin was isolated from Streptomyces albus and 5- (3’-methylbuten-2’yl) isatin from Chaetomium globosum. Isatin has also been found to be a component of coal tar. Isatin exhibits a wide range of pharmacological activities, including antimicrobial, anticancer, antiviral, anticonvulsant, anti-inflammatory, and analgesic properties. Different research groups have attempted to study the synthetic aspect of isatin.11

STRUCTURE ACTIVITY RELATIONSHIP:

  1. Substitution at positions 5, 6, and 7 improves the CNS activity.
  2. Nitration at C5 enhanced the anticancer activity by a factor.

while the addition of a methoxy group mildly increases the cytotoxicity.

  1. Halogenation yielded the most active compounds with 5-bromo, 5-iodo, and 5-fluoro isatin being 5-10 times more active than the unsubstituted parent compound.
  2. N-alkylation and acylation can be done on the position.
  3. If the substituted phenyl ring is substituted at position 3, then it enhances antimicrobial activity.
  4. Little variation at positions 2, 3 produces different degrees of biological activity12.

Fundamental reactivity of Isatins

Isatin will mainly react at three different sites, namely aromatic substitution, N-alkylation, and carbonyl reactions at C-3. If the system carries electron-withdrawing groups in the benzene ring or at the nitrogen, attack at C-2 can also occur.13

Aromatic substitution

Nitration of isatin yields 5-nitroisatin, where the reaction proceeds smoothly, but the temperature needs to be controlled precisely, or else the nitration will give rise to several nitrated products. When bromine was added to a solution of isatin in ethanol, dibromination occurred to yield 5,7-dibromoisatin in good yield. Nevertheless, mono-bromination at C-5 has been achieved by treatment of isatin with N-bromosuccinimide, while 5-chloroisatin was obtained by N-chlorosuccinimide.

N-Alkylation and N-acylation

Commonly, N-alkylation of isatin proceeds via the sodium salt of isatin, which is reacted with an appropriate alkylhalide or alkyl sulfonate. Methylation can, nevertheless, be achieved with other reagents, for example, potassiumtert-butoxide and dimethyloxalate. N-Acetylation was performed by heating isatin in acetic anhydride for a couple of hours.

Carbonylreactions

All ketones, as well as the C-3 carbonyl of isatin, are susceptible to nucleophiles. Ketalisation serves this perfectly, as a good example of nucleophilic attack on the carbonyl functionality.

Thusemployingethyleneglycol,1,2-ethanedithiolor2mercaptoethanolonisatinyieldsdifferentspiroketalsof oxindole. Grignard reagents also attack at C-3 and yield the 3-hydroxy-3-substituted oxindoles, which can readily be reduced to 3-substituted indoles.14-16

Synthetic Work:

Scheme 1.

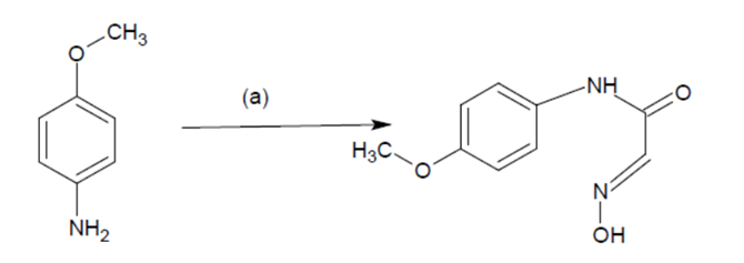
Step 1- Synthesis of isonitrosoacetanilide

Reagent and condition-(a)CCl3CH(OH)2,NH2OH.HCL,Na2SO4,45min heating

Procedure-

Chloral hydrate 4.5 g(0.027 mol) was dissolved in water (60 ml). To this solution, crystallized sodium sulfate 6.5 g, a solution of aniline 2.3 (0.025 mol) in water (15 ml), and concentrated hydrochloric acid 2.56 g( 0.026 mol) were added to dissolve the amine. To this hydroxylamine hydrochloride, 5.5 g(0.079 mol) dissolved in 25 ml was added. The flask was heated over a wire gauze by a burner for about 40– 45 minutes. After 1–2 minutes of vigorous boiling, the reaction was completed. During heating, some crystals of isonitrosoacetanilide were separated. On cooling, the solution in running water, the remainder was crystallized. It was filtered and air dried17

Sr No.

Parameter

Observation

1

Stationary phase

Silica gel G

2

Mobile phase

Ethyl acetate: Chloroform (3:2)

3

Rf value of the reactant

0.8

4

Rf value of the product

0.71

5

% yield

69%

6

colour

Brown

7

Nature

Solid

8

Melting point

164-166?

9

Hinsbergs test

Positive

Step 2- Synthesis of isatin

(b)H2SO4, heating for 10 min

Procedure  -

Concentrated sulfuric acid, 16.3 mL, was heated at 50?. To this dry isonitrosoacetanilide 3.75 g(0.023 mol) was added at such a rate as to keep the temperature between 60 and 70 ? but not higher. External cooling should be applied at this stage to carry out the reaction more rapidly. After the complete addition of isonitrosoacetanilide. The solution was heated at 80? and kept at this temperature for about 10 min to complete the reaction. Then the mixture was cooled to room temperature and was poured into 10–12 times its volume of crushed ice. After standing for 2 h, the isatin was filtered with suction, washed several times with cold water to remove sulfuric acid. It was then filtered, dried, and recrystallised.17

Sr. No.

Parameter

Observation

1

Stationary Phase

Silica gel G

2

Mobile phase

Toluene: Chloroform (2.5:2.5)

3

Rf value of the reactant

0.92

4

Rf value of Product

0.98

5

%yield

87.%

6

Colour

Orange

7

Nature

Solid

8

Melting point

252-254?

SCHEME 2-

Step 1-Synthesis of isonitrosoacetanilide

Reagent and condition-(a)CCl3CH(OH)2,NH2OH.HCL, Na2SO4,45min heating.

Procedure-

Chloral hydrate 4.5 g(0.027 mol) was dissolved in water (60 ml). To this solution, crystallized sodium sulphate 6.5 g, a solution of aniline 2.3 (0.025 mol) in water (15 ml), and concentrated hydrochloric acid 2.56 g( 0.026 mol) were added in order to dissolve the amine. To this, hydroxylamine hydrochloride 5.5 g(0.079 mol) dissolved in water 25 ml, was added. The flask was heated over a wire gauze by a burner for about 40– 45 minutes. After 1–2 minutes of vigorous boiling, the reaction was completed. During heating, some crystals of isonitrosoacetanilide were separated. On cooling, the solution in running water, the remainder was crystallized. It was filtered and air-dried. 17

Sr. No.

Parameter

Observation

1

Stationary Phase

Silica gel G

2

Mobile phase

Ethylacetate: Chloroform (2:3)

3

Rf value of the reactant

0.72

4

Rf value of Product

0.60

5

% yield

68.%

6

Colour

Black

7

Nature

Solid

8

Melting point

186-188?

9

Hinsbergs test

Positive

Step 2- Synthesis of isatin

Reagent and Conditions-(b)H2SO4,heating for 10 min

Procedure  -

Concentrated sulfuric acid, 16.3 mL, was heated at 50?. To this dry isonitrosoacetanilide 3.75 g(0.023 mol) was added at such a rate as to keep the temperature between 60 and 70 ? but not higher. External cooling should be applied at this stage to carry out the reaction more rapidly. After the complete addition of isonitrosoacetanilide. the solution was heated at 80? and kept at this temperature for about 10 min to complete the reaction. Then the mixture was cooled to room temperature and was poured into 10–12 times its volume of crushed ice. After standing for 2 h, the isatin was filtered with suction, washed several times with cold water to remove sulfuric acid. It was then filtered, dried, and recrystallised.17

Sr. No.

Parameter

Observation

1

Stationary Phase

Silica gel G

2

Mobile phase

Toluene: Chlorofrom (4:1)

3

Rf value of the reactant

0.94

4

Rf value of Product

0.91

5

%yield

89.%

6

Colour

Black

7

Nature

Solid

8

Melting point

200-202?

Step 3-Synthesis of isatin derivative

Reagent and specification-(c)Absolute ethanol, GAA, Aromatic amine, reflux

Procedure:

Isatin (5 mol) and aromatic amine or heterocyclic primary amine (5 mol) were refluxed in ethanol 50ml) in the presence of acetic acid as a catalyst for 0.5-2 hrs. Crystalized product separated by filtration 18

SPECTRAL ANALYSIS

6 Infrared Spectral Analysis:

IR Spectra of the compound taken using a Bruker ATR spectrophotometer.

6.1.1: ATR spectra of 5-chloro-1H-indole-2,3-dione

 

Fig no.6.1:ATR Spectra of 5-chloro-1H-indole-2,3-dione

Sr. No.

Observed frequency cm-1

Standard frequency cm-1

Functional Group

1

3097.68

3500-3100

N-H(Amine)

2

1747.51

1780-1650

C=O(Ketone)

3

1612.49

1780-1650

C=O(Ketone)

4

2993.52

3150-3050

C-H(Aromatic stretch)

5

748.38

785-540

C-Cl

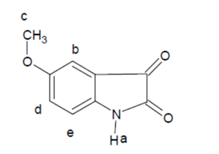
6.1.2 ATR spectra of 5-methoxy-1H-indole-2,3-dione

 

Fig no.6.2:ATR Spectra of 5-methoxy-1H-indole-2,3-dione

Sr. No.

Observed frequency cm-1

Standard frequency cm-1

Functional Group

1

1624.06

1780-1650

C=O(Ketone)

2

1732.08

1780-1650

C=O(Ketone)

3

3098.05

3150-3050

C-H(Aromatic)

4

3190.26

3500-3100

N-H(Amine)

5

1195.87

1300-1000

C-O(Ether)

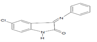
6.1.3: ATR Spectra of 5-chloro-3-[(4-chlorophenyl)imino]-1,3-dihydro-2H-indol-2-one

 

Fig no.6.3:ATR Spectra of 5-chloro-3-[(4-chlorophenyl)imino]-1,3-dihydro-2H-indol-2-one

Sr. No.

Observed frequency cm-1

Standard frequency cm-1

Functional Group

1

3248.13

3500-3100

N-H(Amine)

2

1662.64

1690-1640

C=N(Imine)

3

1732.08

1780-1650

C=O(Ketone)

4

3124.68

3150-3050

C-H(Aromatic)

5

698.32

785-540

C-Cl

6.1.4:ATR spectra of 5-chloro-3-[(4-methylphenyl)imino]-1,3-dihydro-2H-indol-2-on

 

Fig no.6.4:ATR Spectra of 5-chloro-3-[(4-methylphenyl)imino]-1,3-dihydro-2H-indol-2-one

Sr. No.

Observed frequency cm-1

Standard frequency cm-1

Functional Group

1

3244.27

3500-3100

N-H(Amine)

2

1654.90

1690-1640

C=N(Imine)

3

1732.08

1780-1650

C=O(Ketone)

4

3120.82

3150-3050

C-H(Aromatic)

5

698.23

785-540

C-Cl

5.1.5:ATR spectra of 3-[(4-bromophenyl)imino]-5-chloro-1,3-dihydro-2H-indol-2-one

 

Fig no.6.5:ATR Spectra of 3-[(4-bromophenyl)imino]-5-chloro-1,3-dihydro-2H-indol-2-one

Sr. No.

Observed frequency cm-1

Standard frequency cm-1

Functional Group

1

3265.49

3500-3100

N-H(Amine)

2

1658.50

1690-1640

C=N(Imine)

3

1749.50

1780-1650

C=O(Ketone)

4

3161.33

3150-3050

C-H(Aromatic)

5

509.21

785-540

C-Cl

6

617.22

‹667

C-Br

5.1.6:ATR spectra of 5-chloro-3-[(4-fluorophenyl)imino]-1,3-dihydro-2H-indol-2-one

 

Fig no.6.6:ATR Spectra of 5-chloro-3-[(4-fluorophenyl)imino]-1,3-dihydro-2H-indol-2-one

Sr. No.

Observed frequency cm-1

Standard frequency cm-1

Functional Group

1

3327.21

3500-3100

N-H(Amine)

2

1608.63

1690-1640

C=N(Imine)

3

1705.07

1780-1650

C=O(Ketone)

4

3223.05

3150-3050

C-H(Aromatic)

5

750.31

785-540

C-Cl

6

1288.4

1000-1400

C-F

6.1.7:ATR spectra of 5-chloro-3-[phenylimino]-1,3-dihydro-2H-indol-2-one

 

Fig no.6.7:ATR Spectra of 5-chloro-3-[phenylimino]-1,3-dihydro-2H-indol-2-one

Sr. No.

Observed frequency cm-1

Standard frequency cm-1

Functional Group

1

3253.91

3500-3100

N-H(Amine)

2

1606.70

1690-1640

C=N(Imine)

3

1730.15

1780-1650

C=O(Ketone)

4

3105.05

3150-3050

C-H(Aromatic)

5

700.16

785-540

C-Cl

6.1.8:ATR Spectra of  3-[(4-chlorophenyl)imino]-5-methoxy-1,3-dihydro-2H-indol-2-one

Fig no.6.8:ATR Spectra of 3-[(4-chlorophenyl)imino]-5-methoxy-1,3-dihydro-2H-indol-2-one

Sr. No.

Observed frequency cm-1

Standard frequency cm-1

Functional Group

1

3260.72

3500-3100

N-H(Amine)

2

1709.92

1780-1650

C=O(Ketone)

3

1665.56

1690-1640

C=N(Imine)

4

3100.18

3150-3050

C-H(Aromatic)

5

1022.29

1300-1000

C-O(ether)

6

708.85

785-540

C-Cl

6.1.9:ATR Spectra of 5-methoxy-3-[(4-methylphenyl)imino]-1,3-dihydro-2H-indol-2-one

Fig no.6.9:ATR Spectra of 5-methoxy-3-[(4-methylphenyl)imino]-1,3-dihydro-2H-indol-2-one

Sr. No.

Observed frequency cm-1

Standard frequency cm-1

Functional Group

1

3250.80

3500-3100

N-H(Amine)

2

1690.64

1780-1650

C=O(Ketone)

3

1608.66

1690-1640

C=N(Imine)

4

3100.20

3150-3050

C-H(Aromatic)

5

1026.15

1300-1000

C-O(ether)

6.1.10: ATR Spectra of  3-[(4-bromophenyl)imino]-5-methoxy-1,3-dihydro-2H-indol-2-one

Fig no.6.10:ATR Spectra of 3-[(4-bromophenyl)imino]-5-methoxy-1,3-dihydro-2H-indol-2-one

Sr. No.

Observed frequency cm-1

Standard frequency cm-1

Functional Group

1

3190.32

3500-3100

N-H(Amine)

2

1661.70

1690-1640

C=N(Imine)

3

1718.60

1780-1650

C=O(Ketone)

4

3114.13

3150-3050

C-H(Aromatic)

5

1021.33

1300-1000

C-O (ether)

6

617.23

‹667

C-Br

6.1.11:ATR Spectra of  3-[(4-fluorophenyl)imino]-5-methoxy-1,3-dihydro-2H-indol-2-one

Fig no.6.11:ATR Spectra of 3-[(4-fluorophenyl)imino]-5-methoxy-1,3-dihydro-2H-indol-2-one

Sr. No.

Observed frequency cm-1

Standard frequency cm-1

Functional Group

1

3280.01

3000-3100

N-H(Amine)

2

1658.81

1690-1640

C=N(Imine)

3

1708.96

1780-1650

C=O(Ketone)

4

3071.69

3150-3050

C-H(Aromatic)

5

1219.03

1300-1000

C-O (ether)

6

1023.25

1400-1000

C-F

6.1.12:ATR Spectra of  5-methoxy-3-[phenylimino]-1,3-dihydro-2H-indol-2-one

 

Fig no.5.12:ATR Spectra of 5-methoxy-3-[phenylimino]-1,3-dihydro-2H-indol-2-one

Sr. No.

Observed frequency cm-1

Standard frequency cm-1

Functional Group

1

3310.20

3000-3100

N-H(Amine)

2

1661.70

1690-1640

C=N(Imine)

3

1722.46

1780-1650

C=O(Ketone)

4

3110.20

3150-3050

C-H(Aromatic)

5

1023.25

1300-1000

O-C(ether)

6.2 NUCLEAR MAGNETIC RESONANCE ANALYSIS:

6.2.1: NMR Spectra of 5-chloro-1H-indole-2,3-dione in DMSO:

Fig no.6.13:NMR Spectra of 5-chloro-1H-indole-2,3-dione in DMSO:

Sr. No.

δ Value (PPM)

Splitting Pattern

Assignment of Hydrogen

1

11.1370

Singlet

NH (a)

2

7.6031

Singlet

Aromatic (b)

3

7.5091

Doublet

Aromatic(c)

4

6.9254

Doublet

Aromatic(d)

6.2.2: NMR Spectra of 5-methoxy -1H-indole-2,3-dione in DMSO:

Fig no.6.14:NMR Spectra of 5-methoxy -1H-indole-2,3-dione in DMSO:

Sr. No.

δ Value (PPM)

Splitting Pattern

Assignment of Hydrogen

1

10.8173

Singlet

NH(a)

2

7.5198

Singlet

Aromatic (b)

3

7.0135

Doublet

Aromatic(d)

4

6.9254

Doublet

Aromatic(e)

5

3.7226

Singlet

CH (c)

6.2.3: NMR Spectra of 5-methoxy-3-[(4-methylphenyl)imino]-1,3-dihydro-2H-indol-2-one  in DMSO:

Fig no.6.15:NMR Spectra of 5-methoxy-3-[(4-methylphenyl)imino]-1,3-dihydro-2H-indol-2-one  in DMSO:

Sr. No.

δ Value (PPM)

Splitting Pattern

Assignment of Hydrogen

1

10.0621

Singlet

NH (a)

2

7.6191

Doublet

Aromatic (b)

3

7.5565

Doublet

Aromatic(c)

4

7.3513

Singlet

Aromatic (e)

5

6.5700

Doublet

Aromatic(h)

6

3.3477

Singlet

CH (f)

5

2.0469

Singlet

CH(d)

6.3:MASS SPECTRAL ANALYSIS:

6.3.1: Mass of 5-chloro-1H-indole-2,3-dione.

Figure no. 6.16: Mass spectra 5-chloro-1H-indole-2,3-dione

Sr. No.

Molecular formula

Molecular weight

Mol. Ion peak (m/z)

1

C8H4O2NCl

181.00

181.00

6.3.2: Mass of 5-Methoxy-1H-indole-2,3-dione   

Figure no. 6.17: Mass spectra 5-Methoxy-1H-indole-2,3-dione

Sr. No.

Molecular formula

Molecular weight

Mol. Ion peak (m/z)

1

C9H7O3N

177.00

177.00

6.3.3: Mass of 5-chloro-3-[(4-methylphenyl)imino]-1,3-dihydro-2H-indol-2-one

Figure no. 6.18: Mass spectra 5-chloro-3-[(4-methylphenyl)imino]-1,3-dihydro-2H-indol-2-one

Sr. No.

Molecular formula

Molecular weight

Mol. Ion peak (m/z)

1

C15H11ON2Cl

271.00

271.07

6.3.4: Mass of 3-[(4-chlorophenyl)imino]-5-methoxy-1,3-dihydro-2H-indol-2-one

Figure no. 6.19: Mass spectra 3-[(4-chlorophenyl)imino]-5-methoxy-1,3-dihydro-2H-indol-2-one.

Sr. No.

Molecular formula

Molecular weight

Mol. Ion peak (m/z)

1

C15H11O2N2Cl

287.00

287.07

ANTICONVULSANT ACTIVITY:

Swiss Albino Mice (22-26g) were used for the experiment. They were housed in polypropylene cages with husk bedding, renewed every 48 hr under 12:12 hr light light-dark cycle at around 30±50C.19

The experiment was carried out according to the guidelines of the Committee for Control and Supervision of Experiments on Animals (CPCSEA), New Delhi, India, and the Institutional Animal Ethical Committee (IAEC) approved protocol for this study (IAEC /Feb 2018/24).

7.1 standard Drug: Ethosuximide 25mg/kg(1%DMSO) in Water for injection.

3-ethyl-3-methylpyrrolidine-2,5-dione

7.2 Control Drug: Pentylenetetrazole 80mg/kg(1%DMSO) in water for injection

6,7,8,9-tetrahydro-5H-tetrazolo[1,5-a]azepine

7.3 Test compounds used for study:

Sr. No

Code

Structure of derivative

Dose

1

3a

25mg/kg

In 1%DMSO in water for injection

(i.p.)

2

3b

25mg/kg

In 1%DMSO in water for injection

(i.p.)

3

3c

25mg/kg

In 1%DMSO in water for injection

(i.p.)

4

3d

25mg/kg

In 1%DMSO in water for injection

(i.p.)

5

3e

25mg/kg

In 1%DMSO in water for injection

(i.p.)

6

3f

25mg/kg

In 1%DMSO in water for injection

(i.p.)

7

3g

25mg/kg

In 1%DMSO in water for injection

(i.p.)

 

8

3h

(25mg/kg)

In 1%DMSO in water for injection

(i.p.)

9

3i

25mg/kg In 1%DMSO in water for injection

(i.p.)

10

3j

25mg/kg

In 1%DMSO in water for injection

(i.p.)

7.4 Methodology for drug administration:

A hypodermic needle, bent 30 degrees around 1 cm distances from the tip, was attached to it.

All drugs were suspended in DMSO (Dimethyl Sulphoxide 01%in water) and given by       Intraperitoneal Route.

7.5 Animal model for Anticonvulsant activity:

The Model for Anticonvulsant Activity is

  1. The pentylenetetrazole seizure test(PTZ)

7.5.1: The pentylenetetrazole seizure test(PTZ)

Substances: Ethosuximide, Pentylenetetrazole, and synthesized 3-substituted isatin derivatives.

Dose: Intraperitoneal(I.P)

Procedure:

1. Animals were numbered and weighed. Divided into groups, each containing three animals. One group was used for studying the effect of pentylenetrazole alone(control), and the other studied the protective effect of the standard (Ethosuximide) and test compounds.

2. Pentylenetetrazole was injected to control the animal, and the onset and duration of jerky and clonus movements of the whole body were noted.

3. Ethosuximide was injected into the second group. After 30 minutes, pentylenetetrazol was injected into those animals that received ethosuximide.  Onset and duration of jerky and clonus movements were noted. After 4 hours again, Pentylenetetrazole was injected into the animal to record Convulsions.

4. Either a delay or a complete absence of convulsion in mice with ethosuximide was noted.

5. The test compound in another group was injected. After 30 min, pentylenetetrazol was injected into those animals that had received the test compound..Onset and duration of jerky and clonus movements were noted. After 4 hours again, Pentylenetetrazole was injected into the animal to record Convulsions.

6. Either a delay or a complete absence of convulsion in mice with ethosuximide was noted. .19-20

7.6: Propose and Rationale:

As reported, isatin derivatives are an Indole ring system. These compounds were used in medicine because of their wide spectrum of biological activities. Such as Antidepressant, Antioxidant, Anti-HIV, Anticoagulant, Anti-inflammatory, etc.

In addition, many isatin derivatives have antidepressant properties. The recognition of key structural features within the isatin family is crucial for the design and development of new analogues with improved activity and for the characterization of their mechanism of action and potential side effects. The different substituents in the isatin nucleus strongly influence the biological activity of the resulting derivatives.21

RESULTS AND DISCUSSION:

An attempt was made to synthesize ten derivatives of 3,3-substituted 5-chloro-1H-indole-2,3-dione and 5-methoxy-1H-indole-2,3-dione and evaluate their anticonvulsant activity. The study was planned as per the literature reports available, and screening the structures for their anticonvulsant activity using PASS (Prediction of Activity Spectra for Substance)

The investigations were planned in the following manner,

    1. To synthesize 5-chloro-1H-indole-2,3-dione and 5-methoxy-1H-indole-2,3-dione
    2. To Substitute 5-chloro-1H-indole-2,3-Dione and 5-Methoxy-1H-indole-2,3-Dione to get  targeted compounds.
    3. To establish structure by IR, NMR & MASS spectra of synthesized compounds
    4. To evaluate the anticonvulsant activity of synthesized compounds.

8.1: Synthesis of Derivatives:

The following steps are involved in the synthesis of targeted compounds-

Step 1- Synthesis of isonitrosoacetanilide

Reagent and condition-(a)CCl3CH(OH)2,NH2OH.HCL,Na2SO4,45min heating

Step 2:Synthesis of isatin

(b)H2SO4, heating for 10 min

Step 3-Synthesis of isatin derivative

Reagent and specification-(c)Absolute ethanol, GAA, Aromatic amine, reflux

8.2 Derivatives and substitution:

Table no:8.2   Derivatives and their substitution

Sr. No.

Code

R

R1

1

3a

Cl

2

3b

Cl

3

3c

Cl

4

3d

Cl

5

3e

Cl

6

3f

CH3

7

3g

CH3

8

3h

CH3

9

3i

CH3

10

3j

CH3

8.3: Result of synthesized derivatives

Table 8.3: - Result of Synthesized Derivatives:

Sr. No.

Code

Molecular formula

Molecular weight

M.P (?)

Rf value

% yield

Colour

1

3I

C8H4O2Cl

181

252-254

0.98

87.00

orange

2

3II

C9H7O3N

177

200-202

0.91

89.00

brown

3

3a

C14H8ON2Cl2

291

272-274

0.73

78.94

brown

4

3b

C15H11ON2Cl

271

218-220

0.84

64.28

brown

5

3c

C14H8ON2ClBr

336

220-222

0.75

71.59

brown

6

3d

C14H8ON2ClF

275

210-212

0.86

72.22

brown

7

3e

C14H9ON2Cl

257

130-132

0.83

71.00

brown

8

3f

C15H11O2N2Cl

287

110-112

0.56

71.00

brown

9

3g

C16H14O2N2

266

120-122

0.61

75.00

brown

10

3h

C15H11O2N2Br

331

140-142

0.61

62.00

brown

11

3i

C15H11O2N2F

270

136-138

0.36

72.04

brown

12

3j

C15H12O2N2

256

126-128

0.75

93.00

brown

Solvent system: Ethyl acetate: Hexane (1:2)

8.4: Spectral interpretation of targeted synthesized compound:

The final compounds and intermediates were purified, and their structures were established by Infra-red, NMR spectra & Mass spectrum.

8.5: Result of Anticonvulsant activity:

Table no. 8.5:  Result of the PTZ Test

Group

Convulsion time(min)

0.5hr

4hrs

 

Duration of jerks (Mean ± SEM)

Duration of clonus (Mean ± SEM)

Duration of jerks (Mean ± SEM)

Duration of clonus (Mean ± SEM)

I

Control, PTZ

(80mg/kg)

5.143 ±0.008819

7.150±0.001732

5.167 ±0.00333

7.150± 0.0000

II

3a(25mg/kg)

1.487 ± 0.001764

1.017±  0.0088

1.567±  0.0088

1.100±  0.0115

III

3b(25mg/kg)

1.550±  0.0057

1.217±  0.0088

2.013±  0.0088

1.160±  0.0057

IV

3c(25mg/kg)

2.163±  0.0033

1.347±  0.0033

2.213±  0.017

1.440± 0.0200

V

3d(25mg/kg)

2.177±  0.0033

1.357±  0.0033

2.190±  0.0001

1.420± 0.0000

VI

3e(25mg/kg)

2.407±  0.00331

1.403±  0.0033

2.190±  0.000

1.420±  0.0000

VII

3f(25mg/kg)

1.553±  0.0066

1.250±  0.0000

1.507±  0.0066

1.263±0.0033

VIII

3g(25mg/kg)

2.013±  0.0033

1.253±  0.0120

2.083±  0.0166

1.290±  0.0057

IX

3h(25mg/kg)

2.240± 0.0057

1.467± 0.0066

2.280±  0.0057

1.533±  0.017

X

3i(25mg/kg)

2.363±  0.0033

1.553±  0.0066

2.380±  0.0057

1.560±  0.0000

XI

3j(25mg/kg)

2.480±  0.01155

1.477±  0.0088

2.523±  0.0170

1.533±  0.0176

XII

Ethosuximide

(25mg/kg)

1.123±  0.00145

0.5200±0.01155

1.180±0.001155

0.5533±0.0066

The values were expressed as Mean ± SEM, (n=3).

Group I was compared with group XII ( Unpaired t-test)

Test Group II to Test Group XI were compared to Group XII [standard (Ethosuximide)]

(One-way ANOVA followed by Dunnett's test)

Ns-non significant,* p < 0.05, **p < 0.01, ***p < 0.001.

Test groups (I) showed a very highly significant (p<0.001) decrease in jerky and clonus movement measured by the PTZ test method compared to group XII ( Ethosuximide ) after treatment of 0.5 and 4 hours. After that test group (III, VI,VII), i.e., Compound 3b, 3f and  then 3g shown significant(p<0.01) decrease in jerky and clonus movement by PTZ test method compared to group XII(Ethosuximide) after treatment of 0.5 and 4 hrs, but these were less significant than the compound(3a).

8.6:Graphical representation of Anticonvulsant activity by the PTZ test:

Figure no. 8.1:  Effect of synthesized isatin derivative and Standard drug (Ethosuximide) on mice after 0.5 and 4 hrs.(Observation of jerky movement).

Figure no. 8.2:  Effect of synthesized isatin derivative and Standard drug (Ethosuximide) on mice after 0.5 and 4 hrs.(Observation of Clonus movement).

The values are expressed as Mean ± SEM, (n=3). Test Group II to Test Group XI were compared to Group XII [standard (Ethosuximide)]

Ns-non significant,* p < 0.05, **p < 0.01, ***p < 0.001.

Test groups (I) showed a very highly significant(p < 0.001) decrease in jerky and clonus movement measured by the PTZ test method compared to group XII ( Ethosuximide ) after treatment of 0.5 and 4 hours. After that test group (III, VI, VII), i.e., Compound 3b,3f, and then 3g showed a significant(p,0.01) decrease in jerky and clonus movement by the PTZ test method compared to group XII(Ethosuximide) after treatment of 0.5 and 4 hrs, but this was less significant than the compound(3a).

CONCLUSION

Isatin is an important Pharmacophore. The Isatin nucleus, which is a useful structure for research and development of new pharmaceutical molecules, has received much attention in the last decade. Due to their anticonvulsant activities, new isatins have been synthesized and investigated for medical applications. As side effects of anticonvulsant drugs is widespread, there is an increasing necessity for the identification of novel structures which could lead to the design of new, potent, and less toxic anticonvulsant agents.

In addition, it is well documented that the Isatin nucleus is associated with a variety of pharmacological activities. The search for new anticonvulsant strategies has been mainly focused on the reduction of toxicity and enhancement of bioavailability.

Mode of action:

According to the literature, Isatin affects membrane excitability by an action on voltage-dependent sodium channels, which carry the inward membrane current necessary for the generation of an action potential. The blocking action shows the property of use-dependence in other words, they block preferentially the excitation of cells that are firing repetitively, and the higher the frequency of firing, the greater the block produced. This characteristic, which is relevant to the ability of drugs to block the high-frequency discharge that occurs in an epileptic fit without unduly interfering with the low-frequency firing of neurons in the normal state, arises from the ability of blocking drugs to discriminate between sodium channels in their resting, open, and inactivated states. Depolarisation of a neuron increases the proportion of the sodium channels in the inactivated state. Isatins bind preferentially to channels in this state, preventing them from returning to the resting state, and thus reducing the number of functional channels available to generate action potentials.

In conclusion, a series of new Substituted Isatin derivatives was successfully synthesized. Their structures were confirmed by 1H NMR, IR, and MS spectra. The Anticonvulsant evaluation showed that most of the synthesized compounds could effectively show anticonvulsant properties.

Test groups (I) showed a very highly significant (p<0.001) decrease in jerky and clonus movement measured by the PTZ test method compared to group XII ( Ethosuximide )after treatment of 0.5 and 4 hours.

After that test group (III, VI, VII) i.e., Compound 3b,3f, and then 3g, showed a significant(p<0.01) decrease in jerky and clonus movement by the PTZ test method compared to group XII(Ethosuximide) after treatment of 0.5 and 4 hrs, but this was less significant than the compound(3a).

REFERENCES

  1. H. M Osman, T. Elsaman Schiff Bases of Isatin and Adamantane-1-Carbohydrazide: Synthesis, Characterization, and Anticonvulsant Activity, Journal of Chemistry, 2021
  2. B. James, D.Edward, D Mark, Epilepsy introductory article, Encyclopaedia of life sciences.2001;(21):147-190
  3. J.W.Sander, Overview of established antiepileptic drugs, journal of Neurology.2010;(21):942-1023
  4. J. S Graeme, Mechanisms of action of antiepileptic drugs, Journal of Molecular and Clinical Pharmacology 2001;(25):56-76
  5. P. Kwan, G.J. Sills, The mechanisms of action of commonly used antiepileptic drugs. Journal of Pharmacology.2001;(90):21-34
  6. B.S.Meldrum, M.A. Rogawski, Molecular targets for antiepileptic drug development, Journal of Neurotherapeutics,2007;(4): 18-61
  7. E.E.Benarroch, GABA-A receptor heterogeneity, function, and implications for epilepsy, Journal of Neurology 2007;(68): 6124-6157
  8. M. A.Rogawski, AMPA receptors as a molecular target in epilepsy therapy, Journal of Neurology 2013; (197) (suppl): 9-18
  9. H. M Osman, T. Elsaman Schiff Bases of Isatin and Adamantane-1-Carbohydrazide: Synthesis, Characterization and Anticonvulsant Activity, Journal of Chemistry, 2021
  10. P. Kwan, G.J. Sills, The mechanisms of action of commonly used antiepileptic drugs. Journal of Pharmacology.2001;(90):21-34
  11. M. A.Rogawski, AMPA receptors as a molecular target in epilepsy therapy, Journal of Neurology 2013; (197) (suppl): 9-18
  12. V. B.Andrei, N. P.Tatiana, I. M.Lenar, Novelisoindigo derivatives bearing long-chain N-alkyl substituents: Synthesis and self-assemble behaviour, Journal of Chemical Physics Letters 2014; (594): 69–73
  13. S.M.Gabriela, S. Z.Renata, V.S.Bárbara, Convolutamydine A and synthetic analogues have antinociceptive properties in mice, Journal of Pharmacology, Biochemistry and Behavior, 2013;(103):431–439
  14. S.M.Gabriela, S. Z.Renata, V.S.Bárbara, Convolutamydine A and synthetic analogues have antinociceptive properties in mice, Journal of Pharmacology, Biochemistry and Behavior, 2013;(103):431–439
  15. G.Athina, B.Eugeni, D.John, Design, synthesis, computational and biological evaluation of new anxiolytics, Journal of Bioorganic & Medicinal Chemistry 2004;
  16. (12):6559–6568
  17. A. K Farhan, M.Aneela, N.Tayyaba, Advances in Pharmacology of Isatin and its Derivatives, Tropical Journal of Pharmaceutical Research.2015; 14(10): 1937-1942
  18. S.Govindraj, A.Veerachamy, D.Pandurangan, Anticonvulsant activity of novel 1-(morphomethyl)-3-substituted isatin derivatives, Bulletin of Faculty of Pharmacy, Cairo University. 2014:10-16
  19. K. S, Seshaiah, N. P.Surendra, P.S.James, Atmakuru R, Anticonvulsant activity of hydrazones, Schiff and Mannich bases of isatin Derivatives, European Journal of Pharmaceutical Sciences.2002;(16): 129–132
  20. S.K.Kulkarni,Handbook of experimentak pharmacology,Vallabh prakashan, .2012;(15):146-148
  21. H.Asif, A.Mohammad, Synthesis and anticonvulsant activity of some novel fused heterocyclic 1,2,4-triazolo-[3,4-b]-1,3,4-thiadiazole derivatives, Acta Poloniae Pharmaceutica - Drug Research.2009;(66):135-140
  22. P.Rekha, C.Meenu, A Review On Isatin and Its Pharmacological Profile, Am. J. Pharm Tech Res.2016;6(5):732-752

Reference

  1. H. M Osman, T. Elsaman Schiff Bases of Isatin and Adamantane-1-Carbohydrazide: Synthesis, Characterization, and Anticonvulsant Activity, Journal of Chemistry, 2021
  2. B. James, D.Edward, D Mark, Epilepsy introductory article, Encyclopaedia of life sciences.2001;(21):147-190
  3. J.W.Sander, Overview of established antiepileptic drugs, journal of Neurology.2010;(21):942-1023
  4. J. S Graeme, Mechanisms of action of antiepileptic drugs, Journal of Molecular and Clinical Pharmacology 2001;(25):56-76
  5. P. Kwan, G.J. Sills, The mechanisms of action of commonly used antiepileptic drugs. Journal of Pharmacology.2001;(90):21-34
  6. B.S.Meldrum, M.A. Rogawski, Molecular targets for antiepileptic drug development, Journal of Neurotherapeutics,2007;(4): 18-61
  7. E.E.Benarroch, GABA-A receptor heterogeneity, function, and implications for epilepsy, Journal of Neurology 2007;(68): 6124-6157
  8. M. A.Rogawski, AMPA receptors as a molecular target in epilepsy therapy, Journal of Neurology 2013; (197) (suppl): 9-18
  9. H. M Osman, T. Elsaman Schiff Bases of Isatin and Adamantane-1-Carbohydrazide: Synthesis, Characterization and Anticonvulsant Activity, Journal of Chemistry, 2021
  10. P. Kwan, G.J. Sills, The mechanisms of action of commonly used antiepileptic drugs. Journal of Pharmacology.2001;(90):21-34
  11. M. A.Rogawski, AMPA receptors as a molecular target in epilepsy therapy, Journal of Neurology 2013; (197) (suppl): 9-18
  12. V. B.Andrei, N. P.Tatiana, I. M.Lenar, Novelisoindigo derivatives bearing long-chain N-alkyl substituents: Synthesis and self-assemble behaviour, Journal of Chemical Physics Letters 2014; (594): 69–73
  13. S.M.Gabriela, S. Z.Renata, V.S.Bárbara, Convolutamydine A and synthetic analogues have antinociceptive properties in mice, Journal of Pharmacology, Biochemistry and Behavior, 2013;(103):431–439
  14. S.M.Gabriela, S. Z.Renata, V.S.Bárbara, Convolutamydine A and synthetic analogues have antinociceptive properties in mice, Journal of Pharmacology, Biochemistry and Behavior, 2013;(103):431–439
  15. G.Athina, B.Eugeni, D.John, Design, synthesis, computational and biological evaluation of new anxiolytics, Journal of Bioorganic & Medicinal Chemistry 2004;
  16. (12):6559–6568
  17. A. K Farhan, M.Aneela, N.Tayyaba, Advances in Pharmacology of Isatin and its Derivatives, Tropical Journal of Pharmaceutical Research.2015; 14(10): 1937-1942
  18. S.Govindraj, A.Veerachamy, D.Pandurangan, Anticonvulsant activity of novel 1-(morphomethyl)-3-substituted isatin derivatives, Bulletin of Faculty of Pharmacy, Cairo University. 2014:10-16
  19. K. S, Seshaiah, N. P.Surendra, P.S.James, Atmakuru R, Anticonvulsant activity of hydrazones, Schiff and Mannich bases of isatin Derivatives, European Journal of Pharmaceutical Sciences.2002;(16): 129–132
  20. S.K.Kulkarni,Handbook of experimentak pharmacology,Vallabh prakashan, .2012;(15):146-148
  21. H.Asif, A.Mohammad, Synthesis and anticonvulsant activity of some novel fused heterocyclic 1,2,4-triazolo-[3,4-b]-1,3,4-thiadiazole derivatives, Acta Poloniae Pharmaceutica - Drug Research.2009;(66):135-140
  22. P.Rekha, C.Meenu, A Review On Isatin and Its Pharmacological Profile, Am. J. Pharm Tech Res.2016;6(5):732-752

Photo
Pallavi Khedkar
Corresponding author

School of Medical Science and Research, Shubham University, Bhopal, Madhya Pradesh, India

Photo
Dr. Sarvesh Varma
Co-author

School of Medical Science and Research, Shubham University, Bhopal, Madhya Pradesh, India

Pallavi Khedkar, Dr. Sarvesh Varma, Development and Pharmacological Assessment of 3-Substituted Isatin Analogues as Potential Anticonvulsant Agents, Int. J. of Pharm. Sci., 2026, Vol 4, Issue 1, 456-482. https://doi.org/10.5281/zenodo.18163873

More related articles
A Review on Nutritional Requirements During Menstr...
Buddarthi Archana , Alka Nanda, Neetu Singh, Anu Ram Kalaish Mish...
Formulation Design and characterization of Antifun...
Pranali R. Gajbhiye, Yogesh N. Gholse, Rahul V. Jadhav, Nitin B. ...
Formulation and Evaluation of Herbal Cosmetics...
Neelam Bhagdewani, Sonali Devne, Smita Waghmare, Pratibha Shelke,...
Sweet Syndrome in Contrast: A Two-Case Comparative Study of Localized and System...
S. Iqra, Dr. C. Rajaram, S. Farida, S. Ayesha Ahamed, Dr. S. Prabhu Kiran Reddy, ...
In Silico and Experimental Insights into Anticancer Potential of Herbal Phytocon...
Naveen Kumar B S , B. Somasekhar , M. Rajeshwari , M. Mallikarjuna, Md. Faheem , Sneha Latha , Vinod...
Related Articles
Formulation and Evaluation of Anti aging Cream...
Ojasvita Anil Khole, Kamal Bahiram, Vaishnavi godase, Punam Sanap, Pradnya Gaikwad, ...
Fennel-Powered Elegance: Formulation, Evaluation, and Future Horizons of Peel-of...
Tanmayee Zade, Radhika Gupta, Ruchika S. Sawarkar, Dr. Dinesh Biyani, Milind Umekar, ...
Ocular and Systemic Manifestations of Behçet’s Disease: Exploring Pathogenesi...
Khadeejathul Mauseera, Diya Anzita, M. Mallikarjuna Gouda , ...
A Review on Nutritional Requirements During Menstrual Cycle Phases...
Buddarthi Archana , Alka Nanda, Neetu Singh, Anu Ram Kalaish Mishra, ...
More related articles
A Review on Nutritional Requirements During Menstrual Cycle Phases...
Buddarthi Archana , Alka Nanda, Neetu Singh, Anu Ram Kalaish Mishra, ...
Formulation Design and characterization of Antifungal Emulgel for Topical Delive...
Pranali R. Gajbhiye, Yogesh N. Gholse, Rahul V. Jadhav, Nitin B. Kohale, ...
Formulation and Evaluation of Herbal Cosmetics...
Neelam Bhagdewani, Sonali Devne, Smita Waghmare, Pratibha Shelke, Meenal Kubde, Pramod Ingale , ...
A Review on Nutritional Requirements During Menstrual Cycle Phases...
Buddarthi Archana , Alka Nanda, Neetu Singh, Anu Ram Kalaish Mishra, ...
Formulation Design and characterization of Antifungal Emulgel for Topical Delive...
Pranali R. Gajbhiye, Yogesh N. Gholse, Rahul V. Jadhav, Nitin B. Kohale, ...
Formulation and Evaluation of Herbal Cosmetics...
Neelam Bhagdewani, Sonali Devne, Smita Waghmare, Pratibha Shelke, Meenal Kubde, Pramod Ingale , ...