View Article

Abstract

Cardiovascular diseases (CVD's) contribute for the world’s leading cause of mortality and leads to health loss and excessive health care expenses. Cardiovascular disease is a term covers many diseases which affects heart or circulatory vessels. Risk assessment of cardiovascular diseases with traditional risk factors such as age, gender, blood pressure, smoking, lipids, Diabetes remained relatively fixed over the past decades. The purpose of FRS is to estimate the 10-year risk of growing cardiovascular diseases and CARRF-KL scale helps to assess knowledge about cardiovascular diseases in patients.A prospective observational study was performed on 133 patients in General Medicine Department. A questionnaire was designed to determine the cardiovascular risk by Framingham risk score and level of knowledge on CVD risk factors by using CARRF-KL scale. Data was analysed by using Odds ratio, Pearson Co-relation co-efficient. Statistics.In our hospital based observational study, collected data of 133 patients demonstrated that age, gender, alcohol, smoking are the common risk factors for CVD’s. We found that age >50yrs (51) patients at high risk 13, low and moderate risk 38. Males are at high risk (71) when compared to females (62) followed by Smoking (37), Alcohol (60), Diabetic (29), Hypertension (46) respectively. We also found that participants with High, Moderate, low knowledge are at cardiovascular risk. The overall study concluded that there is no relation between cardiovascular risk and knowledge. Patients with High and moderate, low knowledge

Keywords

Cardiovascular Diseases (CVDs), Framingham Risk Score, CVD Risk Factors Knowledge Level Scale (CARRF-KL), Knowledge Level

Introduction

Cardiovascular diseases (CVD’s) continue to be the world’s leading cause of death and contribute to health care expenses. It is the crucial cause of death in all parts of India with the turn of the century. Cardiovascular disease is a term covers many diseases which affects heart or circulatory vessels which includes Hypertension, Angina Pectoris,Ischemic heart disease (IHD), Acute Myocardial Infarction (AMI), Atherosclerosis and Stroke. Risk assessment for cardiovascular diseases with traditional risk factors remained relatively fixed over the past decades (1). 

EPIDEMIOLOGY: 

CVD is a leading source of premature mortality accounting for 18.6 million deaths in 2019 worldwide. IHD & Stroke are top-ranking cause of global deaths accounting for 9.1 million & 6.5 million deaths in the year 2019. An estimate for 2030 shows that, CVD related mortality could be greater than 23 million globally (1). In India, addressing the significant burden requires understanding the complex dynamics underlying both biological and social determinants and their interactions are the reasons for high susceptibility to CVD, high mortality, and high premature mortality (1).  

Fig. 01. Schematic representation of the unmodifiable and modifiable risk factors.

RISK FACTORS:

Table 01: Tabulation of Risk factor

NON-MODIFIABLE (22):

MODIFIABLE (22):

Age: increases the risk for Women of age, over 55years and Men over 45years are more vulnerable.

Smoking:  Significant independent risk factor. Quitting smoking significantly reduces risk.

Sexual: Early in life, men are more at risk

Diet: Risk increases having a diet rich in saturated fats, trans fats and sodium, A Mediterranean or DASH diet is recommended.

Hormonal Changes: Postmenopausal women are at higher risk.

Physical Inactivity: Lack of regular physical activity contributes to obesity and high blood pressure.

Genetics: Premature CVD in the family (Men under 55 years, Women under 65years).

Obesity: Central obesity (high waist-to-hip ratio) is a significant risk factor.

FRAMINGHAM RISK SCORE SCALE 

The Framingham heart consider has been a front-runner with the advancement of multi-variable measurable pattern to assess chance of coronary heart illness. These patterns are used to evaluate the effect of quantifiable, modifiable chance components and measures hazards of coronary heart diseases utilized over a predetermined period for following 10years for the improvement. This system defines an exertion to create accessible a device for clinicians to aid in their decision-making with respect to treatment, and helps in inducing patients towards solid conduct this framework is additionally promptly accessible to patients who can effectively assess their claim coronary heart infection’s chance and screen this hazard over time (2). Rules for the avoidance of coronary heart infections prescribe the utilize of chance scores to recognize grown-ups at higher hazard of CHD for whom preventive treatment by lipid bringing down drugs has higher supreme benefits (3). Since cardiovascular diseases are the leading cause of death worldwide, the FRS is the most widely used method for assessing the risk of CVD. Low risk individuals have a 10% or lower chance of developing coronary heart disease after 10yeras. 20% or more have high risk, whereas 10% to 20% have intermediate risk. (3). Each subject's age, gender, smoking status,

diabetes mellitus, systolic blood pressure, hypertension therapy, blood cholesterol, and high-density lipoprotein levels were used to determine their Framingham risk score(4). The concept of risk assessment and diminishment are the foundation in preventive cardiology practice. the Framingham heart study is considered as the milestone achievement that contributed a comprehensive knowledge on coronary heart disease risk prediction (4). 

CARDIOVASCULAR DISEASE RISK FACTORS KNOWLEDGE LEVEL SCALE (CARRF-KL) 

There are abundant risk factors contributing to the advancement of CVD but, a few of these risk components are modifiable (such as dyslipidaemia, hypertension, smoking, diabetes, lacking physical movement, and obesity), a few are non-modifiable (such as sex, age, race, hereditary predisposition). In spite of the fact that CVDs are not totally preventable, it is probability to diminish the threat of CVDs impressively by incorporating a healthy lifestyle (5). People may embrace a modern way of life by giving up a recognizable behaviour as it were upon having adequate knowledge level on the subject. It is detailed that the selection of healthy way of life behaviours may be low in patients with low knowledge level (6). Furthermore, the low level of knowledge around the disease may cause numerous negative circumstances such as inappropriate medication use, medication without indications, and expanded presentation to risk factors. Study says that patients with a low level of knowledge are more unsuccessful in portraying assault indications. In this case, it drags out the patients get to treatment and may antagonistically influence the victory of the treatment (7). Knowledge improving methods can contribute to reducing the risk by making a variation in patient to receive healthy way of life behaviours permanently (8). 10 In expansion, the disease-related information level of 2 patients having comparable illness characteristics may to change depending on individual beliefs, financial status, and social status (9). Subsequently, it is exceptionally vital to decide the current knowledge level of the patients and illuminate them about the required issues. The aim of study was to decide the knowledge levels of people appearing to cardiology outpatient clinic around risk factors for CVDs and the impacting variables. Cardiovascular disease is the one of the major causes of disabilities, high mortality and raising wellbeing care fetched in the world (9). CARRF-KL is used to degree knowledge levels around risk factors for CVDs. The scale created and evaluated for its validity and determined quality.  Cardiovascular disease risk factors   mindfulness and knowledge are accepted to be prerequisites for embracing wellbeing way of life practices the reason of study was to look at knowledge of CVD risk factors and risk recognition among people with high CVD risk (10).

METHODOLOGY:

STUDY DESIGN: Prospective, observational study.

SAMPLE SIZE: 133 

STUDY SITE: Government District General Hospital, Karimnagar  

STUDY DURATION: 6 months 

INCULSION CRITERIA: 

  • Adult’s aged 30-74 years 
  • Both genders 
  • No history of cardiovascular disease  
  • People who are open to taking part in the research   

EXCLUSION CRITERIA:  

  • Population of <30years old and >74years old were excluded according to Framingham risk score. 
  • Individuals with cardiovascular conditions at baseline, such as peripheral arterial revascularisation, myocardial infarction, coronary artery surgery or angioplasty, angina, stroke, or transient ischaemic attack, carotid artery disease, heart failure, or pacemaker.
  • Pregnant and lactating women   

STUDY PROCEDURE:  

A data collection form is designed to collect the data which includes patient demographics, medication history, past medical history, social history, laboratory parameters (lipid profile), Blood pressure. Cardiovascular disease risk will be measured using the Framingham risk score scale, scoring will be based on standards of the scale providing the outcomes as either low /moderate/high.

Cardiovascular disease knowledge will be measured using the CVD risk factors knowledge level scale (CARRF-KL). Odd’s ratio, Pearsons’s co-relation statistics was analyzed for knowing the significance of study.Study was conducted by communicating with patients and their representatives, who met both inclusion and exclusion criteria, and data was collected by checking their previous medical records. 

PRIMARY OUTCOMES: 

To find out the cardiovascular disease risk and knowledge and to educate the patient in regard to assessment of risk of cardiovascular disease, and to provide knowledge on management of disease symptoms. 

RESULTS:

Data was collected from 133 patients, at Government District General hospital from General Medicine Department. The following evaluation was made based on the collected data and it includes:  

Graphical representation of patient’s data based on Age Group

  • Out of 133 patients involved in the study, patients of age group 35-39 years are 31, 45-49 years are 23, 65-69 years are 16, 55-59 years are 13, 40-44 years are 12, 30-34 years are 11, 50-54 years &>75 years are 8, 70-74 years are 6, 60-64 years are 5 patients respectively. 

Graphical representation of patient’s data according to Gender Distribution

  • From the collected data of 133 patients, 71 (53%) are males and 62 (47%) are females respectively. 

Graphical representation of patient’s data according to Past Medical History

  • Based on above data of 133 patients, 79 are with no past medical history, 25 are Hypertensive, 8 are Diabetic and 21 are having both hypertension and diabetes respectively. 

Graphical representation of patient’s data according to Social History

  • From the collected data of 133 patients, 48 patients are habituated to alcohol, 25 patients are prone to smoking, 37 patients are on both alcohol and smoking, and 23 patients with no social history. 

Graphical representation of patient’s data based on Framingham risk score.

  • From the above collected data of 133 patients, 76 patients have low risk, 22 patients have moderate risk, 35 patients have high risk severity according to Framingham risk score.  

Graphical representation of patient’s data according to FRS based on gender

  • From the above collected data of 133 patients, Low risk, Moderate risk, High risk patients of male and female are of 28, 18, 25 and 48, 8, 6 respectively. 

Graphical representation of patient’s data according to CARRF-KL scale

  • Out of 133 patients, knowledge level of patients is categorised by CARRF-KL as low knowledge- 19, moderate knowledge -70, high knowledge - 44 respectively.  

Graphical representation of patient’s data by using CARRF-KL scale based on gender

  • From theabove data of 133 patients, low knowledge patients are male-12, female-7, moderate knowledge male-35, female-35, high knowledge male-24, female-20 according to CARRF-KL scale based on gender.  

Graphical representation of patient’s data based on impact of Framingham risk score & CARRF-KL scale

  • From the data of 133 patients, low, moderate and high of FRS are 76, 22, 35 respectively and CARRF-KL of low, moderate, high knowledge level of patients are 19, 70, 44 respectively. 

ODDS RATIO:

OR =

Odds that the diseased were exposed (A/C)  =   AD

     Odds the controls were exposed (B/D)         BD

If OR = I both expected and outcome are same

If OR =>1 expected is greater than the outcome

If OR=<1 expected is lower than the outcome

Summarisation of patient’s data according to Odds Ratio

CHARACTERISTICS

HIGH RISK

LOW AND MODERATE

ODDS RATIO

Smoking Status

Smokers

17

20

3.68

Non-Smokers

18

78

Alcohol

Alcoholic

21

39

2.26

Non alcoholic

14

59

Diabetes

Diabetic

23

6

29.38

Normal

12

92

Hypertension

Hypertension

27

19

14.03

Normal

8

79

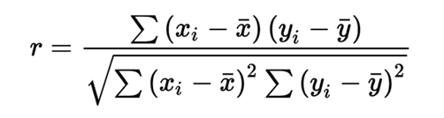
PEARSON CORRELATION COEFFICIENT:

Summarisation of patient’s data according to Pearson Correlation Coefficient

RISK

NO. OF CANDIDATES

KNOWLEDGE

HIGH

MODERATE

LOW

HIGH

35

5

22

8

MODERATE

22

4

12

6

LOW

76

36

35

5

Pearson Correlation Coefficient (r)

0.979012702

0.976824436

-0.584569

Upon submitting these value the p value obtained for high is 0.06 and for low and moderate is 0.03.

DISCUSSION:

Cardiovascular system consists of heart & its blood vessels, Numerous issues may come up with cardiovascular system. CHD is one of the most prevalent, non-communicable disease. Many factors can predispose to circulatory diseases, which include age, gender, increased blood pressure, high cholesterol, smoking, obesity, insufficient physical activities, the use of tobacco products & heavy alcohol.

This study was conducted on 133 patients with a duration of 6 months period to assess the Risk & knowledge of the Patients about the cardiovascular diseases in District Government Hospital, Karimnagar. FRS is a scale used to calculate the 10 years risk of cardiovascular diseases using elements such as Systolic Bp, lipid levels, social & past medical History. 

In the present study the distribution of the risk of CVD in out of 133 participants low risk 76 patients (57.1%), moderate risk 22 patients (16.5%), and high risk 35 patients (26.3%) which is similar to the study conducted by Ashit Kumar Paul et.al which shows in which 290 subject participants 61.7% low, 18.6% intermediate and 19.7% high. 

According to present study conducted the past medical history of the patients which hypertension, diabetes and both includes 25, 8, and 21 respectively which is similar to the study conducted by David John et al. and Ashitkumarpaul, Dilip Kumar das et al.

Males were predominantly in the moderate risk (18) and high risk (25) categories which is similar to the study conducted by Santi Susanti et.al who found that men had a higher risk of CVD compared to women. Similarly, Midhun Sasikumar et.al also found that males had a higher risk of CVD.

Out of 133 patients, >50years patients had high level of risk, similarly Santi Susanti et.al who observed that age is significantly contributed to higher FRS scores particularly in individuals age above 50. CVD risk factor knowledge level scale (CARRF-KL), is used to assess the knowledge about cardiovascular diseases.

In our study out of 133 patients, 71 males and 62 females were included. Males (18%) are having high knowledge when compared to females (15%) which is similar to the study conducted by Joseph Thomas et.al, which shows out of 693 participants 49.4% were males.

High risk FRS patients tended to have moderate (70) and high (44) knowledge levels suggesting that patients with perceived higher risk are informed but may lack actionable interventions which is similar to the study conducted by Nafiz et.al reported a correlation between higher CARRF-KL and higher FRS, similar to the study finding that high risk patients had better awareness but may not translate knowledge into action.

CONCULSION

This prospective observational study we demonstrated that age, gender, social history, past medical history are the major risk factors for CVDs. Participants aged above 50 years old are having high risk similarly male (53%). According to Framingham risk score low risk individuals are high (57.1%). we also found that participants with high moderate and low knowledge is having risk of cardiovascular diseases.

Our study concluded that the 133 patients revealed a significant distribution of CVD risk among patients, with a larger proportion of males in the higher risk category according to the Framingham risk score. A knowledge level scale about CV risk factors was prevalent among patients, with males showing slightly higher knowledge than females. The study also demonstrated that patients with high CVD risk were generally not co-related with level of knowledge about risk factors, which could reflect their pro-active attitude towards managing health.

The study emphasizes the importance of increasing awareness among the population. A clinical pharmacist plays a vital role in assessing individual risk, and focus on improving knowledge about lifestyle modifications and reducing liability of CVD by patient counselling.

REFERENCES

  1. Martina Vasatova, Jan M. Horacek, Radek Pudil, Tomas Buchler, Current application of cardio troponin T for the diagnosis of myocardial damage, Advance in clinical chemistry, science direct. 2013 June, (61): 33-65.
  2. Sullivan LM, Massaro JM, D'Agostino Sr RB. Presentation of multivariate data for clinical use: The Framingham Study risk score functions. Statistics in medicine. 2004 May 30;23(10):1631-60.
  3. Selvarajah S, Kaur G, Haniff J, Cheong KC, Hiong TG, van der Graaf Y, Bots ML. Comparison of the Framingham Risk Score, SCORE and WHO/ISH cardiovascular risk prediction models in an Asian population. International journal of cardiology. 2014 Sep 1;176(1):211-8.
  4. MB AA, WA K. Cardiovascular Diseases Risk Prediction Using the Framingham Risk Score. Egyptian Journal of Occupational Medicine. 2021 Sep 1;45(3):249-64.
  5. Artigao-Rodenas LM, Carbayo-Herencia JA, Divisón-Garrote JA, Gil-Guillén VF, Massó-Orozco J, Simarro-Rueda M, Molina-Escribano F, Sanchis C, Carrión-Valero L, Lopez de Coca E, Caldevilla D. Framingham risk score for prediction of cardiovascular diseases: a population-based study from southern Europe. PloS one. 2013 Sep 5;8(9): e73529.
  6. Hemann BA, Bimson WF, Taylor AJ. The Framingham Risk Score: an appraisal of its benefits and limitations. American Heart Hospital Journal. 2007 Feb;5(2):91-6.
  7. Karaman E, Kalk?m A, ?arerYürekli BP. Determining the cardiovascular disease risk factor knowledge and related factors among adults with type 2 diabetes mellitus. Clinical Nursing Research. 2022 May;31(4):579-87.
  8. Arikan I, Metinta? S, Kalyoncu C, Yildiz ZE. The cardiovascular disease risk factors knowledge level (CARRF-KL) scale: a validity and reliability study. Turk KardiyolojiDernegiArsivi: Turk KardiyolojiDernegininYayinOrganidir. 2009 Jan 1;37(1):35-40.
  9. Homko CJ, Santamore WP, Zamora L, Shirk G, Gaughan J, Cross R, Kashem A, Petersen S, Bove AA. Cardiovascular disease knowledge and risk perception among underserved individuals at increased risk of cardiovascular disease. Journal of Cardiovascular Nursing. 2008 Jul 1;23(4):332-7.
  10. Hastal?klara KP. Knowledge Level of Individuals Applying Cardiology Outpatient Clinic About Risk Factors for Cardiovascular Diseases: A Cross-Sectional Study. CardiovascNurs. 2022;13(30):22-7.
  11. Chong B, Jayabaskaran J, Jauhari SM, Chan SP, Goh R, Kueh MT, Li H, Chin YH, Kong G, Anand VV, Wang JW. Global burden of cardiovascular diseases: projections from 2025 to 2050. European Journal of Preventive Cardiology. 2024 Sep 13: zwae281.
  12. Calisanie NN, Susanti S, Lindayani L. Cardiovascular risk estimation in patients with hypertension: a cross-sectional study. JurnalNers. 2020 Apr 1;15(1):98.
  13. Parikh S, Patel M, Tiwari H, Bala DV, Joshi B. Assessment of cardiovascular disease risk by using Framingham risk equation amongst the residents of Ahmedabad city. National Journal of Community Medicine. 2013 Sep 30;4(03):392-7.
  14. Topuz AN, Bozdemir N. Evaluation of cardiovascular disease risk factors knowledge level, Framingham score, and cardiac markers in a healthy population. Cukurova Medical Journal. 2022;47(3):1086-94.
  15. Mensegere AL, Sundarakumar JS, Diwakar L, Issac TG. Global Cardiovascular Risk Consortium. Global effect of modifiable risk factors on cardiovascular disease and mortality. New England Journal of Medicine. 2023 Oct 5;389(14): 1273-85.BMJ open. 2023 Nov 1;13(11): e074977.
  16. Global Cardiovascular Risk Consortium. Global effect of modifiable risk factors on cardiovascular disease and mortality. New England Journal of Medicine. 2023 Oct 5;389(14):1273-85.
  17. Sasikumar M, Marconi SD, Dharmaraj A, Mehta K, Das M, Goel S. Prevalence of risk factors and estimation of 10-year risk for cardiovascular diseases among male adult population of Tamil Nadu India-an insight from the National Family Health Survey–5. Indian Heart Journal. 2023 Jul 1;75(4):251-7.
  18. Paul AK, Das DK, Bhattacharjya H, Paul DP, Kundu B. Ten-year risk of cardiovascular events among the adult population of West Tripura District of India by the Framingham risk score: A cross-sectional study. Journal of Family Medicine and Primary Care. 2024 Jun 1;13(6):2462-8.
  19. John D, Johnson AR, Fathima FN, Mundackal R. Diabetes, hypertension, and other cardiovascular disease risk factors among adults in an urban underprivileged community in Bangalore city, India. Journal of Family Medicine and Primary Care. 2024 Apr 1;13(4):1440-7.
  20. Thomas J, Johnson AR, Mathew SS, Tomy C, Fathima FN. Knowledge about cardio-vascular disease and its risk factors among college-going students in peri-urban Bengaluru, South India. International Journal of Noncommunicable Diseases. 2021 Jan 1;6(1):29-33.
  21. Thirunavukkarasu S, Sasikumar M, Demissie GD, Pramod Kumar TA, Oldenburg B, Oommen AM. Recalibration of Framingham Risk Score for predicting 10-year cardiovascular disease risk in a South Indian population. Journal of Diabetology. 2024 Jan 1;15(1):101-12.
  22. Zargar AA, Kumar R, Sharma A. Prediction of Different Risk Factors in Relation to Hyperlipidaemia Using Framingham Risk Score and Cholesterol Risk Score in a Tertiary Care Hospital. Current Diabetes Reviews. 2025 Feb;21(2): E100724231817.
  23. Arnett DK, Khera A, Blumenthal RS. 2019 ACC/AHA guideline on the primary prevention of cardiovascular disease: part 1, lifestyle and behavioural factors. JAMA cardiology. 2019 Oct 1;4(10):1043-4.   

Reference

  1. Martina Vasatova, Jan M. Horacek, Radek Pudil, Tomas Buchler, Current application of cardio troponin T for the diagnosis of myocardial damage, Advance in clinical chemistry, science direct. 2013 June, (61): 33-65.
  2. Sullivan LM, Massaro JM, D'Agostino Sr RB. Presentation of multivariate data for clinical use: The Framingham Study risk score functions. Statistics in medicine. 2004 May 30;23(10):1631-60.
  3. Selvarajah S, Kaur G, Haniff J, Cheong KC, Hiong TG, van der Graaf Y, Bots ML. Comparison of the Framingham Risk Score, SCORE and WHO/ISH cardiovascular risk prediction models in an Asian population. International journal of cardiology. 2014 Sep 1;176(1):211-8.
  4. MB AA, WA K. Cardiovascular Diseases Risk Prediction Using the Framingham Risk Score. Egyptian Journal of Occupational Medicine. 2021 Sep 1;45(3):249-64.
  5. Artigao-Rodenas LM, Carbayo-Herencia JA, Divisón-Garrote JA, Gil-Guillén VF, Massó-Orozco J, Simarro-Rueda M, Molina-Escribano F, Sanchis C, Carrión-Valero L, Lopez de Coca E, Caldevilla D. Framingham risk score for prediction of cardiovascular diseases: a population-based study from southern Europe. PloS one. 2013 Sep 5;8(9): e73529.
  6. Hemann BA, Bimson WF, Taylor AJ. The Framingham Risk Score: an appraisal of its benefits and limitations. American Heart Hospital Journal. 2007 Feb;5(2):91-6.
  7. Karaman E, Kalk?m A, ?arerYürekli BP. Determining the cardiovascular disease risk factor knowledge and related factors among adults with type 2 diabetes mellitus. Clinical Nursing Research. 2022 May;31(4):579-87.
  8. Arikan I, Metinta? S, Kalyoncu C, Yildiz ZE. The cardiovascular disease risk factors knowledge level (CARRF-KL) scale: a validity and reliability study. Turk KardiyolojiDernegiArsivi: Turk KardiyolojiDernegininYayinOrganidir. 2009 Jan 1;37(1):35-40.
  9. Homko CJ, Santamore WP, Zamora L, Shirk G, Gaughan J, Cross R, Kashem A, Petersen S, Bove AA. Cardiovascular disease knowledge and risk perception among underserved individuals at increased risk of cardiovascular disease. Journal of Cardiovascular Nursing. 2008 Jul 1;23(4):332-7.
  10. Hastal?klara KP. Knowledge Level of Individuals Applying Cardiology Outpatient Clinic About Risk Factors for Cardiovascular Diseases: A Cross-Sectional Study. CardiovascNurs. 2022;13(30):22-7.
  11. Chong B, Jayabaskaran J, Jauhari SM, Chan SP, Goh R, Kueh MT, Li H, Chin YH, Kong G, Anand VV, Wang JW. Global burden of cardiovascular diseases: projections from 2025 to 2050. European Journal of Preventive Cardiology. 2024 Sep 13: zwae281.
  12. Calisanie NN, Susanti S, Lindayani L. Cardiovascular risk estimation in patients with hypertension: a cross-sectional study. JurnalNers. 2020 Apr 1;15(1):98.
  13. Parikh S, Patel M, Tiwari H, Bala DV, Joshi B. Assessment of cardiovascular disease risk by using Framingham risk equation amongst the residents of Ahmedabad city. National Journal of Community Medicine. 2013 Sep 30;4(03):392-7.
  14. Topuz AN, Bozdemir N. Evaluation of cardiovascular disease risk factors knowledge level, Framingham score, and cardiac markers in a healthy population. Cukurova Medical Journal. 2022;47(3):1086-94.
  15. Mensegere AL, Sundarakumar JS, Diwakar L, Issac TG. Global Cardiovascular Risk Consortium. Global effect of modifiable risk factors on cardiovascular disease and mortality. New England Journal of Medicine. 2023 Oct 5;389(14): 1273-85.BMJ open. 2023 Nov 1;13(11): e074977.
  16. Global Cardiovascular Risk Consortium. Global effect of modifiable risk factors on cardiovascular disease and mortality. New England Journal of Medicine. 2023 Oct 5;389(14):1273-85.
  17. Sasikumar M, Marconi SD, Dharmaraj A, Mehta K, Das M, Goel S. Prevalence of risk factors and estimation of 10-year risk for cardiovascular diseases among male adult population of Tamil Nadu India-an insight from the National Family Health Survey–5. Indian Heart Journal. 2023 Jul 1;75(4):251-7.
  18. Paul AK, Das DK, Bhattacharjya H, Paul DP, Kundu B. Ten-year risk of cardiovascular events among the adult population of West Tripura District of India by the Framingham risk score: A cross-sectional study. Journal of Family Medicine and Primary Care. 2024 Jun 1;13(6):2462-8.
  19. John D, Johnson AR, Fathima FN, Mundackal R. Diabetes, hypertension, and other cardiovascular disease risk factors among adults in an urban underprivileged community in Bangalore city, India. Journal of Family Medicine and Primary Care. 2024 Apr 1;13(4):1440-7.
  20. Thomas J, Johnson AR, Mathew SS, Tomy C, Fathima FN. Knowledge about cardio-vascular disease and its risk factors among college-going students in peri-urban Bengaluru, South India. International Journal of Noncommunicable Diseases. 2021 Jan 1;6(1):29-33.
  21. Thirunavukkarasu S, Sasikumar M, Demissie GD, Pramod Kumar TA, Oldenburg B, Oommen AM. Recalibration of Framingham Risk Score for predicting 10-year cardiovascular disease risk in a South Indian population. Journal of Diabetology. 2024 Jan 1;15(1):101-12.
  22. Zargar AA, Kumar R, Sharma A. Prediction of Different Risk Factors in Relation to Hyperlipidaemia Using Framingham Risk Score and Cholesterol Risk Score in a Tertiary Care Hospital. Current Diabetes Reviews. 2025 Feb;21(2): E100724231817.
  23. Arnett DK, Khera A, Blumenthal RS. 2019 ACC/AHA guideline on the primary prevention of cardiovascular disease: part 1, lifestyle and behavioural factors. JAMA cardiology. 2019 Oct 1;4(10):1043-4.   

Photo
Rama Narsimha Reddy Anreddy
Corresponding author

Sree Chaitanya Institute of Pharmaceutical Sciences, LMD colony, Karimnagar, Telangana

Photo
Raju Korra
Co-author

Sree Chaitanya Institute of Pharmaceutical Sciences, LMD colony, Karimnagar, Telangana

Photo
Srinidhi Bongani
Co-author

Sree Chaitanya Institute of Pharmaceutical Sciences, LMD colony, Karimnagar, Telangana

Photo
Gayathri Kamarapu
Co-author

Sree Chaitanya Institute of Pharmaceutical Sciences, LMD colony, Karimnagar, Telangana

Photo
Anitha Enukonda
Co-author

Sree Chaitanya Institute of Pharmaceutical Sciences, LMD colony, Karimnagar, Telangana

Raju Korra, Srinidhi Bongani, Gayathri Kamarapu, Anitha Enukonda, Rama Narsimha Reddy Anreddy, Association Between Health Knowledge and Framingham Score for CVD, Int. J. of Pharm. Sci., 2026, Vol 4, Issue 1, 2046-2056. https://doi.org/10.5281/zenodo.18318167

More related articles
Comprehensive Review on Natural Blood-Purifying Pl...
Dr. Kshitija Deshmukh, Vishal Rathod, Vishal Giri, Supriya Sawant...
A Comprehensive Review on the Formulation and Eval...
Pratik Kale, Ganesh Sapkal, Ram Jawanjal, Rushikesh Poke, Rohan D...
Nanosponges: A New Generation of Nanoporous Materi...
Jayashri Dandale, Sadhana Shahi, Tejas Khatavkar, Shweta Patil, ...
A Review on Synergistic Anti-Diabetic Activity of Moringa oleifera Leaves, Zingi...
Shweta Ram , Laxmi sahu, Dr. Gyanesh Kumar Sahu, Suchita Wamankar, ...
Cancer Research: Progress, Challenges, and Future Directions ...
Kashinath Sakhare, Shubhangi Dhoble , Pandit Biradar, Kapil Patne , Swati Narwate , Tukaram Pilgur...
Related Articles
A Review on Formulation and Evaluation of BI- Layered Tablet of Divalproex Sodiu...
Salve Bhumika, Zanjad Aniket, Kalamkar Tejas, Deshmukh Komal, ...
Critical Connections: Unravelling Adverse Drug Reactions and IV Incompatibility ...
Dr. Thanujasree Senthil Kumar, Dr. Chitra Bhojan, Dr. Sruthi Saravanan, Dr. Vaishnavi Thambiran, ...
Development and Standardization of a Therapeutic Polyherbal Powder (Paachan Pro)...
Neeru Sharma, Mehul Tiwari, Brijpal Singh, Kunwar Chauhan, Shivender Chandel, ...
Comprehensive Review on Natural Blood-Purifying Plants: Parijaat, Tulsi, Neem, a...
Dr. Kshitija Deshmukh, Vishal Rathod, Vishal Giri, Supriya Sawant, Shital Bhosale, ...
More related articles
Comprehensive Review on Natural Blood-Purifying Plants: Parijaat, Tulsi, Neem, a...
Dr. Kshitija Deshmukh, Vishal Rathod, Vishal Giri, Supriya Sawant, Shital Bhosale, ...
A Comprehensive Review on the Formulation and Evaluation of Biphasic Herbal Pain...
Pratik Kale, Ganesh Sapkal, Ram Jawanjal, Rushikesh Poke, Rohan Dhanve, Munjaji Dhawale, Prasad Khan...
Nanosponges: A New Generation of Nanoporous Materials for Biomedical Application...
Jayashri Dandale, Sadhana Shahi, Tejas Khatavkar, Shweta Patil, ...
Comprehensive Review on Natural Blood-Purifying Plants: Parijaat, Tulsi, Neem, a...
Dr. Kshitija Deshmukh, Vishal Rathod, Vishal Giri, Supriya Sawant, Shital Bhosale, ...
A Comprehensive Review on the Formulation and Evaluation of Biphasic Herbal Pain...
Pratik Kale, Ganesh Sapkal, Ram Jawanjal, Rushikesh Poke, Rohan Dhanve, Munjaji Dhawale, Prasad Khan...
Nanosponges: A New Generation of Nanoporous Materials for Biomedical Application...
Jayashri Dandale, Sadhana Shahi, Tejas Khatavkar, Shweta Patil, ...