View Article

Abstract

Pyridine derivatives are the most common and significant heterocyclic compounds, which show their fundamental characteristics to various pharmaceutical agents and natural products. Pyridine derivatives possess several pharmacological properties and a broad degree of structural diversity that is most valuable for exploring novel therapeutic agents. These compounds have an extensive range of biological activities such as anti-fungal, anti- bacterial, anti-cancer, anti-obesity, anti-inflammatory, anti-tubercular, anti-hypertensive, anti-neuropathic, anti-histaminic, anti-viral and anti-parasitic. Pyridine derivative’s strong therapeutic qualities enable medicinal chemists to create innovative and efficient chemotherapy medicines. These properties which reveals the prospect of pyridine in the drug design and medicine.

Keywords

anti-fungal, anti- bacterial, anti-cancer, anti-obesity, anti-inflammatory, anti-tubercular, anti-hypertensive, anti-neuropathic, anti-histaminic, anti-viral and anti-parasitic

Introduction

Pyridine: - Pyridine has a variety of biological functions

Fig.1: Structure of Pyridine

Pyridine (C?H?N), an isostere of benzene, is an important precursor in pharmaceutical and agrochemical synthesis. The name originates from the Greek words “Pyr” (fire) and “idine” (aromatic base) [1]. It was determined by Wilhelm Korner (1869) and James Dewar (1871), consists of a heteroaromatic ring in which a nitrogen atom replaces a CH group in benzene. This nitrogen contributes a lone pair of electrons that participate in bonding but not in the aromatic π-system, making pyridine planar and aromatic with a bond angle of 120° [2]. Due to nitrogen’s electronegativity, pyridine exhibits a small dipole and undergoes oxidation and alkylation reactions to form tertiary amines. H-NMR spectra show three signals at the ortho, Meta, and para positions, reflecting variations in electron density within the ring. [3] This compound is a colourless to pale yellow liquid with a fish-like odour, molecular weight 79.1 g/mol, and density 0.981 g/cm³ at 20°C. It has a melting point of −41.6°C and boiling point of 115.2°C, with a refractive index of 1.5093 and viscosity of 0.88 cp [4]. Pyridine is completely miscible with water and most organic solvents. It was first synthesized by Ramsay (1877) and later by Hantzsch (1881) using β-ketoester, aldehyde, and ammonia. [5]

AROAMTICITY: -

Pyridine consists of five carbon and one nitrogen atom, all Sp² hybridized, forming a planar aromatic ring. Each atom contributes one electron to the π-system, giving a total of six π-electrons that obey Huckel’s rule (4n+2) for aromaticity. The lone pair on nitrogen lies in a Sp² orbital, not involved in the π-system. This localized lone pair creates a dipole and appears as a distinct region on the electrostatic potential map. [4]

PHARMACOLOGICAL ACTIVITSIES OF PYRIDINE CONTAINING DRUGS:-

A Few of those activities are anti-fungal, anti- bacterial, anti-cancer , anti-obesity, anti-inflammatory, anti-tubercular, anti-hypertensive, anti-neuropathic, anti-histaminic, anti-viral and anti-parasitic, anti-asthmatic, gastric related drugs. There are different example of commercially available drugs that consist of pyridine nuclei such as Isoniazid (anti-Tuberculosis), Sulfapyridine (anti-bacterial), Pantoprazole (peptic ulcer), Pioglitazone, (anti-diabetic), Montelukast (anti-asthmatic), Dihydropyridine CCB (anti-hypertensive). [9-25]   

Fig.2: Pyridine – containing drugs having different pharmacological activity

Pharmacological Activites of Pyridine and its derivatives:-

  1. Anti-tubercular activity :-
  1. Ding et al. Notably, the pyridine derivative (fig.3) have shown robust inhibitory effects against Multidrug-Resistant Tuberculosis (MDR-TB) & Extensively Drug-Resistant Tuberculosis (XDR-TB) clinical isolated at a nanomolar concentration, with significant efficacy in a TB animal model at doses less than 1mg/kg. Pyridine derivative has a favourable pharmacokinetic and safety profile that is suited for once-daily dosage. This chemical demonstrated strong action, with many having Minimum Inhibitory Concentration (MIC) value 3-100 times [against Strain of Mycobacterium Tuberculosis (MTB H37Ra)] and 14-102 times [against Virulent Strain of Mycobacterium Tuberculosis (MTB H37Rv)] more than Isoniazid (INH). The chemical demonstrated impressive inhibition against both drug-sensitive and drug-resistant tuberculosis bacteria, maintaining MIC values comparable to wild-type strains and indicating a possible unique mechanism of action. [9]

Fig.3: Anti-tubercular activity of pyridine derivative

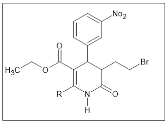
  1.  Lu et al. developed a novel anti-TB drugs, the pyridine derivative (fig.4) 14g exhibiting outstanding activity. It had MIC values of 0.003 µg/mL against MTB H37Ra and 0.006 µg/ml against H37Rv, making it 136 and 16 times more effective than INH, respectively. Against five drug-resistant TB bacteria, including those resistant to Isoniazid (INH), Rifampicin (RIF), and fluoroquinolones, it is demonstrated MICs ranging from 0.003 to 0.014µg/ml, with 10 to 4,500 times more activity than INH and levofloxacin. Additionally, demonstrated little cytotoxicity in Verda Reno (VERO) and Human Hepatocellular Carcinoma Cell Line (HepG2) cells (IC50:43 and >100µM) and considerably reduced bacterial burden in an in vivo TB animal model. These findings point to its potential as a lead chemical for future anti-TB medication development. [10]

Fig.4: Anti-tubercular activity of pyridine derivatives

2. ANTI-VIRAL ACTIVITY: -

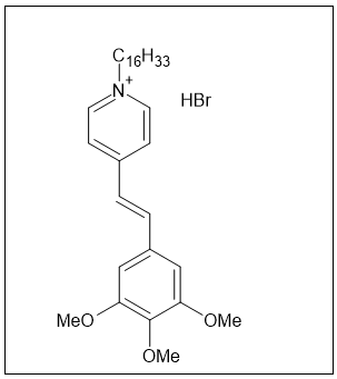
Hu et al. developed a pyridine derivative (fig.5) and tested their antiviral effectiveness against nonopolio enteroviruses as Enterovirus D68 (EV-D68), Enterovirus A71 (EV-A71) and Coxsackie Virus B3 (CVB3). Among the substances studied, pyridine derivative (fig.5) shown the most powerful-activity against EV-A71, with good cellular selectivity and exceptionally low EC50 values of 0.03, 0.07, 0.03, and 0.34µM. The data show greater efficacy compared to the reference antiviral medication JX040 which had an EC50 of 0.2µM. [11]

Fig.5: Anti- viral activity of pyridine derivative

3. ANTI-ALZHEIMER’S ACTIVITY:-

Waly et al. synthesised of pyridine derivative (fig.6) and evaluated their inhibitory activity against Human Acetyl cholinesterase (hAchE) and Human Butyrylcholine (hBuChE), showing remarkable potency with IC50 values of 0.17 and 0.16 µM, surpassing the reference drugs donepezil (IC50 = 0.219 µM) and rivastigmine (IC50 =1.32 µM). Furthermore, pyridine derivative (fig.6) was produced and shown strong anti-Alzheimer’s potential using Ellman’s method, with potent inhibitory activity (IC50=0.034, 0.062 mM for hAChE and IC50 =3.567, 0.767 mM for hBuChE) when compared to donepezil (IC50 = 0.054 mM) and rivastigmine (IC50 = 4.450mM). [12]

Fig.6: Anti-Alzheimer’s activity of pyridine derivative

4. ANTI – INFLAMMATORY ACTIVITY:-

Ramakrishnan K. et.al the new pyridine derivatives (fig.7a-7b) were tested in the lab to check their anti-inflammatory effects using a method called the human red blood cell (RBC) haemolysis test. Two pyridine derivatives are 7a and 7b demonstrated strong results with (IC50 = 18.41 ± 0.13 µM) and (IC50 = 14.06 ± 0.15 µM), exhibited good inhibiting ability compared with the standard drug ketorolac's IC?? value (IC50 = 11.79 ± 0.17 µM). These tests, combined with computer-based studies, suggest that these derivatives (fig.7) could be useful for developing new and improved anti-inflammatory drugs in the future. [13]

Fig.7 (a-b): Anti-inflammatory activity of pyridine derivative

5. ANTI- CANCER ACTIVITY:-

Beena Negi et al. Two new chemical pyridine derivatives are investigated (fig.8a & 8b), and were synthesized based on a pyridine-urea skeleton. Pyridine derivative (fig.8b) was tested to determine whether it could inhibit Michigan Cancer Foundation (MCF-7) human breast cancer cell growth in assays. Pyridine derivatives (8a-8b) were tested for anti-cancer activity with standard test procedure (US-NCI procedure). Among them, pyridine derivative (fig.8a) possessed more powerful anticancer activity compared to the well-known drug Doxorubicin. Although doxorubicin contained an IC50 of 1.93 µM, compound 8a contained a significantly lower IC50 of 0.22 µM, and thus was more potent in killing cancer cell. [15, 16] 

Fig.8: Anti-cancer activity of pyridine derivative

6. ANTI-MICROBIAL ACTIVITY: -

Bala IA et al. Pyridine derivative (fig.9) possessed significant anti-microbial activity against Methicillin-Resistant Staphylococcus Aureus (MRSA), Pseudomonas aeruginosa, and Candida albicans, with the pyridine derivative (fig.no.9) (having a pyridine-3-yl entity) possessing the highest inhibition zones (17, 15, and 19mm, respectively). The pyridine derivative (fig.9) showed the lowest inhibition against MRSA. The MIC values ranged from 1.25 to 5 mg/ml, with the lowest being 0.625 mg/ml against C. albicans, showing that the fungus is more sensitive than bacteria. [17]

Fig.9: Anti-microbial activity of pyridine derivative

7. ANTI-MALARIAL ACTIVITY: -

Martha et al. by combining two chemicals: 2-phenylbenzimidazole and pyridine. They analysed two malarial strains: Chloroquine-Sensitive D6 Strain (CS-D6) and Chloroquine-Resistant W2 strain (CR-W2). The pyridine derivative (fig.10) were found to be very effective against chloroquine-senstive strains. They were effective at low concentrations (IC50 = 0.019µM to 0.056µM) with a high selectivity index value (7551.95 to 13642.10) that were safe for human cells yet killed the parasite. They examined how efficiently most active derivatives could inhibit DHFR, the key enzyme in the malaria parasites. Inhibitors that inhibit this enzyme more efficiently than the reference drug trimethoprim. [18]

Fig.10: Anti-malarial activity of pyridine derivative

8. ANTI-OXIDANT ACTIVITY: -

Mishra DR et al. created a set of new pyridine derivatives by attaching inulin (a naturally occurring sugar) to modified pyridine rings. These were examined for their capacity to function as antioxidants and inhibit protein damage. Pyridine derivative (fig.11.a), was particularly potent compared with rutin in laboratory tests. This derivative was effective against toxic radicals, they totally eliminated hydroxyl radicals at a low concentration at (0.4mg/ml), and derivative (fig.11.b) was highly effective at quenching superoxide radicals, being about 85% effective at 1.6 mg/ml. [19]

Fig.11: Anti-oxidant activity of pyridine derivatives

9. ANTI-HYPERTENSIVE ACTIVITY: -

Chirki Devi Sri et al. 1, 4- Dihydropyridines (DHPs) are receptor-selective, binding to the α1 subunit of L-type calcium channel and inhibiting calcium entry more potential in vascular smooth muscle compared to cardiac tissue. This action is specific in causing extensive vasodilation of the peripheral and coronary arteries, rendering them valuable in the treatment of hypertension and angina. Of the vascular-selective  Dihydropyridines (DHPs) are more effective than compare  with nifedipine, felodipine, and isradipine, with nifedipine being the prototype because of its effectiveness in vascular modifications have been studied to understand structure-activity relationships and enhance calcium-modulating properties.(fig. no.12) [20]

Fig.12: Anti-hypertensive activity of pyridine derivative

10. ANTI-BACTERIAL   ACTIVITY:-

Md Badrul Islam et al. Pyridine derivative (fig.13),   was especially potent. It was active at very low concentration (1.56 to 3.12 µg/ml), far more effective than older drugs such as ampicillin or streptomycin, which required higher concentration (6.25 to 12.5µg/ml). These new molecule were particularly effective against gram-positive bacteria and even had excellent binding to bacterial proteins in computer modeling-better than a few drugs that are now on the market. [21]

Fig.13: Anti-bacterial of pyridine derivative

11. ANTI-PARASITIC ACTIVITY:-

Cetyl-Maritima, a pyridine derivative (fig.14)   was found to be effective against Leishmania major parasite and toxic to human cell. It was more effective compared to the base of pyridine derivative Maritima in killing the parasite at lower concentrations (1.5 µM for promastigotes and 0.6 µM for amastigotes). It was also toxic to the intracellular form of the parasite (IC50 = 4.3 µM). While slightly weaker than the drug amphotericin B, it was less toxic to normal cells. [22]

Fig.14: Anti-parasitic activity of pyridine derivative

12. ANTI-HISTAMINIC ACTIVITY:-

Anupam singh et al. pyridine derivative (fig.15) structurally related to clinically approved anti-histamines. In vivo pharmacological studies on Swiss albino mice found that the ligand and its complexes exhibit anti-histaminic activity against clonidine-and haloperidol-induced catalepsy, most effective in inhibiting clonidine-induced catalepsy at 180 minutes, thereby pointing towards its application in the treatment of allergic diseases. (fig.15) [23, 24]

Fig.15: Anti-histaminic activity of pyridine derivative

CONCLUSION: -

The above study of pyridine derivatives shows promising results in most of the pharmacological activities like anti-tubercular activity, anti-viral, anti-Alzheimer’s, anti-inflammatory, anti-cancer, anti-microbial, anti-malarial, anti-hypertensive, anti-bacterial, anti-parasitic, anti –histaminic, anti-oxidant. It has been noticed so far that modifications in pyridine nuclei show promising biological activities and can be taken as a lead for future development to get safer and more effective compounds with decreased toxicity and less side effects.

REFERENCES

  1. Dwivedi AR, Jaiswal S, Kukkar D, Kumar R, Singh TG, Singh MP, Gaidhane AM, Lakhanpal S, Prasad KN, Kumar B. A decade of pyridine-containing heterocycles in US FDA approved drugs: a medicinal chemistry-based analysis. RSC Medicinal Chemistry. 2025; 16(1):12-36.
  2. De S, SK AK, Shah SK, Kazi S, Sarkar N, Banerjee S, Dey S. Pyridine: the scaffolds with significant clinical diversity. Rsc Advances. 2022; 12(24):15385-406.
  3. De S, Kumar SK, Shah SK. Pyridine: the scaffolds with significant clinical diversity. RSC Adv 12: 15385–15406 [Internet]. 2022
  4. Dwivedi AR, Jaiswal S, Kukkar D, Kumar R, Singh TG, Singh MP, Gaidhane AM, Lakhanpal S, Prasad KN, Kumar B. A decade of pyridine-containing heterocycles in US FDA approved drugs: a medicinal chemistry-based analysis. RSC Medicinal Chemistry. 2025; 16(1):12-36.
  5. Abdel-Aziem A, Fouad SA. Recent advances in pyrazolo [3, 4-b] pyridine chemistry: synthesis techniques and biological activity. Molecular Diversity. 2025 Jun 25:1-28.
  6. Patil RS. Synthesis and Activity Evaluation of Pyridine Derivatives.
  7. Doreswamy G, Basavaiah B, Kallappa R. Synthesis and biological activity of novel 4-nicotinoyl-1, 7-di (pyridine-3-yl)-3, 5-diaryl heptane-1, 7-dione under Claisen-Schmidt condensation. Journal of Molecular Structure. 2025 Nov 5; 1344:142979.
  8. Kapletiya S, Mehta H, Pathan S. A Mini-Review on Pyridine—A Versatile Compound in the Field of Therapeutic Agents. Russian Journal of Bioorganic Chemistry. 2025 Feb; 51(1):251-65.
  9. Ommi O, Bhalerao HA, Malik P, Ali J, Saxena D, Nanduri S, Sonti R, Dasgupta A, Chopra S, Yaddanapudi VM. Synthesis of 1, 3-diaryl substituted pyrazole-based imidazo [1, 2-a] pyridine carboxamides and evaluation of their antitubercular activity. Bioorganic & Medicinal Chemistry. 2025 Aug 6:118341.
  10. Kumar P, Malik P, Ali J, Saxena D, Singampalli A, Bandela R, Bakchi B, Bhale NA, Dikundwar AG, Nanduri S, Dasgupta A. Exploration of Pyridine?4?hydrazide Derivatives as Promising Antitubercular Agents: Synthesis, Biological Evaluation, and In Silico Studies. ChemistrySelect. 2025 Sep; 10(36):e01301.
  11. Korma AY, Alsaedi AM, Farghaly TA, Dawood DH. Recent Advances in the Therapeutic Prospective of Heterocyclic Derivatives as COX-2 Inhibitors (2019-Present). Mini-Reviews in Medicinal Chemistry. 2025.
  12. Tan J, Xu C, Liu D, Liu S, Liu Y, Zou JY, You S, Deng Z, Li Y, Xie Y, Li X. Design, Synthesis, and Biological Activity Evaluation of 5-Aryl-cyclopenta [c] pyridine Derivatives. Journal of Agricultural and Food Chemistry. 2025 Jan 4; 73(2):1672-81.
  13. Ramakrishnan K, Nachimuthu L, Rajan R, Premkumar J, Mulay V, Meenakshi S, Narasimhulu CA, Deme P, Rajagopalan S, Lalgudi R, Sivaramakrishna A. Discovery of new pyridine 3-carboxylic acid-based pharmacophores as dual anti-inflammatory and anti-hyperglycemic agents. Scientific Reports. 2025 Oct 3; 15(1):34536.
  14. Sroor FM, Soliman AA, Khalil WK, Mahmoud K. Comparative Study of Pyridine and Pyrimidine Derivatives as Promising Anti?Inflammatory Agents: Design, Synthesis, and LPS?Induced RAW 264.7 Macrophages. Drug Development Research. 2025 Sep; 86(6):e70146.
  15. Alrooqi M, Khan S, Alhumaydhi FA, Asiri SA, Alshamrani M, Mashraqi MM, Alzamami A, Alshahrani AM, Aldahish AA. A therapeutic journey of pyridine-based heterocyclic compounds as potent anticancer agents: a review (from 2017 to 2021). Anti-Cancer Agents in Medicinal Chemistry-Anti-Cancer Agents). 2022 Sep 1; 22(15):2775-87.
  16. Mansour H, Elsigeny SM, Rashed A, Shaban SY. PH-Responsive Chitosan/Xanthan/Hydroxyapatite Scaffolds for Acetylenethieno [2, 3-b] pyridine Delivery: Structural and Electrophilicity-Driven Anticancer and Antibacterial Activity against MG-63 Cells. Journal of Molecular Structure. 2025 Sep 3:143818.
  17. Bala IA, Omar AM, Muhammad YA, Malebari AM, Alkhatabi HA, Al-maaqar SM, Asiri AM, El-Shishtawy RM. Synthesis, antimicrobial, cytotoxic and in silico studies of pyridine-quinazolin-4 (3H)-one hybrids. Journal of Molecular Structure. 2025 Aug 25; 1338:142275.
  18. De S, Kumar SK, Shah SK. Pyridine: the scaffolds with significant clinical diversity. RSC Adv 12: 15385–15406 [Internet]. 2022
  19. Mishra DR, Sahoo DK, Mishra NP. Recent Advances in Synthesis and Photophysical Applications of Pyridine?Based Heterocycles. Asian Journal of Organic Chemistry. 2025 Jun; 14(6):e202500004.
  20. Mishra DR, Sahoo DK, Mishra NP. Recent Advances in Synthesis and Photophysical Applications of Pyridine?Based Heterocycles. Asian Journal of Organic Chemistry. 2025 Jun; 14(6):e202500004.
  21. Shrimandilkar S, Tryambake P, Borgave S, Lokhande D. Design and synthesis of new pyridine-thiazole hybrids as potential antibacterial agents: Spectral, antimicrobial, and in silico molecular docking studies. Journal of Molecular Structure. 2025 May 7:142612.
  22. Ommi O, Bhalerao HA, Malik P, Ali J, Saxena D, Nanduri S, Sonti R, Dasgupta A, Chopra S, Yaddanapudi VM. Synthesis of 1, 3-diaryl substituted pyrazole-based imidazo [1, 2-a] pyridine carboxamides and evaluation of their antitubercular activity. Bioorganic & Medicinal Chemistry. 2025 Aug 6:118341.
  23. Akhtar S, Tiwari S, Kumar R, Gupta N, Gupta N. Recent Advancements in Pyridine Derivatives as Anticancer Agents. IJSAT-International Journal on Science and Technology. 2025 May 24; 16(2).
  24. Abdel-Aziem A, Fouad SA. Recent advances in pyrazolo [3, 4-b] pyridine chemistry: synthesis techniques and biological activity. Molecular Diversity. 2025 Jun 25:1-28.

Reference

  1. Dwivedi AR, Jaiswal S, Kukkar D, Kumar R, Singh TG, Singh MP, Gaidhane AM, Lakhanpal S, Prasad KN, Kumar B. A decade of pyridine-containing heterocycles in US FDA approved drugs: a medicinal chemistry-based analysis. RSC Medicinal Chemistry. 2025; 16(1):12-36.
  2. De S, SK AK, Shah SK, Kazi S, Sarkar N, Banerjee S, Dey S. Pyridine: the scaffolds with significant clinical diversity. Rsc Advances. 2022; 12(24):15385-406.
  3. De S, Kumar SK, Shah SK. Pyridine: the scaffolds with significant clinical diversity. RSC Adv 12: 15385–15406 [Internet]. 2022
  4. Dwivedi AR, Jaiswal S, Kukkar D, Kumar R, Singh TG, Singh MP, Gaidhane AM, Lakhanpal S, Prasad KN, Kumar B. A decade of pyridine-containing heterocycles in US FDA approved drugs: a medicinal chemistry-based analysis. RSC Medicinal Chemistry. 2025; 16(1):12-36.
  5. Abdel-Aziem A, Fouad SA. Recent advances in pyrazolo [3, 4-b] pyridine chemistry: synthesis techniques and biological activity. Molecular Diversity. 2025 Jun 25:1-28.
  6. Patil RS. Synthesis and Activity Evaluation of Pyridine Derivatives.
  7. Doreswamy G, Basavaiah B, Kallappa R. Synthesis and biological activity of novel 4-nicotinoyl-1, 7-di (pyridine-3-yl)-3, 5-diaryl heptane-1, 7-dione under Claisen-Schmidt condensation. Journal of Molecular Structure. 2025 Nov 5; 1344:142979.
  8. Kapletiya S, Mehta H, Pathan S. A Mini-Review on Pyridine—A Versatile Compound in the Field of Therapeutic Agents. Russian Journal of Bioorganic Chemistry. 2025 Feb; 51(1):251-65.
  9. Ommi O, Bhalerao HA, Malik P, Ali J, Saxena D, Nanduri S, Sonti R, Dasgupta A, Chopra S, Yaddanapudi VM. Synthesis of 1, 3-diaryl substituted pyrazole-based imidazo [1, 2-a] pyridine carboxamides and evaluation of their antitubercular activity. Bioorganic & Medicinal Chemistry. 2025 Aug 6:118341.
  10. Kumar P, Malik P, Ali J, Saxena D, Singampalli A, Bandela R, Bakchi B, Bhale NA, Dikundwar AG, Nanduri S, Dasgupta A. Exploration of Pyridine?4?hydrazide Derivatives as Promising Antitubercular Agents: Synthesis, Biological Evaluation, and In Silico Studies. ChemistrySelect. 2025 Sep; 10(36):e01301.
  11. Korma AY, Alsaedi AM, Farghaly TA, Dawood DH. Recent Advances in the Therapeutic Prospective of Heterocyclic Derivatives as COX-2 Inhibitors (2019-Present). Mini-Reviews in Medicinal Chemistry. 2025.
  12. Tan J, Xu C, Liu D, Liu S, Liu Y, Zou JY, You S, Deng Z, Li Y, Xie Y, Li X. Design, Synthesis, and Biological Activity Evaluation of 5-Aryl-cyclopenta [c] pyridine Derivatives. Journal of Agricultural and Food Chemistry. 2025 Jan 4; 73(2):1672-81.
  13. Ramakrishnan K, Nachimuthu L, Rajan R, Premkumar J, Mulay V, Meenakshi S, Narasimhulu CA, Deme P, Rajagopalan S, Lalgudi R, Sivaramakrishna A. Discovery of new pyridine 3-carboxylic acid-based pharmacophores as dual anti-inflammatory and anti-hyperglycemic agents. Scientific Reports. 2025 Oct 3; 15(1):34536.
  14. Sroor FM, Soliman AA, Khalil WK, Mahmoud K. Comparative Study of Pyridine and Pyrimidine Derivatives as Promising Anti?Inflammatory Agents: Design, Synthesis, and LPS?Induced RAW 264.7 Macrophages. Drug Development Research. 2025 Sep; 86(6):e70146.
  15. Alrooqi M, Khan S, Alhumaydhi FA, Asiri SA, Alshamrani M, Mashraqi MM, Alzamami A, Alshahrani AM, Aldahish AA. A therapeutic journey of pyridine-based heterocyclic compounds as potent anticancer agents: a review (from 2017 to 2021). Anti-Cancer Agents in Medicinal Chemistry-Anti-Cancer Agents). 2022 Sep 1; 22(15):2775-87.
  16. Mansour H, Elsigeny SM, Rashed A, Shaban SY. PH-Responsive Chitosan/Xanthan/Hydroxyapatite Scaffolds for Acetylenethieno [2, 3-b] pyridine Delivery: Structural and Electrophilicity-Driven Anticancer and Antibacterial Activity against MG-63 Cells. Journal of Molecular Structure. 2025 Sep 3:143818.
  17. Bala IA, Omar AM, Muhammad YA, Malebari AM, Alkhatabi HA, Al-maaqar SM, Asiri AM, El-Shishtawy RM. Synthesis, antimicrobial, cytotoxic and in silico studies of pyridine-quinazolin-4 (3H)-one hybrids. Journal of Molecular Structure. 2025 Aug 25; 1338:142275.
  18. De S, Kumar SK, Shah SK. Pyridine: the scaffolds with significant clinical diversity. RSC Adv 12: 15385–15406 [Internet]. 2022
  19. Mishra DR, Sahoo DK, Mishra NP. Recent Advances in Synthesis and Photophysical Applications of Pyridine?Based Heterocycles. Asian Journal of Organic Chemistry. 2025 Jun; 14(6):e202500004.
  20. Mishra DR, Sahoo DK, Mishra NP. Recent Advances in Synthesis and Photophysical Applications of Pyridine?Based Heterocycles. Asian Journal of Organic Chemistry. 2025 Jun; 14(6):e202500004.
  21. Shrimandilkar S, Tryambake P, Borgave S, Lokhande D. Design and synthesis of new pyridine-thiazole hybrids as potential antibacterial agents: Spectral, antimicrobial, and in silico molecular docking studies. Journal of Molecular Structure. 2025 May 7:142612.
  22. Ommi O, Bhalerao HA, Malik P, Ali J, Saxena D, Nanduri S, Sonti R, Dasgupta A, Chopra S, Yaddanapudi VM. Synthesis of 1, 3-diaryl substituted pyrazole-based imidazo [1, 2-a] pyridine carboxamides and evaluation of their antitubercular activity. Bioorganic & Medicinal Chemistry. 2025 Aug 6:118341.
  23. Akhtar S, Tiwari S, Kumar R, Gupta N, Gupta N. Recent Advancements in Pyridine Derivatives as Anticancer Agents. IJSAT-International Journal on Science and Technology. 2025 May 24; 16(2).
  24. Abdel-Aziem A, Fouad SA. Recent advances in pyrazolo [3, 4-b] pyridine chemistry: synthesis techniques and biological activity. Molecular Diversity. 2025 Jun 25:1-28.

Photo
Dr. K. Chandra Sekhar
Corresponding author

Dr. K.V. Subba Reddy Institute of Pharmacy, Dupadu, Kurnool-518218.

Photo
J. Shashikala
Co-author

Dr. K.V. Subba Reddy Institute of Pharmacy, Dupadu, Kurnool-518218.

Dr. K. Chandra Sekhar*, J. Shashikala, A Recent Advances in a Pharmacological Diversification of Pyridine Derivative, Int. J. of Pharm. Sci., 2025, Vol 3, Issue 11, 4318-4326 https://doi.org/10.5281/zenodo.17731989

More related articles
Formulation And Evaluation of Herbal Antibacterial...
Siddartha H. N., Harshan K. V., Afnan Pasha, Charles Kiran A., Ve...
Pharmacological and Phytochemical Perspectives of ...
Chandrashekar VM, Marigouda Patil, Salma Banu, Sanjay Havaragi, L...
3D Printing in Personalized Medicine: Current Stat...
Sachin Karwar , Pravin Bhosale, Tejas Kudnar, Pratik Holkar, Vis...
In Situ Gelling Systems: A Smart Approach to Controlled Drug Release...
Dr. Gururaj S Kulkarni, Vishal A., Yaswanth K., Akshitha Y., Amrin M., Chandrakanth G., ...
Detection of Vancomycin-Resistant Enterococci from Clinical Specimens in a Terti...
Dr. Dheeraj Kumar Khandelwal, Smita kulshrestha, Durga prasad, Ritu gupta, ...
Related Articles
A Review on Application of Novel Drug Delivery Systems for the N-Acetylcysteine...
Jyoti Singh, Nadeem A. Farooqui, Nayany Sharma, Nimita Manocha, ...
Safety Pharmacology of Soap: A Comprehensive Review of Dermal, Systemic, Ocular,...
Rahul Chavhan, Shubham Lengare, Abhishek Balame, Sushrit Khalane, Tushar Shivade, Rutika Kharnare, ...
Method Development of Semaglutide And Its Application for Bioanalysis of Clinica...
Vinayak Bhosale, Deepak Bagde , Vishwas Pukale, Rahul Kapse, Vinod Deshmukh, Dr Nutan Gangurde, Swar...
Formulation And Evaluation of Herbal Antibacterial Hand Wash Containing Boerhavi...
Siddartha H. N., Harshan K. V., Afnan Pasha, Charles Kiran A., Venkatesh, Hanumanthachar Joshi, ...
More related articles
Formulation And Evaluation of Herbal Antibacterial Hand Wash Containing Boerhavi...
Siddartha H. N., Harshan K. V., Afnan Pasha, Charles Kiran A., Venkatesh, Hanumanthachar Joshi, ...
Pharmacological and Phytochemical Perspectives of Cansjera rheedei: An Underexpl...
Chandrashekar VM, Marigouda Patil, Salma Banu, Sanjay Havaragi, Lingaraj Anawal, Mallappa Shalavad...
3D Printing in Personalized Medicine: Current Status and Future Prospects...
Sachin Karwar , Pravin Bhosale, Tejas Kudnar, Pratik Holkar, Vishwajeet Rashinkar, Yogesh Patil, ...
Formulation And Evaluation of Herbal Antibacterial Hand Wash Containing Boerhavi...
Siddartha H. N., Harshan K. V., Afnan Pasha, Charles Kiran A., Venkatesh, Hanumanthachar Joshi, ...
Pharmacological and Phytochemical Perspectives of Cansjera rheedei: An Underexpl...
Chandrashekar VM, Marigouda Patil, Salma Banu, Sanjay Havaragi, Lingaraj Anawal, Mallappa Shalavad...
3D Printing in Personalized Medicine: Current Status and Future Prospects...
Sachin Karwar , Pravin Bhosale, Tejas Kudnar, Pratik Holkar, Vishwajeet Rashinkar, Yogesh Patil, ...