View Article

Abstract

Imidazole, a five-membered heterocyclic ring containing two nitrogen atoms, serves as a vital pharmacophore in medicinal chemistry due to its versatile biological activities and structural adaptability. This review provides a comprehensive overview of imidazole derivatives, highlighting their diverse pharmacological potentials, including antimicrobial, antifungal, anticancer, anti-inflammatory, antiviral, antitubercular, and antioxidant properties. The structure–activity relationship (SAR) of various imidazole-based compounds is discussed to understand the influence of different substituents on biological efficacy. Additionally, the review explores recent advances in the synthesis of novel imidazole derivatives and their therapeutic applications. The growing interest in imidazole-containing compounds underscores their significance as promising candidates for drug development. This compilation aims to aid researchers in designing more potent and selective therapeutic agents by leveraging the unique chemical features of the imidazole scaffold.

Keywords

Imidazole, heterocyclic compounds, biological activities, antifungal agent drug discovery.

Introduction

Imidazole ring, a five-membered heterocyclic structure containing two nitrogen atoms, plays a key role in the molecular architecture of numerous biologically active compounds. This unique structure allows for versatile chemical modifications, which contributes to the broad spectrum of therapeutic applications observed among imidazole derivatives.

Over the past decades, research has demonstrated that imidazole-containing compounds exhibit a wide range of pharmacological effects, including antimicrobial, anticancer, anti-inflammatory, antifungal, antiviral, antihypertensive, and enzyme-inhibitory properties. Their efficacy, combined with structural flexibility and relatively favorable pharmacokinetic profiles, has made them attractive targets for drug development and pharmaceutical innovation.

This review aims to provide a comprehensive overview of the pharmacological potentials of imidazole derivatives, highlighting their mechanisms of action, therapeutic relevance, and future prospects in drug discovery. By compiling and analyzing existing research, this work seeks to underscore the significance of imidazole chemistry in modern pharmacotherapy and inspire further investigation into this promising class of compounds.[1]

Synthesis of Imidazole :

Imidazole was initially synthesized by Heinrich Debus in 1858 through a reaction involving formaldehyde and ammonia. However, several imidazole-based compounds had already been identified during the 1840s.[2]

SCHEME - 1

Radziszewski Synthesis

Named after Heinrich Debus and Bronis?aw Leonard Radziszewski, this reaction is a multicomponent organic synthesis method used to produce imidazole derivatives. The process typically involves the condensation of a 1,2-dicarbonyl compound (such as glyoxal, a keto-aldehyde, or a diketone) with an aldehyde in the presence of ammonia. For example, when benzaldehyde reacts with glyoxal and two equivalents of ammonia, the product formed is 2,4,5-triphenyl-1H-imidazole.[2]

SCHEME - 2

Wallach Synthesis

In the Wallach synthesis, nitroxaamide is generated through the reaction of phosphorus oxychloride with an N,N-disubstituted oxamide. This compound is subsequently reduced using hydroiodic acid to yield a nitrogen-containing intermediate. Specifically, when N,N-dimethyloxamide reacts with phosphorus pentachloride, it forms a chlorinated intermediate, which upon reduction with hydroiodic acid produces N-methylimidazole.[3]

SCHEME - 3

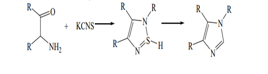
Markwald Synthesis

 The preparation of 2- mercaptoimidazoles from an amino ketones or aldehyde and potassium thiocyanate or alkyl isothiocyanates is a common method for the synthesis of imidazoles. The sulfur is easily removed by oxidation.

Structure-Activity Relationship of Imidazole Ring :

Imidazole derivatives exhibit various biological activities, and their effectiveness is closely tied to structural modifications. Substitution at position 2 of the imidazole ring is known to influence how well the compound binds to specific receptors. Meanwhile, changes at positions 4 and 5 tend to affect the molecule’s lipophilicity and its electronic characteristics. Alterations at the nitrogen atom (N-1) are particularly important for improving metabolic stability and pharmacokinetic behaviour.[4]

Electronic properties also have a significant impact on biological activity. The way electron density is distributed across the imidazole ring can determine how effectively the compound interacts with biological targets. Studies have shown that placing electron-withdrawing groups at the 2-position can boost antimicrobial properties, while electron-donating groups may enhance anti-inflammatory effects.[5]

Additionally, the three-dimensional orientation of substituents, including stereochemistry, plays a crucial role—especially in receptor-specific interactions. This is particularly important in the design of enzyme inhibitors, where the exact spatial configuration of the molecule affects how tightly and selectively it binds to its target.[6]

1. N-1 Position Substitution:

  • Substitution at the nitrogen in position 1 is crucial for biological activity.
  • Introducing a methyl group at either N-1 or N-3 typically leads to a loss of efficacy.

2. Lipophilic Modifications:

  • Adding lipophilic groups, particularly five- or six-membered rings, tends to enhance biological activity.

3. Aromatic Ring Substitution (Positions 2, 4, 6):

  • Incorporating aromatic groups at these positions, especially when substituted with halogens (e.g., chlorine,[7]

REACTIVITY :

Imidazole exhibits chemical behavior that bridges the characteristics of both pyrrole and pyridine. The nitrogen atom at position 3 (N-3), which has a free electron pair not involved in aromaticity, is susceptible to attack by electrophiles. In contrast, the other nitrogen atom—analogous to the one in pyrrole—is part of the aromatic sextet and does not participate in such reactions.

Although the imidazole ring can undergo electrophilic substitution at carbon atoms on the ring, it typically resists nucleophilic substitution unless the ring is activated by strongly electron-withdrawing substituents. Without such activation, the most reactive site for nucleophilic attack is generally the C-2 position.

In the case of benzimidazoles, the attached benzene ring withdraws electron density, making the C-2 position significantly more reactive toward nucleophiles. This enhanced reactivity enables a wider range of nucleophilic substitution reactions compared to imidazole.

The chemical behavior of both imidazole and benzimidazole can be understood through their resonance structures, where dipolar forms have a meaningful role. These resonance contributors support the following predictions:[8]

  • Electrophilic substitution may occur at N-3 or any carbon atom on the imidazole ring.
  • Nucleophilic attack is most favorable at C-2 (or possibly C-1 in imidazole).
  • The molecules demonstrate amphoteric behavior, meaning they can act as both acids and bases.

In benzimidazole, nucleophilic reactivity at C-2 is especially prominent in the ionized form, where the electron-withdrawing nature of the benzene ring further promotes attack by nucleophiles at this position.

Physical properties:

Property

Value

Appearance

White to pale yellow crystalline solid

Odor

Slightly amine-like

 

Melting point

89–91?°C

Boiling point

256–257?°C

Density

1.03 g/cm³ (at 20?°C)

Solubility in water

Miscible

Solubility in organic solvents

Soluble in ethanol, methanol, acetone, DMSO, etc.

Imidazole exhibits a high dipole moment of approximately 4.8 Debye when measured in dioxane, indicating its strong polarity. It demonstrates amphoteric behavior, acting both as an acid and a base, with a pKa around 7.2, which is higher than that of both pyrazole and pyridine, suggesting stronger basic character in aqueous solution.

As an aromatic heterocycle, imidazole has a resonance energy of 14.2 kcal/mol, which is nearly half the resonance energy observed for pyrazole. This lower value still supports significant aromatic stability but indicates less delocalization compared to some related heterocycles.

Electrophilic substitution reactions are common in imidazole due to the electron-rich nature of the ring. In contrast, nucleophilic substitution is less favorable and generally requires the presence of electron-withdrawing substituents attached to the ring to activate it for such reactions.

Imidazole has a melting point of approximately 90°C. It is classified as a weak base and exhibits tautomerism, primarily due to the equivalence of the hydrogen atoms at the C-4 and C-5 positions on the ring, which can interchange through proton transfer.[9]

Mechanism of action imidazole:

Imidazole derivatives display their biological effects through multiple mechanisms. One key mechanism involves the inhibition of specific enzymes. For example, azole antifungal agents target and inhibit lanosterol 14α-demethylase, which interrupts the synthesis of ergosterol, an essential component of fungal cell membranes.[11]

Another important pathway is through interaction with receptors. Many imidazole-containing compounds act as either agonists or antagonists at various receptors. The imidazole ring is capable of diverse interactions, including hydrogen bonding via its nitrogen atoms, π-π stacking with aromatic residues in proteins, and coordination with metal ions found in metalloenzymes.

A third significant mode of action involves effects on cellular membranes. Certain imidazole derivatives modulate cellular function by interacting with membranes, which can alter membrane permeability or disrupt ion channel activity. These changes can profoundly affect cell viability and physiological processes.[12]

PHARMACOLOGICAL ACTIVITIES OF IMIDAZOLES :

Activity Type

Examples/ Derivatives

Mechanism/ Targets

1. Antifungal

Ketoconazole, Miconazole, Clotrimazole

inhibits lanosterol 14α-demethylase, disrupting fungal cell membrane synthesis (ergosterol pathway).

2. Antibacterial

Metronidazole, Tinidazole

Binds to DNA, causing strand breakage; effective against anaerobes

3. Antiviral

EICAR, Imidazole-phenazines, benzimidazoles

Inhibits viral polymerases, proteases, or M2 ion channels (influenza), or affects viral replication.

4. Anti-inflammatory

Novel imidazole-COX inhibitors

Inhibits COX-2, reducing prostaglandin synthesis and inflammation.

5. Antitubercular

Imidazole-thiazole hybrids

Inhibits InhA, mycolic acid synthesis, or protein kinases in M. tuberculosis.

6. Antihypertensive

Losartan (imidazole-like moiety)

Angiotensin II receptor blocker (ARB).

7. Anticancer

Imidazole-linked chalcones, HDAC inhibitors

Inhibits topoisomerase, HDAC, or interferes with DNA/RNA synthesis.

8. Antioxidant

Imidazole-flavonoids, polyphenols

Scavenge ROS, inhibit lipid peroxidation.

IMIDAZOLES AS ANTI-FUNGAL AGENTS :

In recent years, the development of new antifungal drugs has primarily centered on the chemistry of imidazole and triazole compounds. The class of medications known as azoles, which includes various 1-substituted imidazole and triazole derivatives, represents the contemporary standard for both topical and systemic fungal infection treatments.

Imidazole-based antifungals are known for their significant pharmacological and biochemical effects. However, lipophilic imidazole drugs such as clotrimazole, econazole, and miconazole exhibit limited systemic bioavailability when taken orally. This limitation is due to their poor absorption and extensive first-pass metabolism, which has restricted their use mainly to topical applications.[10]

2-(4-hydroxyphenyl)-1H-benzimidazole

Anti-inflammatory and analgesic activity :

Non-steroidal anti-inflammatory drugs (NSAIDs) are commonly used to manage conditions involving inflammation, such as fever, pain, and swelling. Their primary mechanism of action is the inhibition of the enzyme cyclo-oxygenase (COX), which is responsible for converting arachidonic acid into prostaglandins and thromboxanes—key mediators of inflammation and pain.

Among various bioactive substances, imidazole-containing compounds have shown notable anti-inflammatory properties, adding to their diverse biological activities.[11]

Antitubercular Activity:

Blockade of Mycolic Acid Synthesis: Mycolic acids are a critical part of the Mtb cell wall. Some imidazole derivatives are also known to inhibit enzymes (such as InhA) involved in their production. Inhibition of the Cytochrome P450 Enzymes: Imidazoles are able to interact with Mtb CYP (e.g. CYP121) involved in cholesterol catabolism and the survival of Mtb in macrophages. Interference with Cell Membrane Stability: Imidazole groups have been reported to interact with membrane lipids and hence disrupt bacterial cell membrane. Energy Metabolism as a Target: Some imidazole derivatives have been reported to inhibit ATP production in Mtb, thus starving the bacterium of energy.

Anticancer activity :

Imidazole is a five-membered compound with two nitrogen atoms. It plays an important role in medicinal chemistry because of its wide range of biological effects, including anticancer properties. Researchers have extensively studied the anticancer potential of imidazole and its derivatives. These compounds show promising activity against different types of cancer.

Imidazole-based molecules have several ways of fighting cancer. One main method is their interaction with DNA. They can intercalate into DNA or inhibit enzymes that modify DNA, such as topoisomerases. This disrupts crucial processes like DNA replication and transcription in cancer cells. As a result, it leads to cell cycle arrest and apoptosis.[14]

Another key action is the inhibition of important enzymes that contribute to cancer progression. Imidazole derivatives can block kinases, histone deacetylases (HDACs), and cytochrome enzymes that are often overproduced in tumors. By stopping these enzymes, imidazole compounds can slow down tumor growth, blood vessel formation, and metastasis.

Additionally, imidazole-based compounds can trigger apoptosis through mitochondrial pathways. This process involves changes in mitochondrial membrane potential, activation of caspases, and regulation of proteins that either promote or prevent apoptosis. Some imidazole derivatives also have anti-angiogenic effects. They interfere with vascular endothelial growth factor (VEGF) signaling, which limits blood supply to tumors.[15]

Several drugs containing imidazole, such as clotrimazole, ketoconazole, and albendazole, have shown anticancer effects in both preclinical and clinical studies. Researchers are repurposing or modifying these compounds to improve their selectivity and lower toxicity in cancer treatment.

Antiviral activity :

Imidazole and its analogs have garnered significant attention in medicinal chemistry due to their diverse biological effects, particularly their antiviral potential. The imidazole moiety—a five-membered ring containing two nitrogen atoms—plays a critical role in interacting with various biological targets. In terms of antiviral properties, many imidazole-based compounds have demonstrated effectiveness against a range of viruses, including Herpes Simplex Virus (HSV), Human Immunodeficiency Virus (HIV), Influenza, and Hepatitis viruses. These compounds typically exert their antiviral effects by inhibiting essential viral enzymes such as reverse transcriptase, protease, or RNA polymerase, which are crucial for viral replication. Numerous synthetic imidazole derivatives have been developed to optimize their antiviral performance. Modifications on the imidazole ring have been shown to improve specificity, potency, and pharmacokinetic characteristics, enhancing their potential as antiviral therapeutics. Some of these molecules also show broad-spectrum activity, being effective against both DNA and RNA viruses.[16]

Applications of Imidazole

1. Pharmaceutical Applications

  • Integral components of antifungal drugs like miconazole, ketoconazole, and clotrimazole.
  • Used in the development of antiviral, antiparasitic, and antibacterial agents.
  • Found in medications for cancer treatment and inflammation control.
  • Serve as antihistamines and blockers of histamine receptors.

2. Biochemical Uses

  • Employed as a buffering agent in laboratory settings to maintain a neutral pH (~7).
  • Utilized in protein purification, particularly for eluting His-tagged proteins via affinity chromatography.
  • Important in enzyme research because it resembles the imidazole-containing side chain of histidine.

3. Role in Chemical Synthesis

  • Acts as a base or catalyst in various organic reactions.
  • Functions as a ligand in coordination chemistry.
  • Serves as an intermediate in the synthesis of pharmaceuticals, dyes, and insecticides.

4. Commercial Applications

  • Used to inhibit corrosion in pipelines and metal surfaces.
  • Functions as a curing agent for plastics and epoxy resins.
  • Acts as an accelerator in the vulcanization process of rubber.

CONCLUSION:

Imidazole-based compounds are widely utilized in both chemistry and medicine due to their diverse therapeutic applications. These derivatives have been proven effective against a variety of health conditions. Research has shown that imidazole derivatives possess a broad spectrum of biological activities, including antifungal, antibacterial, anti-inflammatory, analgesic, anticancer, antidepressant, antiviral, and anti-tuberculosis effects. By making subtle modifications to the imidazole structure, scientists are able to enhance the potency and effectiveness of these drugs. Recent advancements in the development of imidazole-containing medications have led to better treatment outcomes with fewer side effects. Given their significant medicinal potential, there is an increasing focus among researchers on exploring and optimizing imidazole derivatives.

REFERENCES

  1. Imidazole (Wikipedia): Detailed physicochemical data including formula, melting/boiling points, density, aromaticity, dipole moment, and amphoterism
  2. . Delia H R, Victor E. T H, Oscar G B et al, Synthesis of imidazole derivatives and their biological activities, Journal of chemistry and biochemistry, 2, 2014, 45-83.
  3. Kartaraski, Comp..Hetro, Chem., 1984, 5,345-498
  4. Zhao YH, Abraham MH, Zissimos AM. Fast calculation of van der Waals volume as a sum of atomic and bond contributions. J Org Chem. 2003;68(19):7368-7373.
  5. Narasimhan B, Sharma D, Kumar P. Biological importance of imidazole nucleus in the new       millennium. Med  2011;20(8):1119-1140
  6. Sheehan DJ, Hitchcock CA, Sibley CM. Current and emerging azole antifungal agents. Clin Microbiol Rev. 1999;12(1):40- 79.
  7. Jain M.K., Sharma S.C., Modern Organic Chemistry, vishal publication,co. 2005,809.
  8.  Chemotherapy of fungal disease. (Springer - Verlong), Vol. 96,257-267
  9. D. Olender, J. Zwawiak, V. Lukianchuk, R. Lesyk, A. Kropacz , A. Fojutowski, L Zaprutko, European Journal of Medicinal Chemistry., 2009, 44, 645-652
  10. A. Puratchikodya and M. Doble, Bioorganic & Medicinal Chemistry. 2007, 15,1083–1090
  11. Odds FC, Brown AJ, Gow NA. Antifungal agents: mechanisms of action. Trends Microbiol. 2003;11(6):272-279
  12. Hitchcock CA. Cytochrome P-450-dependent 14α-sterol demethylase of Candida albicans and its interaction with azole antifungals. Biochem Soc Trans. 1991;19(3):782-78
  13. https://ijppr.humanjournals.com/wp-content/uploads/2022/06/3.Rushikesh-Mane-Rohit-Jaysing-Bhor-Mane-Ankita-Prakash.pdf
  14. Y. Özkay , I. Iskar , Z. Incesu , G. e. Akal?n , European Journal of Medicinal Chemistry., 2010, xxx , 1-9                          
  15.   H. M. Refaat, European Journal of Medicinal Chemistry., 2010, 45, 2949-2956
  16. D. Sharma, B. Narasimhan, P. Kumar, V. Judge, R. Narang, E. De Clercq, J. Balzarini, European Journal of Medicinal Chemistry., 2009, 44, 2347–2353.

Reference

  1. Imidazole (Wikipedia): Detailed physicochemical data including formula, melting/boiling points, density, aromaticity, dipole moment, and amphoterism
  2. . Delia H R, Victor E. T H, Oscar G B et al, Synthesis of imidazole derivatives and their biological activities, Journal of chemistry and biochemistry, 2, 2014, 45-83.
  3. Kartaraski, Comp..Hetro, Chem., 1984, 5,345-498
  4. Zhao YH, Abraham MH, Zissimos AM. Fast calculation of van der Waals volume as a sum of atomic and bond contributions. J Org Chem. 2003;68(19):7368-7373.
  5. Narasimhan B, Sharma D, Kumar P. Biological importance of imidazole nucleus in the new       millennium. Med  2011;20(8):1119-1140
  6. Sheehan DJ, Hitchcock CA, Sibley CM. Current and emerging azole antifungal agents. Clin Microbiol Rev. 1999;12(1):40- 79.
  7. Jain M.K., Sharma S.C., Modern Organic Chemistry, vishal publication,co. 2005,809.
  8.  Chemotherapy of fungal disease. (Springer - Verlong), Vol. 96,257-267
  9. D. Olender, J. Zwawiak, V. Lukianchuk, R. Lesyk, A. Kropacz , A. Fojutowski, L Zaprutko, European Journal of Medicinal Chemistry., 2009, 44, 645-652
  10. A. Puratchikodya and M. Doble, Bioorganic & Medicinal Chemistry. 2007, 15,1083–1090
  11. Odds FC, Brown AJ, Gow NA. Antifungal agents: mechanisms of action. Trends Microbiol. 2003;11(6):272-279
  12. Hitchcock CA. Cytochrome P-450-dependent 14α-sterol demethylase of Candida albicans and its interaction with azole antifungals. Biochem Soc Trans. 1991;19(3):782-78
  13. https://ijppr.humanjournals.com/wp-content/uploads/2022/06/3.Rushikesh-Mane-Rohit-Jaysing-Bhor-Mane-Ankita-Prakash.pdf
  14. Y. Özkay , I. Iskar , Z. Incesu , G. e. Akal?n , European Journal of Medicinal Chemistry., 2010, xxx , 1-9                          
  15.   H. M. Refaat, European Journal of Medicinal Chemistry., 2010, 45, 2949-2956
  16. D. Sharma, B. Narasimhan, P. Kumar, V. Judge, R. Narang, E. De Clercq, J. Balzarini, European Journal of Medicinal Chemistry., 2009, 44, 2347–2353.

Photo
Snehal Lahare
Corresponding author

PRES, Institute Of Pharmacy Loni, kd

Photo
Archana Kadam
Co-author

PRES, Institute Of Pharmacy Loni, kd

Photo
Pooja Nikam
Co-author

PRES, Institute Of Pharmacy Loni, kd

Photo
Saniya Shaikh
Co-author

PRES, Institute Of Pharmacy Loni, kd

Photo
Ashwini Landge
Co-author

PRES, Institute Of Pharmacy Loni, kd

Photo
Samarth Bankar
Co-author

PRES, Institute Of Pharmacy Loni, kd

Photo
Shivkanya Jaybhaye
Co-author

PRES, Institute Of Pharmacy Loni, kd

Snehal Lahare, Archana Kadam, Pooja Nikam, Saniya Shaikh, Ashwini Landge, Samarth Bankar, Shivkanya Jaybhaye, Imidazole Derivatives: A Comprehensive Review of Their Pharmacological Potentials, Int. J. of Pharm. Sci., 2025, Vol 3, Issue 9, 40-48. https://doi.org/10.5281/zenodo.17015796

More related articles
Formulation and Evaluation of Herbal Digestive Syr...
Sahil Sonlal Janwale, Sujal Anil Jagnade, Pratham Yogesh Bangar,...
A comprehensive review on Pharmacovigilance Enhanc...
Arkaydius Jyndiang, A. R. Shabaraya, Viresh K. Chandur, ...
Overview of Nanoparticle...
Vanve Kanchan, Mokate Rajesh , ...
Review Article On Asthama...
Ashwini Manohar Bongane , Manisha vikar, Dr. Kavita Kulkarni , ...
Emerging Frontiers in Lung Cancer Management: Targeted Therapy, Immunotherapy, a...
Uday R., Dr. Manjunatha P. M., Nageena Taj, Nikhil H. R., Rajesh A., ...
Related Articles
Therapeutic Properties and Health Benefits of Chia Seeds (Salvia hispanica L.): ...
Shubham Baravkar , Lakshmi Uttam Aru, T. P. Shinde , Rajesh Bharajkar , Tejaswini Gurud, ...
Microneedle-Based Transdermal Delivery of Lovastatin for Enhanced Wound Healing:...
Rajni dubey, Rani Namdev, Dr. Bhaskar Kumar Gupta, Mariya Beg, ...
Formulation and evaluation of face scrub gel using orange peel...
Vaishnavi V, Amaniya Ayoob , Amina R., Alpha C. Aniyankunj , Annie Baby, Sufana Siyad , ...
AI in Molecular Design and Optimization in Drug Discovery...
Sai Swagatika Das, Tushar Kanti Das, Biswa Bhusan Padhi , Nityapriya Maharana, Jeeban Pradeep Agniho...
Formulation and Evaluation of Herbal Digestive Syrup Using Fennel Fruit, Ajwain,...
Sahil Sonlal Janwale, Sujal Anil Jagnade, Pratham Yogesh Bangar, Jayesh Gangadhar Jadhav , Avishkar...
More related articles
Formulation and Evaluation of Herbal Digestive Syrup Using Fennel Fruit, Ajwain,...
Sahil Sonlal Janwale, Sujal Anil Jagnade, Pratham Yogesh Bangar, Jayesh Gangadhar Jadhav , Avishkar...
A comprehensive review on Pharmacovigilance Enhancing Drug Safety and Surveillan...
Arkaydius Jyndiang, A. R. Shabaraya, Viresh K. Chandur, ...
Overview of Nanoparticle...
Vanve Kanchan, Mokate Rajesh , ...
Formulation and Evaluation of Herbal Digestive Syrup Using Fennel Fruit, Ajwain,...
Sahil Sonlal Janwale, Sujal Anil Jagnade, Pratham Yogesh Bangar, Jayesh Gangadhar Jadhav , Avishkar...
A comprehensive review on Pharmacovigilance Enhancing Drug Safety and Surveillan...
Arkaydius Jyndiang, A. R. Shabaraya, Viresh K. Chandur, ...
Overview of Nanoparticle...
Vanve Kanchan, Mokate Rajesh , ...