View Article

Abstract

Inflammatory diseases are widespread and affect millions of people worldwide. Current treatments of inflammatory diseases have limited efficacy and significant side effects. So an attempt is to be made to explore the anti-inflammatory activity of 1,3,4-oxadiazole. A novel series of 1,3,4-oxadiazole derivatives bearing imidazole moiety were designed using ACD Lab/ Chemsketch 12.0 and their properties were predicted using the Molinspiration software and they obeyed the Lipinski rule of five. The designed derivatives showing optimal physicochemical properties were selected for docking studies Docking studies of these compounds were performed on cox-2 (5IKQ) using Auto Dock Vina. The result obtained from the docking study revealed that compounds a35, a36, a26 showed good activities on cox-2. Overall, the study concluded that 1,3,4-oxadiazole derivatives bearing imidazole moiety could be considered as promising for the development of novel anti-inflammatory agents.

Keywords

1,3,4-oxadiazole, Imidazole, anti-inflammatory activity, Docking, In-silico design, cox-2, IR,1HNMR, MASS.

Introduction

Drug discovery aims at identifying a compound therapeutically useful in treating and curing a disease. Normally the drug discovery process starts with a biological target that has been shown to play a role in the development of the disease or begins from a molecule with interesting biological activities. The drug discovery process involves the identification of candidates, synthesis, characterization, screening, and assays for therapeutic efficacy. Once a compound has shown its value in these tests, it will begin the process of drug development prior to clinical trials. Drug discovery involves the combination of many disciplines and interests starting from a simple process of identifying an active compound.

Fig.1. General process of drug discovery

The first step in the drug development process is the identification of a new chemical entity that modifies a cell or tissue function. Once it shown to be effective and selective, a compound which is to be discovered must be completely free of toxicity, should have good bioavailability and marketable before it can be considered to be a therapeutic entity. Drug design is a creative science, a special technology, and an art all in one. [1][2][3][4][5] Azoles are nitrogen, sulfur and oxygen containing compounds with a five-membered ring system that comprises thiadiazole, oxadiazole, triazole, imidazole, pyrazole and other rings. These compounds exhibit wide range of medicinal applications in the treatment of various types of diseases. Imidazole have occupied a unique position in heterocyclic chemistry, and its derivatives have attracted considerable interests in recent years for their versatile properties in chemistry and pharmacology. Imidazole is nitrogen-containing heterocyclic ring which possesses biological and pharmaceutical importance. Thus, imidazole compounds have been an interesting source for researchers for more than a century.[6] Oxadiazole have  four possible isomer forms but 1,3,4-oxadiazole is widely explored for various applications. 1,3,4-oxadiazoles are the heterocyclic compounds containing one oxygen and two nitrogen atom in a five membered ring which posses wide range of biological activities such as antibacterial, antifungal, anti-inflammatory and anticancer activity. The ring in 1,3,4-oxadiazole is aromatic due the presence of conjugated pi electrons. This gives it stability and influences its reactivity.[7][8]

Fig.2. 2D Structure Of 1,3,4-Oxadiazole

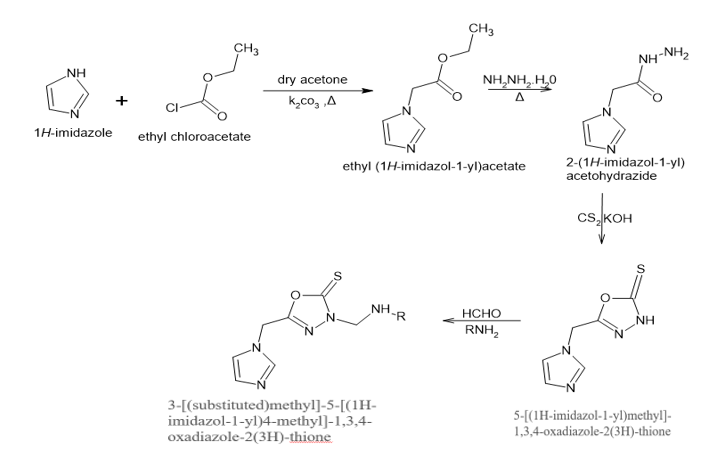
When cells are damaged, the body's defense mechanism, inflammation, causes immune cells to proliferate in an attempt to eradicate the stimulus. Prolonged inflammation, however, is harmful and can result in a variety of pathological conditions, including cancer, atherosclerosis, arthritis, and neurological diseases. Phospholipase A2 activation initiates the inflammatory response by causing the lipid bilayer of the cell membrane to release arachidonic acid (AA). Cyclooxygenase enzymes (COX-1 and COX-2) quickly break down AA into prostaglandin H2 (PGH2), which is then transformed into eicosanoids like prostaglandin (PG), prostacyclin (PGI2), and thromboxanes (TXA2). These eicosanoids control the production of inflammatory cytokines and the emergence of common inflammation symptoms like fever, redness, swelling, and pain. 1,3,4- oxadiazole have been found to exhibit potential anti-inflammatory activity. So novel drugs needs to be developed to overcome the treatment failures.[9][10][11][12][13] In this study, we have designed and evaluated a series of new 1,3,4-Oxadiazole derivatives of  3-[(substituted)methyl]-5- [(1H- imidazole-1-yl)4-methyl] -1,3,4-oxadiazole -2(3H)- thione ,in search of potent anti-inflammatory agents through In-silico studies.

Scheme Of Work [14]

MATERIALS AND METHODS

ACD Lab Chemsketch

ACD/ChemSketch is a molecular modeling application that allows users to create and edit chemical structure images. It also has capabilities like molecular property calculations (e.g., molecular weight, density, molar refractivity, etc.), cleaning and viewing of 2D and 3D structures, naming structures (less than 50 atoms and 3 rings), and logP prediction. Using ACD Labs Chemsketch version 12.0, the compounds' chemical structures and SMILES notations were acquired.[16]

ACD/ChemSketch has the following major capabilities:  

· Structure Mode for drawing chemical structures and calculating their properties.

· Draw Mode for text and graphics processing.

· Molecular Properties calculations for automatic estimation of formula weight, percentage composition, molar refractivity, molar volume, parachor, surface tension, density, dielectric constant, polarizability

Molinspiration

Molinspiration is an independent research organization focused on development and application of modern cheminformatics techniques, especially in connection with the internet. It offers broad range of cheminformatics software tools supporting molecule manipulation and processing, including SMILES and SD file conversion, normalization of molecules, generation of tautomers, molecule fragmentation, calculation of various molecular properties needed in QSAR, molecular modelling and drug design, high quality molecule depiction, molecular database tools supporting substructure search or similarity and pharmacophore similarity search. SMILES notations of the selected derivatives were fed in the online Molinspiration software (https://www.molinspiration.com/) to predict the drug likeness properties. Lipinski’s rule of five is used in drug design and development to predict oral bioavailability of potential lead or drug molecules. Lipinski rule is also known as Pfizers rule of five / Lipinski’s rule of 5. The rule was formulated by the scientist Christopher A Lipinski. The Lipinski rule of five states that an orally active drug should obey the following criteria: 1. Not more than five hydrogen bond donors 2. Not more than 10 hydrogen bond acceptors 3. Molecular weight less than 500 Daltons 4. An octanol-water partition coefficient log P not greater than 5 5. Not more than 5 rotatable bonds.[17]

PASS (Prediction of Activity Spectra for Substances)

 PASS is a program used for calculating sample sizes or determining the statistical power of a test or confidence interval in research studies. NCSS LLC is the company that produces PASS. It is a comprehensive software package with over 290 documented sample size and power procedures. It’s widely recognized as the leading tool for determining sample sizes in various fields such as clinical trials, pharmaceuticals, and medical research. Inputting the structural formula of a drug-like substance into specialized software can provide an estimated biological activity profile as an output.

Protein Data Bank

The Protein Data Bank (PDB) is a online database that stores three-dimensional structural data of large biological molecules, including proteins and nucleic acid. This data is gathered using techniques like X-ray crystallography, NMR spectroscopy, and cryo-electron microscopy.  Scientists worldwide contribute to the database, and the information is freely accessible through member organization websites like PDBe, PDBj, RCSB and BMRB. The Protein Data Bank (PDB)is overseen by the Worldwide Protein Bank(wwPDB), an organization responsible for managing and maintaining the database. The PDB plays a crucial role in structural biology, particularly in areas like structural genomics. Many top scientific journals and funding agencies now mandate scientists to submit their structural data to the Protein Data Bank (PDB).[18][19][20]

Protein preparation

The typical structure file from the PDB may require preprocessing before it can be readily utilized in molecular modelling calculations. It consists of only heavy atoms and may include a co-crystallized ligand, water molecules, metal ions, activators, cofactors and several protein subunits. According to the requirement protein is pre-processed, optimized and minimized with forcefield. Optimization involves water removal and minimization. The protein structure was refined. The ionization structure and most stable were chosen.

Ligand preparation

Ligand preparation involved energy of the ligands. Ligprep [Schriinger, 2010] facilitated this process by adding hydrogen, converting 2D structures to 3D, generating stereoisomers, and optionally neutralizing charged structures or determining the most probable ionization state at a user-defined PH. All the structures were ionized at a neutral pH of 7. Conformers for each ligand were generated using Conf Gen, applying the OPLS-2005 force field method.

Docking

Molecular docking is a structure-based computational method that generates the binding mode and affinity between ligands and targets by predicting their interactions [18, 19]. There are several docking tools used for this purpose. AutoDock, AutoDock Vina, GOLD, Glide, MOE, ICM, and FlexX are amongst the popular software in use. Molecular docking has various applications in the drug discovery and design process. In the early years of its application, it was mainly used to investigate the molecular interactions between ligands and targets. [21][22]

AutoDock

AutoDock comprises 3 C programs, AutoTors, responsible for refining ligand input, AutoGrid, which calculates interaction energies using macromolecular coordinates, and AutoDock itself, tasked with the actual docking process. AutoDock effectively reproduces ligand positions by considering six spatial degrees of freedom-rotation and translation. It accurately captures crystallographically determined positions for ligands with up to eight torsional degrees of freedom. It’s simulated annealing search may struggle to adequately explore conformational space for molecules with a high number of degrees of freedom, potentially limiting its applicability in certain cases. [23][24]

RESULT AND DISCUSSION

Fifty analogues of 1,3,4-Oxadiazole derivatives were designed using ACD Lab Chemsketch 12.0. Initially the designed fifty analogues were subjected to Lipinski rule analysis using molinspiration software.

Theoretical determination of drug-likeness properties

We predicted the drug likeliness profile of the compounds through analysis of pharmacokinetic properties of the compounds by using molinspiration online software. Based on the results obtained from molinspiration it was observed that all of the proposed compounds obeyed Lipinski rule of five. According to the Lipinski’s rule of five new molecule designed for oral route should have a MW < 500, log P o/w < 5, No more than 5 hydrogen bond donors and No more than 10 hydrogen bond acceptor. From the Lipinski rule analysis, all the 50 compounds were selected for further studies, since the compound did not show any violations from the Lipinski rule of five. Structure of proposed 1,3,4- oxadiazole derivatives of 3-[(substituted)methyl]-5- [(1H- imidazole-1-yl)4-methyl] -1,3,4-oxadiazole -2(3H)- thione is shown in Figure 3.

Figure 3: Designed Ligand

The results of Lipinski rule analysis of first 50 compounds are shown in the table 1.

Table 1: Lipinski Rule Analysis of Proposed Derivatives

 

Compound Code  

R  

Mw <500 

Logp <5 

Nhdon<5 

Nhacc<10 

Nrotb<10 

N Violation  

a1

C6H5

293.40

1.11

3

6

5

0

a2

C6H5OCH3

323.42

1.15

3

7

6

0

a3

C6H5OC2H5

3337.45

1.52

3

7

7

0

a4

C6H5F

314.30

1.22

1

6

5

0

a5

C6H5F

305.34

1.27

1

6

5

0

a6

C6H5F

305.34

1.25

1

6

5

0

a7

C6H5CH3

301.38

1.55

1

6

5

0

a8

C6H5Cl

321.79

1.74

1

6

5

0

a9

C6H5Cl

321.79

1.78

1

6

5

0

a10

C6H5Br

366.24

1.87

1

6

5

0

a11

C6H5Br

366.24

1.92

1

6

5

0

a12

C6H5Br

366.24

1.89

1

6

5

0

a13

C6H5Cl

321.79

1.76

1

6

5

0

a14

C6H5CH3

301.38

1.51

1

6

5

0

a15

C6H5CH3

301.38

1.53

1

6

5

o

a16

C6H5OCH3

317.37

1.11

1

7

6

0

a17

C6H5OCH3

317.37

1.16

1

7

6

0

a18

C6H5OCH3

317.37

1.14

1

7

6

0

a19

C6H5OC2H5

331.40

1.49

1

7

7

0

a20

C6H5OC2H5

331.40

1.54

1

7

7

0

a21

C6H5OC2H5

331.40

1.51

1

7

7

0

a22

C6H5NH2

302.36

0.54

3

7

5

0

a23

C6H5NH2

302.36

0.18

3

7

5

0

a24

C6H5NH2

302.36

0.16

3

7

5

0

a25

C6H5NO2

332.35

1.02

1

9

6

0

a26

C6H5NO2

332.35

1.04

1

9

6

0

a27

C6H5NO2

332.35

1.06

1

9

6

0

a28

C6H5OH

303.35

0.84

2

7

5

0

a29

C6H5OH

303.35

0.60

2

7

5

0

a30

C6H5OH

303.35

0.63

2

7

5

0

a31

C6H5(OH)2

319.35

0.14

3

8

5

0

a32

C6H5(OH)2

319.35

0.34

3

8

5

0

a33

C6H5(NH2)2

317.38

-0.14

5

8

5

0

a35

C6H5(Cl)3

390.68

3.00

1

6

5

0

a36

C6H5(Cl)3

390.68

3.00

1

6

5

0

a37

C6H5(Cl)2

356.24

2.39

1

6

5

0

a38

C6H5(Cl)2

356.24

2.39

1

6

5

0

a39

C6H5(Cl)2

356.24

2.39

1

6

5

0

a40

C6H5(F)2

323.33

1.36

1

6

5

0

a41

C6H5(F)2

323.33

1.36

1

6

5

0

a42

C6H5(F)2

323.33

1.36

1

6

5

0

a43

C6H5(Br)2

445.14

2.65

1

6

5

0

a44

C6H5(Br)2

445.14

2.65

1

6

5

0

a45

C6H5(Br)2

445.14

2.65

1

6

5

0

a46

C6H5(Br)2

445.14

2.65

1

6

5

0

a47

C6H5(F)2

323.33

1.36

1

6

5

0

a48

C6H5(Cl)2

356.24

2.39

1

6

5

0

a49

C6H5(OH)2

319.35

0.34

3

8

5

0

a50

C6H5(CH3)2

315.40

1.93

1

6

5

0

PASS (Prediction of Activity Spectra for Substances)

The PASS software predicts the biological activity of proposed derivatives where Pa indicates probability to be active and Pi indicates probability to be inactive. The PASS value of proposed derivatives were shown in table 2.

Table 2: PASS of designed 50 compounds

 

Compound code

Pa

Pi

a1

0,372

0,128

a2

0361

0140

a3

0365

0135

a4

0288

0223

a5

0289

0222

a6

0135

0087

a7

0344

0158

a8

0288

0224

a9

0313

0193

a10

0124

0035

a11

0063

0028

a12

0056

0036

a13

0282

0232

a14

0343

0159

a15

0313

0193

a16

0350

0151

a17

0390

0111

a18

0361

0140

a19

0354

0147

a20

0394

0107

a21

0365

0135

a22

0060

0031

a23

0063

0028

a24

0056

0036

a25

0351

0150

a26

0362

0138

a27

0391

0110

a28

0394

0107

a29

0409

0093

a30

0435

0072

a31

0367

0134

a32

0382

0118

a33

0054

0038

a34

0059

0033

a35

0334

0164

a36

0381

0120

a37

0056

0036

a38

0061

0030

a39

0282

0232

a40

0053

0039

a41

0058

0034

a42

0058

0033

a43

0054

0038

a44

0061

0030

a45

0125

0034

a46

0055

0036

a47

0271

0246

a48

0400

0102

a49

0343

0159

a50

0,157

0,072

Standard (Phenylbutazone)

0961

0030

Docking

From the docking result of 50 derivatives 25 derivatives which shows high and similar docking score than standard drug is shown in the table.

Table 3: Docking score

 

Compound?

Code?

R Group

Docking?

Score?

a5?

C6H5F

-7.1?

a7?

C6H5CH3

-7.2?

a8?

C6H5Cl

-7.0?

a9?

C6H5Cl

-7.0?

a12

C6H5Br

-7.1?

a13

C6H5Cl

-7.0?

a14

C6H5CH3

-7.1?

a15

C6H5CH3

-7.1?

a25

C6H5NO2

-7.2?

a26

C6H5NO2

-7.5?

a27

C6H5NO2

-7.2?

a35

C6H5(Cl)3

-7.7?

a36

C6H5(Cl)3

-7.5?

a37

C6H5OH

-7.1?

a38

C6H5(Cl)2

-7.1?

a39

C6H5(Cl)2

-7.0?

a40

C6H5(F)2

-7.0?

a41

C6H5(F)2

-7.0?

a45

C6H5(Br)2

-7.0?

a49

C6H5(OH)2

-7.3?

a3?

C6H5OC2H5

-6.9?

a20?

C6H5OC2H5

-6.9?

a1?

C6H5

-6.7?

a31

C6H5(OH)2

-6.9?

Standard (Phenylbutazone)?

-7.1?

 

Target ID :5IKQ

Protein: cox-2

Figure 7: 3D Struture of cox-2

ompound a1

Among the 25 derivatives docked images of 13 derivatives were shown below.

Table 4: Docked images of 13 compounds showing high score

SUMMARY AND CONCLUSION

Summary

The present work deals with the synthesis of certain novel 1,3,4-oxadiazole derivatives and exploring their anti-inflammatory activities. The investigation that has been carried out is summarized below under separate headings.

i. Insilico designing of novel molecules using ACD Lab Chemsketch 12.0

ACD Lab Chemsketch 12.0 freeware software was used to design 50 1,3,4-oxadiazole derivatives.

ii. Molinspiration

50 novel 1,3,4-oxadiazole derivatives were designed by ACD/ Lab Chemsketch were subjected to calculation of “Lipinski’s rule of five” and drug likeness using molinspiration software.

 iii. Docking studies

The compounds obtained above were subjected to docking using AutoDock Vina against the selected target protein 5IKQ (anti-inflammatory activity).Based on the docking score,compounds a1-a50 having docking score ranging from -6.1 to -7.7 for docking against cox-2 enzyme  were identified.From this synthetically feasible compound a1 was selected for subsequent synthesis.

CONCLUSION

A novel series of 1,3,4-oxadiazole derivatives bearing imidazole moiety were designed using ACD Lab/ ChemSketch 12.0 and their properties were predicted using the Molinspiration software and they obeyed the Lipinski rule of five. The designed derivatives showing optimal physicochemical properties were selected for docking studies. Docking studies of these compounds were performed on cox-2 (5IKQ) using AutoDock Vina. The result obtained from the docking study revealed that compounds a35 (2,4,5-trichloroanilino methyl derivative of 1,3,4-oxadiazole), a36(2,4,6-trichloroanilino methyl derivative of 1,3,4-oxadiazole), a26(3-niroanilino methyl derivative of 1,3,4-oxadiazole) showed good activities on cox-2. Result of In-silico studies conclude that the majority of the compounds exhibited excellent drug likeness properties and favorable pharmacokinetic profiles. From the above findings, 1,3,4-oxadiazole derivatives bearing imidazole moiety could be identified as lead moieties for future work in the areas of anti-inflammatory development.

ACKNOWLDGMENT

The authors are thankful to the MAR DIOSCROUS COLLEGE OF PHARMACY management, Thiruvananthapuram, for providing all facilities for the present investigation.

REFRENCES

        1. Nutan Prakash. Patel Devangi. Drug Discovery. J Antivirals & Antiretrovirals., 2010;2(4):063- 068.
        2.  Clinical and Translational science. 2nd edition. United state: Science Direct,2017.41: Modern Drug Discovery and Development;719-743.
        3. Graham. L. Patrick. An introduction to medicinal chemistry; 2012(5), 352-361
        4. Shu-Feng Zhou and Wei-Zhu Zhong, Drug Design and Discovery: Principles and Applications; Molecules. 2017;22:279.
        5. Amol B Deore, Jayprabha R Dhumane, Hrushikesh V Wagh, The stages of drug discovery and development process; Asian Journal of Pharmaceutical Research and Development.2019;7(6):62-67.
        6. Amita Verma, Sunil Joshi, and Deepika Singh Imidazole: Having Versatile Biological ActivitiesJournal of Chemistry Volume 2013, Article ID 329412, 12 pages http://dx.doi.org/10.1155/2013/329412
        7. Rajak H, Kharya M.D and Mishra P. Biologically active 2,5- disubstituted-1,3,4- oxadiazoles, Inter. J. Pharm. Sci. and Nanotech. 2, 2009; 21.
        8. Sharma S, Sharma P.K, Kumar N. and Dudhe R. A Review: oxadiazole their chemistry and pharmacological potentials, Der Pharma Chemica. 2, 2010; 253.
        9. C.A.C. Hyde, S. Missailidis, Inhibition of arachidonic acid metabolism and its implication on cell proliferation and tumour-angiogenesis, Int. Immunopharmacol. 9 (2009) 701–715. https://doi.org/10.1016/j.intimp.2009.02.003.
        10. C. Nathan, Points of control in inflammation, Nature. 420 (2002) 846–852. https://doi.org/10.1038/nature01320.
        11. T.M. Hunter, N.N. Boytsov, X. Zhang, K. Schroeder, K. Michaud, A.B. Araujo, Prevalence of rheumatoid arthritis in the United States adult population in healthcare claims databases, 2004–2014, Rheumatol. Int. 37 (2017) 1551–1557. https://doi.org/10.1007/s00296-017-3726-1.
        12. M.H. Abdelrahman, B.G.M. Youssif, M.A. abdelgawad, A.H. Abdelazeem, H.M. Ibrahim, A.E.G.A. Moustafa, L. Treamblu, S.N.A. Bukhari, Synthesis, biological evaluation, docking study and ulcerogenicity profiling of some novel quinoline-2- carboxamides as dual COXs/LOX inhibitors endowed with anti-inflammatory activity, Eur. J. Med. Chem. 127 (2017) 972–985. https://doi.org/10.1016/j.ejmech.2016.11.006.
        13. Z. Li, Z.C. Wang, X. Li, M. Abbas, S.Y. Wu, S.Z. Ren, Q.X. Liu, Y. Liu, P.W. Chen, Y.T. Duan, P.C. Lv, H.L. Zhu, Design, synthesis and evaluation of novel diaryl-1,5- diazoles derivatives bearing morpholine as potent dual COX-2/5-LOX inhibitors and 32 antitumor agents,Eur.J.Med.Chem.169(2019)168–184. https://doi.org/10.1016/j.ejmech.2019.03.008.
        14. Arvind Kumar Singh, R. Parthsarthy and M. Lohani. Synthesis, characterization and anti-inflammatory activity of some 1, 3,4 - oxadiazole derivatives. JCPRC. 2012; 4,779-782.
        15. Osterberg T, Norinder U et al. Prediction of drug transport processes using simple parameters and PLS statistics The use of ACD/log P and ACD/ChemSketch descriptors. European journal of pharmaceutical sciences. 2001;12(3):327-37.
        16.  Kwan EE et al. ACD/spectrus processor review. Journal of chemical information and modeling.2012;52(7):1898-900.
        17.  B Fernandes T, CF Segretti M, C Polli M, Parise-Filho R et al. Analysis of the applicability and use of lipinskis rule for central nervous system drugs. Letters in Drug Design & Discovery. 2016;13(10):999-1006
        18.  Frances C. Bernstein , Thomas F. Koetzle et al. The protein data bank: A computerbased archival file for macromolecular structures. Journal of molecular biology.1977;112(3):535- 542.
        19. Berman HM, Battistuz T, Bhat TN, Bluhm WF, Bourne PE, Burkhardt K, Feng Z, Gilliland GL, Iype L, Jain S, Fagan P et al. The protein data bank. Acta Crystallographica Section D: Biological Crystallography. 2002;58(6):899-907.
        20.  Berman HM, Westbrook J, Feng Z, Gilliland G, Bhat TN, Weissig H, Shindyalov IN, Bourne PE et al. The protein data bank. Nucleic acids research. 2000;28(1):235-42.
        21. Kitchen DB, Decornez H, Furr JR, Bajorath J et al. Docking and scoring in virtual screening for drug discovery: methods and applications. Nature reviews Drug discovery. 2004;3(11):935-49.
        22.  Jakhar R, Dangi M, Khichi A, Chhillar AK et al. Relevance of molecular docking studies in drug designing. Current Bioinformatics. 2020;15(4):270-8.
        23. Goodsell DS, Morris GM, Olson AJ et al. Automated docking of flexible ligands: applications of AutoDock. Journal of molecular recognition. 1996;9(1):1-5.
        24. Morris GM, Huey R, Olson AJ et al. Using AutoDock for ligand?receptor docking. Current protocols in bioinformatics. 2008;24(1):8-14

Reference

  1. Nutan Prakash. Patel Devangi. Drug Discovery. J Antivirals & Antiretrovirals., 2010;2(4):063- 068.
  2.  Clinical and Translational science. 2nd edition. United state: Science Direct,2017.41: Modern Drug Discovery and Development;719-743.
  3. Graham. L. Patrick. An introduction to medicinal chemistry; 2012(5), 352-361
  4. Shu-Feng Zhou and Wei-Zhu Zhong, Drug Design and Discovery: Principles and Applications; Molecules. 2017;22:279.
  5. Amol B Deore, Jayprabha R Dhumane, Hrushikesh V Wagh, The stages of drug discovery and development process; Asian Journal of Pharmaceutical Research and Development.2019;7(6):62-67.
  6. Amita Verma, Sunil Joshi, and Deepika Singh Imidazole: Having Versatile Biological ActivitiesJournal of Chemistry Volume 2013, Article ID 329412, 12 pages http://dx.doi.org/10.1155/2013/329412
  7. Rajak H, Kharya M.D and Mishra P. Biologically active 2,5- disubstituted-1,3,4- oxadiazoles, Inter. J. Pharm. Sci. and Nanotech. 2, 2009; 21.
  8. Sharma S, Sharma P.K, Kumar N. and Dudhe R. A Review: oxadiazole their chemistry and pharmacological potentials, Der Pharma Chemica. 2, 2010; 253.
  9. C.A.C. Hyde, S. Missailidis, Inhibition of arachidonic acid metabolism and its implication on cell proliferation and tumour-angiogenesis, Int. Immunopharmacol. 9 (2009) 701–715. https://doi.org/10.1016/j.intimp.2009.02.003.
  10. C. Nathan, Points of control in inflammation, Nature. 420 (2002) 846–852. https://doi.org/10.1038/nature01320.
  11. T.M. Hunter, N.N. Boytsov, X. Zhang, K. Schroeder, K. Michaud, A.B. Araujo, Prevalence of rheumatoid arthritis in the United States adult population in healthcare claims databases, 2004–2014, Rheumatol. Int. 37 (2017) 1551–1557. https://doi.org/10.1007/s00296-017-3726-1.
  12. M.H. Abdelrahman, B.G.M. Youssif, M.A. abdelgawad, A.H. Abdelazeem, H.M. Ibrahim, A.E.G.A. Moustafa, L. Treamblu, S.N.A. Bukhari, Synthesis, biological evaluation, docking study and ulcerogenicity profiling of some novel quinoline-2- carboxamides as dual COXs/LOX inhibitors endowed with anti-inflammatory activity, Eur. J. Med. Chem. 127 (2017) 972–985. https://doi.org/10.1016/j.ejmech.2016.11.006.
  13. Z. Li, Z.C. Wang, X. Li, M. Abbas, S.Y. Wu, S.Z. Ren, Q.X. Liu, Y. Liu, P.W. Chen, Y.T. Duan, P.C. Lv, H.L. Zhu, Design, synthesis and evaluation of novel diaryl-1,5- diazoles derivatives bearing morpholine as potent dual COX-2/5-LOX inhibitors and 32 antitumor agents,Eur.J.Med.Chem.169(2019)168–184. https://doi.org/10.1016/j.ejmech.2019.03.008.
  14. Arvind Kumar Singh, R. Parthsarthy and M. Lohani. Synthesis, characterization and anti-inflammatory activity of some 1, 3,4 - oxadiazole derivatives. JCPRC. 2012; 4,779-782.
  15. Osterberg T, Norinder U et al. Prediction of drug transport processes using simple parameters and PLS statistics The use of ACD/log P and ACD/ChemSketch descriptors. European journal of pharmaceutical sciences. 2001;12(3):327-37.
  16.  Kwan EE et al. ACD/spectrus processor review. Journal of chemical information and modeling.2012;52(7):1898-900.
  17.  B Fernandes T, CF Segretti M, C Polli M, Parise-Filho R et al. Analysis of the applicability and use of lipinskis rule for central nervous system drugs. Letters in Drug Design & Discovery. 2016;13(10):999-1006
  18.  Frances C. Bernstein , Thomas F. Koetzle et al. The protein data bank: A computerbased archival file for macromolecular structures. Journal of molecular biology.1977;112(3):535- 542.
  19. Berman HM, Battistuz T, Bhat TN, Bluhm WF, Bourne PE, Burkhardt K, Feng Z, Gilliland GL, Iype L, Jain S, Fagan P et al. The protein data bank. Acta Crystallographica Section D: Biological Crystallography. 2002;58(6):899-907.
  20.  Berman HM, Westbrook J, Feng Z, Gilliland G, Bhat TN, Weissig H, Shindyalov IN, Bourne PE et al. The protein data bank. Nucleic acids research. 2000;28(1):235-42.
  21. Kitchen DB, Decornez H, Furr JR, Bajorath J et al. Docking and scoring in virtual screening for drug discovery: methods and applications. Nature reviews Drug discovery. 2004;3(11):935-49.
  22.  Jakhar R, Dangi M, Khichi A, Chhillar AK et al. Relevance of molecular docking studies in drug designing. Current Bioinformatics. 2020;15(4):270-8.
  23. Goodsell DS, Morris GM, Olson AJ et al. Automated docking of flexible ligands: applications of AutoDock. Journal of molecular recognition. 1996;9(1):1-5.
  24. Morris GM, Huey R, Olson AJ et al. Using AutoDock for ligand?receptor docking. Current protocols in bioinformatics. 2008;24(1):8-14

Photo
Rachel Mathew
Corresponding author

Department of Pharmaceutical Chemistry, Mar Dioscorus College of Pharmacy, Alathara, Thiruvananthapuram.

Photo
V. S. Anjana
Co-author

Department of Pharmaceutical Chemistry, Mar Dioscorus College of Pharmacy, Alathara, Thiruvananthapuram.

Photo
S. Nakshathra
Co-author

Department of Pharmaceutical Chemistry, Mar Dioscorus College of Pharmacy, Alathara, Thiruvananthapuram.

Photo
R. S. Shahana
Co-author

Department of Pharmaceutical Chemistry, Mar Dioscorus College of Pharmacy, Alathara, Thiruvananthapuram.

Photo
A. P. Sona Nair
Co-author

Department of Pharmaceutical Chemistry, Mar Dioscorus College of Pharmacy, Alathara, Thiruvananthapuram.

Photo
A. Vaheeda
Co-author

Department of Pharmaceutical Chemistry, Mar Dioscorus College of Pharmacy, Alathara, Thiruvananthapuram.

Rachel Mathew*, V. S. Anjana, S. Nakshathra, R. S. Shahana, A. P. Sona Nair, A. Vaheeda, Computational Design and Anti-Inflammatory Assessment of Novel 1,3,4-Oxadiazole Derivatives, Int. J. of Pharm. Sci., 2025, Vol 3, Issue 3, 2055-2067. https://doi.org/10.5281/zenodo.15063808

More related articles
Herbal Approach to Chronic Kidney Disease: A Study...
Sana Sadik Attar , Shamal kadam, Amaan Inamdar, Sakshi Jadhav, Aa...
Quantification of Brain-Derived Neurotrophic Facto...
Dasari Cherishma Sri, Bandi Aasritha, Galla Naga Deepika, Dr. Adu...
Formulation And Evaluation of Herbal Hair Oil...
Parke Kuldipak Radhakisan , Pawade Ravindra Sopan , Chatur Shubha...
Development and Validation of HPLC Method for Determination of an API in Presenc...
Shraddha Muneshwar , Sohan Thipe, Amol Sawale, Shailesh Jawarkar , ...
A Comparative Study on The Anti-inflammatory Activity of Boerhavia Diffusa and S...
Rynu Tom Thykkaden, Feba Sainul Abdeen, Nithyamol Abraham, ...
Epilepsy: A Review of the Latest Advances in Diagnostic Techniques and Therapeut...
Dr. V. Saidurga Shravya, Boddupelli Madhusudhan, Charanya Peechara, ...
Related Articles
Formulation and Evaluation of Sunscreen Cream Using Natural Herbs...
Manisha Mishra, Ankit Gondane, Aayushi Patel, Rutu Choudhari, Shubhangi Thule, Alshapha Khan , ...
The Role of Liposomes in Precision Oncology: A Review...
Vansh Bhatt , Khushali Zala, Nitin Sharma , ...
Recent Advances on The Pharmacological Activities of Butea Monosperma...
Badugu Lavanya, Chanda Beulah, Eedula Sowmya, Thatikonda Chanikya, Rama Rao Tadikonda, ...
Herbal Approach to Chronic Kidney Disease: A Study on Multi-Herb Powder Formulat...
Sana Sadik Attar , Shamal kadam, Amaan Inamdar, Sakshi Jadhav, Aanand Jadhav, ...
More related articles
Herbal Approach to Chronic Kidney Disease: A Study on Multi-Herb Powder Formulat...
Sana Sadik Attar , Shamal kadam, Amaan Inamdar, Sakshi Jadhav, Aanand Jadhav, ...
Quantification of Brain-Derived Neurotrophic Factor (BDNF) in In Vitro Systems: ...
Dasari Cherishma Sri, Bandi Aasritha, Galla Naga Deepika, Dr. Adusumalli Surendra, ...
Formulation And Evaluation of Herbal Hair Oil...
Parke Kuldipak Radhakisan , Pawade Ravindra Sopan , Chatur Shubhangi Bhagwan , Chaudhari Sushant Sop...
Herbal Approach to Chronic Kidney Disease: A Study on Multi-Herb Powder Formulat...
Sana Sadik Attar , Shamal kadam, Amaan Inamdar, Sakshi Jadhav, Aanand Jadhav, ...
Quantification of Brain-Derived Neurotrophic Factor (BDNF) in In Vitro Systems: ...
Dasari Cherishma Sri, Bandi Aasritha, Galla Naga Deepika, Dr. Adusumalli Surendra, ...
Formulation And Evaluation of Herbal Hair Oil...
Parke Kuldipak Radhakisan , Pawade Ravindra Sopan , Chatur Shubhangi Bhagwan , Chaudhari Sushant Sop...