View Article

Abstract

The growing demand for ecofriendly and natural cosmetic products has led to an increase in the use of natural pigments to replace synthetic dyes. This study focuses onto the extraction of annatto dye from the seeds of Bixa orellana and its use as natural colorant in nail enamel. Annatto dye consists primarily of two important carotenoid pigments, namely bixin and norbixin that offers a vibrant yellow to orange hue. The dye was extracted by Soxhlet extraction method using acetone as the solvent. The extracted dye was then characterized using thin layer chromatography, UV-Vis spectroscopy and FT-IR analysis. Using the extracted dye, a nail enamel formulation was then developed and the final product was evaluated. Results suggest that annatto dye can effectively function as a natural colorant in nail enamel, offering a safer and more sustainable alternative to synthetic dyes.

Keywords

Annatto, bixin, nail enamel, FT-IR spectroscopy

Introduction

The word "cosmetics" is derived from the Greek word “Kosmos”, which means "order" or "beauty." It was originally used to refer to something that enhances or beautifies one's appearance. These are meant to be applied generally to external parts of body like to skin, hair and nails for the purposes of covering, colouring, softening, cleansing, nourishing, setting, preservation, removal and protection. The cosmetics may be classified into 4 main groups namely –cosmetics for hair, nails, skin and that used for hygiene [1].

    1. Nail enamel:

Nails of the hands and feet have been adorned with primary forms of decoration being shine or colour. It is used widely in order to enhance the aesthetics. They can be defined as suspensions of the coloured pigments in volatile solvents to which various other additives like film-formers, resins, thickeners, plasticizers, etc are added [2]. The most commonly used colouring agents in nail enamels are synthetic dyes because of their vibrant colours, better stability and wide shade range. These are classifies based upon their chemical structures into various classes like azo, quinoline, triarylmethane, xanthene, indigoid [3]. Although synthetic dyes are widely used, they come along with several concerns. Some of them contains traces of heavy metals or harmful chemicals, prolonged exposure to which may produce skin irritation, allergic reactions, hormonal changes and may also be carcinogenic. Being non degradable they also pose a severe threat to the environment including soil, water pollution as well as harming the wildlife [4]. Thus, in order to overcome such problems these synthetic dyes maybe replaced with naturally occurring pigments that are less harmful as well as eco-friendly. Also, there is an increasing demand for the product with the natural ingredients, driven by the health consciousness, awareness on the environmental concerns, cultural factors, etc. Natural dyes are the colorants of the natural origin obtained from plants, animals, minerals, etc. They offer a wide range of vibrant colours, the intensity and the consistency of which depends upon the source, extraction method and the materials used. Some of the commonly used natural dyes include indigo, turmeric, annatto, carmine, hibiscus, cochineal, etc.  The objective of this study is to develop a nail enamel formulation using annatto dye replacing synthetic dyes used in conventional formulations.

    1. Annatto dye:

Annatto dye has been recognized by the US-FDA as generally recognized as safe (GRAS) for use a food colorant and flavouring agent.it is obtained from the outer layer of the seeds of the tropical tree Bixa orellana, native to tropical America and is now grown in many tropical countries in south and central America, Africa, and Asia [5].

Fig 1: Annatto Seeds

Scientific classification:

Kingdom: Plantae

Division: Magnoliophyte

Class: Magnoliopsida

Order: Malvales

Family: Bixaceae

Genus: Bixa

Species: orellana

Common names: Achiote, sindoor plant, lipstick tree, etc.                                                     

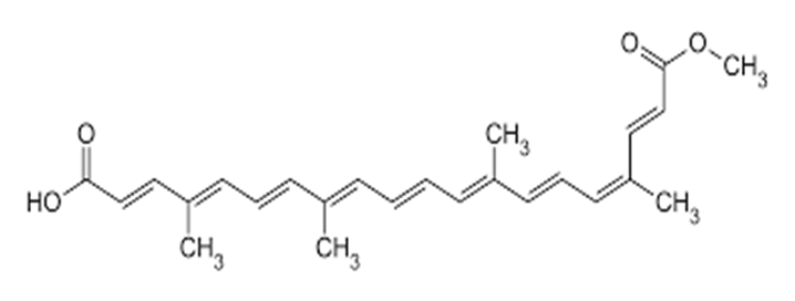
Chemical constituents: The constituents which are responsible for the color of the annatto seeds are bixin and norbixin. These are the carotenoid pigments that give a yellow to orange color. Bixin is the primary pigment which accounts for more than 80 % and is oil soluble. Alkali hydrolysis of methyl ester group in bixin results in the formation of norbixin, which is water soluble. Even though it is found in nature, it is called saponification product of bixin [6]. Apart from this it also contains a combination of b-carotene, cryptoxanthin, zeaxanthin, lutein and methyl bixin. [7]. In addition to its coloring properties, it also has anti-oxidant, anti-inflammatory, anti-fungal and antibacterial properties.

Fig 2: Bixin

Fig 3: Norbixin

2. MATERIALS AND METHODS

2.1 Materials: The annatto seeds were collected from the Government College of Pharmacy, Karad. The seeds were airdried and stored appropriately. All the solvents used in the extraction process were of analytical grade.

2.2 Extraction: The Soxhlet extraction method was used for the extraction of pigments from annatto seeds. The solvent used here is acetone, because of its effectiveness in extracting bixin, as compared to ethanol and hexane [8]. 100 grams of the seeds were taken and grounded to form a coarse powder. These were then packed appropriately into muslin cloth and placed inside the thimble. 1000ml of acetone was used for the extraction. Several cycles of the solvent were run to completely extract the dye, with temperature of the apparatus being maintained at about 300 to 400 C, for about 10 to 12 hours. The extract obtained was then dried by solvent evaporation and concentrated.

Fig 4: Soxhlet Extraction

2.3 Percentage yield: The percentage yield of the extracted sample was the calculated using the following formula:

2.4 Thin layer chromatography: A thin plate was coated with silica-gel G and was activated in a hot air oven at 1100 C for one hour. The sample mixture was then applied onto the plate 1cm from the base, with the help of a capillary tube. The mobile phase comprises of benzene, ethyl acetate and methanol in the ratio 3:4:2 [9].

2.5 UV analysis: A small quantity of powdered extract was dissolved in ethyl acetate and qualitative UV analysis was performed using Shimadzu UV1900i.

2.6 IR analysis: IR analysis of dye powder was performed using Bruker Alpha II FT-IR Spectrometer.

3. FORMULATION

In this study, a natural nail enamel formulation was developed using annatto dye as a natural colorant in order to overcome the problems with the synthetic dyes. The study also aimed to replace synthetic resins and plasticizers with natural alternatives while maintaining gloss, adhesion, durability.        

3.1 Formulation composition

The various ingredients used in the formulation along with their quantities are as follows:

Table 1: Formulation Composition

Ingredients

Quantity (% w/w)

Ethyl cellulose

10 %

Ethyl acetate

60 %

Isopropyl alcohol

10 %

Ethanol

10 %

Castor oil

4 %

Titanium dioxide

4 %

Annatto dye

2 %

  • Ethyl cellulose is used as the main film forming agent.
  • The solvent system comprises of a blend of ethyl acetate, isopropanol and ethanol with ethyl acetate being the primary solvent. It dissolves ethyl cellulose efficiently and being a fast-evaporating solvent, reduces drying time. Isopropyl alcohol is used as a cosolvent and it controls the viscosity and evaporation rate. Ethanol assists in the dispersion of the dye and reduce the overall drying time.
  • Castor oil provides flexibility and prevent cracking of the film, thus improving the film strength.
  • Titanium dioxide is used to opacify the film. It also contributes to UV protection, thus contributing to reduce the photodegradation of dye. However, additional UV stabilizers may be required.

3.2 Step by step procedure

  1. Transfer required quantity of ethyl acetate in a clean beaker.
  2. Gradually add ethyl cellulose with continuous stirring until completely dissolved.
  3. Add the required quantity of isopropyl alcohol to the above mixture.
  4. Pre-disperse annatto dye in ethanol. Stir continuously for 30 min to ensure uniform distribution of the dye. Filter, if necessary.
  5. Slowly add dye to the above mixture with continuous stirring.
  6. Add castor oil slowly while stirring at moderate speed.
  7. Add the required quantity of titanium dioxide gradually, ensuring uniform dispersion.
  8. Continuously stir the mixture for 45 to 60 min to ensure full homogenization.

Check the viscosity and the drying time. Adjust if necessary.

  1. If the formulation is too thick, add a small quantity of ethyl acetate or ethanol. Reducing the concentration of ethyl cellulose also helps to reduce viscosity.
  2. If the viscosity is low, increase the film former or reduce the solvent content.
  3. If the drying is too slow, add fast evaporating solvents like ethyl acetate or ethanol. Reduction of isopropyl alcohol also helps to improve drying time.

Store the formulation in an air tight container to prevent solvent evaporation.

3.3 Evaluation

The prepared formulation was evaluated using the following tests;

  1. Appearance: Visual evaluation under natural and artificial light.
  2. Drying time: The formulation was applied onto a nail and the drying time was identified.
  3. Scratch resistance: This test helps to assess the durability of the film. The formulation is applied onto a glass slide and the pencils of varying hardness were pressed onto the film at an angle of 450 to assess the durability of the film.[10]
  4. Adhesion: The formulation was applied onto a glass slide and was cut into grid patterns. Then a tape was applied and peeled off. Adhesive characteristics were evaluated by amount of the polish removed [11].
  5. Water resistance test: A uniform film was applied onto a glass slide and immersed in a beaker to check the water resistance.
  6. Solvent rub test: In this, the formulation applied onto a glass slide is rubbed with ethanol-soaked cotton. The number of cycles required to fade away the formulation is identified.

4. RESULTS AND DISCUSSIONS

The annatto dye was extracted by Soxhlet extraction using acetone as the solvent. The obtained extract was a reddish-brown powder, with poor water solubility.

4.1 Percentage yield

The Soxhlet extraction of the annatto seeds yielded 4.7gm of the extract. The percentage yield of the extract was calculated using the formula mentioned above and was found to be 4.7 %.

4.2 TLC characterization of the extracted dye

TLC of the extracted sample was performed using benzene: ethyl acetate: methanol as the solvent system. A distinct orange spot [figure 5] with rf value 0.52 was observed, which is in accordance with the literature data, suggesting the presence of bixin [11].

Fig 5:  TLC of the Extracted Sample

4.3 UV-VIS analysis of the extracted dye

The UV-Visible absorption spectra of the annatto extract in ethyl acetate [figure 6] were recorded to confirm the presence of bixin. The UV-Vis spectrum exhibited a primary absorption maximum at approximately 480nm, accompanied by two secondary shoulders around 455nm and 425nm. This band pattern is a characteristic feature of carotenoid pigments and is consistent with the reported lmax values for bixin in ethyl acetate, typically ranging between 470 to 480nm with secondary absorptions around 450nm and 425nm [12]. This may confirm the presence of bixin in the extracted sample.

Fig 6: UV-Vis spectra of the extracted sample

4.4 FT-IR analysis of the extracted sample

IR spectroscopy was used to characterize the molecular structure of bixin using a Bruker OPUS system. Dry extract powder was and the IR spectrum  displaying key vibrations was obtained (figure 7). The FT-IR spectrum of the extracted bixin showed the following absorption bands.

Fig 7: IR spectrum of the extracted sample

Table 2: Interpretation of the IR spectrum

Wavenumber

(cm-1)

Vibrational mode

Group/assignment

Remarks

1740-1730

Stretching

Carbonyl group

Ester/ketone present

1380-1370

Bending

C-H

Methyl

1220-1210

Stretching

C-O

Ester linkage

1000-900

Out of plane bending

=C-H

Characteristic of alkenes

All of the above values align well with the reported literature values of bixin and support its identification.

4.5 Formulation Evaluation

The prepared nail enamel formulation was subjected to various evaluation tests as mentioned above and the results obtained were as follows-

5. CONCLUSION  

The present study successfully demonstrates the feasibility of using annatto dye, as a natural alternative to synthetic dyes in nail enamel formulations. the dye was efficiently extracted using Soxhlet extraction with acetone and was thoroughly characterized using TLC, UV-Vis and FT-IR techniques, confirming the presence of the carotenoid pigment bixin. The formulated nail enamel demonstrated desirable characteristics, including good gloss, drying time, adhesion, and resistance to water and solvents. These results demonstrate that natural dyes can effectively replace synthetic ones, providing a safer and more environmentally sustainable solution for cosmetic application.

REFERENCES

  1. Mithal BM, Saha RN. A handbook of cosmetic sciences. New Delhi: Vallabh Prakashan; 2000.
  2. Baki G, Alexander KS. Introduction to cosmetic formulation and technology. Hoboken (NJ): John Wiley & Sons; 2015.
  3. Guerra E, Llompart M, Garcia-Jares C. Analysis of dyes in cosmetics: challenges and recent developments. Cosmetics [Internet]. 2018 Sep 1 [cited 2025 May 8];5(3):47. Available from: https://www.mdpi.com/2079-9284/5/3/47/htm
  4. Wirtu YD. A review of environmental and health effects of synthetic cosmetics. Front Environ Sci [Internet]. 2024 Oct 22 [cited 2025 May 8];12. Available from: https://www.semanticscholar.org/paper/A-review-of-environmental-and-health-effects-of-Wirtu/41b20b9562b9499e06f2fecc4e56b6bb43aefafe
  5. Elsner P, Maibach HI. Cosmeceuticals: drugs vs. cosmetics. New York: Marcel Dekker; 2000.
  6. Aluko E. Ethanol-based extraction of Annatto (Bixa Orellana L.) and characterization of the bixin and norbixin. ACS Omega [Internet]. 2024 Apr 13 [cited 2025 May 8];9(16):18273–7. Available from: https://www.ncbi.nlm.nih.gov/pmc/articles/PMC11044141/
  7. Ayobami SF. Staining interactions of Bixa Orellana (Annatto) seed extracts with tissues of Wistar rats. Ann Adv Biomed Sci. 2019;2(2).
  8. Pattanaik L, Pradhan S, Shaoo NK, Naik SN. Extraction and rapid quantification of pure bixin from Bixa Orellana L. Indian J Nat Prod Resour. 2019 Jul 3;9(4):290–5.
  9. Bueno DT, Leitzke AF, Crizel RL, Jansen-Alves C, Bertizzolo EG, Porciuncula J, et al. Characterization of bixin by UV-visible spectroscopy and HPLC, and its application as latent fingermark developer. Analytica. 2024 Mar 3;5(1):107–18.
  10. ASTM International. ASTM D3363-22: Standard test method for film hardness by pencil test. West Conshohocken (PA): ASTM International; 2022. doi:10.1520/D3363-22.
  11. ASTM International. ASTM D3359-09ε2: Standard test methods for measuring adhesion by tape test. West Conshohocken (PA): ASTM International; 2009. doi:10.1520/D3359-09E02.
  12. Barel AO, Paye M, Maibach HI, editors. Handbook of cosmetic science and technology. 3rd ed. New York (NY): Informa Healthcare USA; 2009.
  13. Butler H, editor. Poucher’s perfumes, cosmetics and soaps. 10th ed. Dordrecht (NL): Kluwer Academic Publishers; 2000.
  14. Rieger MM, editor. Harry's cosmeticology. 8th ed. Gloucester (MA): Chemical Publishing Co., Inc.; 2000.
  15. Santana Á, Johner JCF, Meireles MAA. Thin-layer chromatography profile of annatto extracts obtained with supercritical carbon dioxide and subsequently high-pressure phase equilibrium data [conference paper on the Internet]. 2016 Oct [cited 2025 May 8]. Available from: https://www.researchgate.net/publication/310701424
  16. Barthel ER, Martini IB, Schwartz BJ. How does the solvent control electron transfer? Experimental and theoretical studies of the simplest charge transfer reaction. J Phys Chem B. 2001;105(49):12230–41.
  17. Food and Agriculture Organization of the United Nations (FAO), World Health Organization (WHO). Annatto extracts (solvent-extracted norbixin). In: FAO JECFA Monographs 3. Rome: FAO; 2006.
  18. Satheesahbabu BK, Haque MU. Evaluation of natural colour from Annatto seeds for pharmaceutical use. Int J Chem Pharm Anal. 2014;1(2):32–5.
  19. Ghosh P, Ghosh A, Mandal SC. Natural dyes and pigments: Their use in sustainable cosmetics. Int J Green Pharm. 2020;14(1):1–10.
  20. Qureshi M, Sharma M, Chaturvedi A, Chaturvedi R. Natural pigments as colorants and antioxidants in cosmetics: A review. Curr Res Green Sustain Chem. 2021; 4:100201.
  21. Sud D, Tiwari A. Development of eco-friendly nail polish using natural film formers. J Cosmet Dermatol Sci Appl. 2015;5(1):1–7.
  22. Sagarin E, editor. Cosmetics: Science and Technology. New York: Interscience Publishers; 1957.

Reference

  1. Mithal BM, Saha RN. A handbook of cosmetic sciences. New Delhi: Vallabh Prakashan; 2000.
  2. Baki G, Alexander KS. Introduction to cosmetic formulation and technology. Hoboken (NJ): John Wiley & Sons; 2015.
  3. Guerra E, Llompart M, Garcia-Jares C. Analysis of dyes in cosmetics: challenges and recent developments. Cosmetics [Internet]. 2018 Sep 1 [cited 2025 May 8];5(3):47. Available from: https://www.mdpi.com/2079-9284/5/3/47/htm
  4. Wirtu YD. A review of environmental and health effects of synthetic cosmetics. Front Environ Sci [Internet]. 2024 Oct 22 [cited 2025 May 8];12. Available from: https://www.semanticscholar.org/paper/A-review-of-environmental-and-health-effects-of-Wirtu/41b20b9562b9499e06f2fecc4e56b6bb43aefafe
  5. Elsner P, Maibach HI. Cosmeceuticals: drugs vs. cosmetics. New York: Marcel Dekker; 2000.
  6. Aluko E. Ethanol-based extraction of Annatto (Bixa Orellana L.) and characterization of the bixin and norbixin. ACS Omega [Internet]. 2024 Apr 13 [cited 2025 May 8];9(16):18273–7. Available from: https://www.ncbi.nlm.nih.gov/pmc/articles/PMC11044141/
  7. Ayobami SF. Staining interactions of Bixa Orellana (Annatto) seed extracts with tissues of Wistar rats. Ann Adv Biomed Sci. 2019;2(2).
  8. Pattanaik L, Pradhan S, Shaoo NK, Naik SN. Extraction and rapid quantification of pure bixin from Bixa Orellana L. Indian J Nat Prod Resour. 2019 Jul 3;9(4):290–5.
  9. Bueno DT, Leitzke AF, Crizel RL, Jansen-Alves C, Bertizzolo EG, Porciuncula J, et al. Characterization of bixin by UV-visible spectroscopy and HPLC, and its application as latent fingermark developer. Analytica. 2024 Mar 3;5(1):107–18.
  10. ASTM International. ASTM D3363-22: Standard test method for film hardness by pencil test. West Conshohocken (PA): ASTM International; 2022. doi:10.1520/D3363-22.
  11. ASTM International. ASTM D3359-09ε2: Standard test methods for measuring adhesion by tape test. West Conshohocken (PA): ASTM International; 2009. doi:10.1520/D3359-09E02.
  12. Barel AO, Paye M, Maibach HI, editors. Handbook of cosmetic science and technology. 3rd ed. New York (NY): Informa Healthcare USA; 2009.
  13. Butler H, editor. Poucher’s perfumes, cosmetics and soaps. 10th ed. Dordrecht (NL): Kluwer Academic Publishers; 2000.
  14. Rieger MM, editor. Harry's cosmeticology. 8th ed. Gloucester (MA): Chemical Publishing Co., Inc.; 2000.
  15. Santana Á, Johner JCF, Meireles MAA. Thin-layer chromatography profile of annatto extracts obtained with supercritical carbon dioxide and subsequently high-pressure phase equilibrium data [conference paper on the Internet]. 2016 Oct [cited 2025 May 8]. Available from: https://www.researchgate.net/publication/310701424
  16. Barthel ER, Martini IB, Schwartz BJ. How does the solvent control electron transfer? Experimental and theoretical studies of the simplest charge transfer reaction. J Phys Chem B. 2001;105(49):12230–41.
  17. Food and Agriculture Organization of the United Nations (FAO), World Health Organization (WHO). Annatto extracts (solvent-extracted norbixin). In: FAO JECFA Monographs 3. Rome: FAO; 2006.
  18. Satheesahbabu BK, Haque MU. Evaluation of natural colour from Annatto seeds for pharmaceutical use. Int J Chem Pharm Anal. 2014;1(2):32–5.
  19. Ghosh P, Ghosh A, Mandal SC. Natural dyes and pigments: Their use in sustainable cosmetics. Int J Green Pharm. 2020;14(1):1–10.
  20. Qureshi M, Sharma M, Chaturvedi A, Chaturvedi R. Natural pigments as colorants and antioxidants in cosmetics: A review. Curr Res Green Sustain Chem. 2021; 4:100201.
  21. Sud D, Tiwari A. Development of eco-friendly nail polish using natural film formers. J Cosmet Dermatol Sci Appl. 2015;5(1):1–7.
  22. Sagarin E, editor. Cosmetics: Science and Technology. New York: Interscience Publishers; 1957.

Photo
Urmik Bhandari
Corresponding author

Government College of Pharmacy Karad

Photo
Dr S. S. Chavan
Co-author

Government College of Pharmacy, Karad, Maharashtra- 415124.

Photo
Swarup Karande
Co-author

Government College of Pharmacy, Karad, Maharashtra- 415124.

Photo
Vishal Swami
Co-author

Government College of Pharmacy, Karad, Maharashtra- 415124.

Photo
Yuvraj Gawali
Co-author

Government College of Pharmacy, Karad, Maharashtra- 415124.

Urmik Bhandari*, Dr S. S. Chavan, Swarup Karande, Vishal Swami, Yuvraj Gawali, Natural Pigments in Cosmetics: Annatto Dye Extraction and Its Use in Nail Enamel, Int. J. of Pharm. Sci., 2025, Vol 3, Issue 6, 2744-2753. https://doi.org/10.5281/zenodo.15657555

More related articles
Exploring The Medicinal Potential of Pterocarpus M...
Prajakta Mope , Sheetal Gosavi, Charushila Bhangale, ...
Formulation of Low Glycemic Index Biscuit for Suit...
Ashvini Nangare, Devidas Kharad, Kanchan Vanve, ...
A Review on Therapeutic Properties and Hepatoprote...
Shamina S., Mahadevan S., Muhammed Uvais T. T., Abdul Rahman S., ...
The Review On 3D Printing in Pharmacy...
Dr. Nilesh Mhaske, Prem Dalvi, ...
Therapeutic and Diagnostic Potential of Metallic Nanoparticles: A Comprehensive ...
Chaithra R. P., Pradeep U. , Keerthi H. M., Deepa S. M., Kavya S., Rahul R. P., ...
Development And Validation Of RP-HPLC Methods For Estimation of Pregabalin and P...
Prashant D. Ramchandani, Dhirendra Kumar Tarai, Khyati P. Bhupta, Dr. Santosh R. Kirtane, ...
Related Articles
Geriatric Antibiotic Use in the Medical Wards of a Tertiary Care Hospital, India...
Lita Susan Thomas, Betsy Mathew, Mamata Gurupad Kanchugar, Prithvika Wagle, Tayeeb Ahmed, ...
Formulation And In Vitro Evaluation Of Nystatin's In Liposomal Drug Delivery Sys...
Pratikeswar Panda, Sagarika Mohapatra, Rakesh Sahoo, ...
Development and Industrial Applications of Transdermal Patch: Formulated by Usin...
Vishwajit S. Patil, Omkar J. Baravkar, Prasad P. Amane, Vyankatesh R. Dharanguttikar, ...
Acrylamide: Analytical Methods, Toxicity and Regulatory Aspect...
Krina Patel, Dr. Hina Bagada, Ruchita Savaniya, Dr. Hina Bagada, ...
Exploring The Medicinal Potential of Pterocarpus Marsupium: A Comprehensive Revi...
Prajakta Mope , Sheetal Gosavi, Charushila Bhangale, ...
More related articles
Exploring The Medicinal Potential of Pterocarpus Marsupium: A Comprehensive Revi...
Prajakta Mope , Sheetal Gosavi, Charushila Bhangale, ...
Formulation of Low Glycemic Index Biscuit for Suitable for Diabetics...
Ashvini Nangare, Devidas Kharad, Kanchan Vanve, ...
A Review on Therapeutic Properties and Hepatoprotective Activities of Traditiona...
Shamina S., Mahadevan S., Muhammed Uvais T. T., Abdul Rahman S., Jamal Fathima M., ...
Exploring The Medicinal Potential of Pterocarpus Marsupium: A Comprehensive Revi...
Prajakta Mope , Sheetal Gosavi, Charushila Bhangale, ...
Formulation of Low Glycemic Index Biscuit for Suitable for Diabetics...
Ashvini Nangare, Devidas Kharad, Kanchan Vanve, ...
A Review on Therapeutic Properties and Hepatoprotective Activities of Traditiona...
Shamina S., Mahadevan S., Muhammed Uvais T. T., Abdul Rahman S., Jamal Fathima M., ...