View Article

Abstract

Bhallataka ( semecarpus anacardium), Commenly known as the marking nut. It belongs from family anacardeaceae It contains phytoconstituent like urishinol ,bhilwanol, bioflavonoids, phenolic compounds etc. It shows various activity, like anti- inflammatory, hair growth promoter, anti-microbial, anti-cancer etc. It was plant used in ancient time to wound healing and prevent from water absorption in wound, also used to prevent from septic. But some toxic effect also shows like allergy symptoms etc. So, most people are leave to use of bhallataka (semecarpus anacardium linn). Their different parts including nuts, have various medicinal properties to treat disease like, vitiligo, geriatric problem, baldness, and neuro-related problem. Traditional healers and physician use semecarpus anacardium in their clinical practice. In market there are so many formulations available like, amritibhallatak avaleha, suran vatak, sanjeevani vati, narsimha choorna etc. Semecarpus anacardium continues of subject to be of intrest in traditional medicine.

Keywords

Semecarpus Anacardium, Marking Nut, Bhallataka, Traditional Healer, Healing Properties

Introduction

Semecarpus anacardium (SA) is a deciduous tree that originates from India, Sri Lanka, and tropical Asia. The scientific name and botanically named given by Carl Linnaeus in his work and published in 1753. Its seeds play a crucial role in traditional medicine, where they are primarily employed to address numerous conditions, including inflammatory diseases, rheumatoid arthritis, and skin issues. The seeds of S. anacardium are rich in various bioactive compounds, such as flavonoids, alkaloids, and terpenoids, which are responsible for its health benefits as shown in fig no.1. Recent evaluations emphasize its noteworthy ethnomedicinal applications, phytochemical makeup, and pharmacological effects. In Ayurveda, this plant has been utilized for various health issues due to its abundant bioactive constituents, including biflavonoids, phenolic compounds, and bhilawanols. These components have exhibited properties like antioxidant, anti-inflammatory, antimicrobial, and even anticarcinogenic activities, which continue to attract attention in both conventional and alternative medicine. Nonetheless, The plant also possesses potentially harmful compounds, such as anacardic acid, which may lead to skin irritation and other negative side effects. To mitigate these risks, traditional purification processes known as shodhana (Discovery) are employed. These techniques generally involve soaking the nuts in cow urine or coconut water, applying heat, and utilizing specific handling procedures to neutralize harmful compounds while retaining their therapeutic benefits. This meticulous detoxification approach allows for the safe use of products like Amritbhallataka Avaleha and Bhallatakasav, which are recommended for condition like inflammation and digestive problems.

Phytochemical Composition and its chemistry

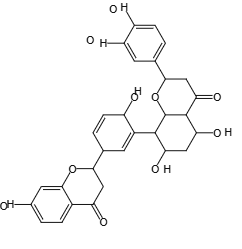
Semecarpus anacardium is rich in various bioactive substances, such as flavonoids, biflavonoids, phenolic compounds, andaloids. Notable components like anacardic acid, bhilawanols, and semicarpol have been recognized as contributing to its biological functions. These phytochemicals are known for their strong antioxidant, anti-inflammatory, and antimicrobial characteristics, making the plant valuable for a range of therapeutic uses. The bulk of Semecarpus anacardium Linn oil is composed of phenolic compounds. When phenolic compounds are exposed to air, they oxidize to produce quinones. The oxidation process can be halted by keeping the oil under nitrogen. The three primary phenolic compounds are andanacardoside (glucoside), Bhilavanol A (monoenepentadecyl catechol I), and Bhilavanol B (dienepentadecyl catechol II).It was discovered that bhilwanol from organic products is a blend of the cis- and trans-isomers of it is mostly composed of 1,2,dihydroxy-3(pentadecadienyl 8?,11?) benzene and 1,2,hydroxy-3(pentadecadienyl 8?) benzene. as shown in fig no. 2.

Table No:1

 

Name of constituents

Class

Parts of plant used

Therapeutic effect

Anacardicacid

Phenolic compound

Nut

Anti- microbial, Anti-inflammatory, Anti- cancer.

Bhilwanol

Phenolic lipid

Nut

Immuno-modulatory, Anti- arthritic.

Semecarpol

Alkyl phenol

Nut

Antioxidant, Anti-tumor.

Flavonoids

Polyphenol

Nut, Leaf

Antioxidant, Anti-inflammatory.

Cardol

Phenolic compound

Nut

Cytotoxic, antibacterial

Glycoside

Glycoside compound

Bark, Nut

Cardioprotective, anti-diabetic.

Tannins

Polyphenolic compound

Bark, Leaf

Astringent, anti-microbial

Saponins

Glycoside compound

Nut, Bark

Anti- inflammatory, Immuno- boosting

Proteins and amino acids

Protein class

Nut

Nutritional, Tissue repair

Essential oils

Volatile compound

Leaf, Nut

Antimicrobial, aromatic

Fig no.01

Fig.no.02

1.Cardanol and Cardol: These phenolic compounds are believed to demonstrate antioxidant and anti-inflammatory effects.

2.Flavonoids: S. anacardium contains flavonoids like quercetin, celebrated for their powerful antioxidant and anti-inflammatory properties.

3.Alkaloids: The seeds include alkaloids such as anacardine and semecarpine, which help provide neuroprotective and anti-inflammatory benefits.

4.Triterpenoids and Steroids: These compounds offer a variety of pharmacological effects, including anti-inflammatory, anticancer, and anti-diabetic activities.

5.Essential Oils: S. anacardium possesses essential oils that add to its antimicrobial and wound-healing abilities.

Phytochemical Constituents

 

Sr. No

Name

Extracts From

Nature

Iupac Name

Structure

1.

Butein

Fig no.03

Oil and seeds

Phenolic

1,2-dihydroxy-3(pentadecadienyl-8,11)benzene,1,2-dihydroxy-3(pentadecadeinyl-80,110)-benzene

 

 

Fig no.03

2.

Anacarduflavanone

Fig no.04

Nutshell

Ethanolic

Acetone

 

 

Fig no.04

3.

Jeediflavone

Fig no.05

Nutshell

Alcoholic

n- hexane

 

 

Fig no.05

4.

Nallaflavonone

Fig no.06

Nutshell

Alcoholic

Acetic anhydride, pyridine

 

 

Fig no.06

Phytochemical constituents Extract.  Table no. 2

Fig no. 7

Medicinal and Therapeutic Properties

A) Antioxidant Activity: The presence of polyphenols and flavonoids endows the plant with notable antioxidant properties, aiding in the protection of cells against oxidative stress (Ali et al., 2021).

B) Anti-inflammatory and Analgesic Effects: Extracts derived from S. anacardium have demonstrated anti-inflammatory properties, likely due to the suppression of pro-inflammatory substances. This is advantageous for ailments such as arthritis.

C) Anti-cancer Properties: Studies indicate that compounds within S. anacardium may possess cytotoxic effects on several cancer cell lines. This activity is primarily linked to anacardicacid, which shows potential in disrupting pathways related to the growth and survival of cancer cells.

D) Antimicrobial Activity: Research has showcased the plant's effectiveness against various bacterial and fungal pathogens. The bioactive compounds contribute to its antimicrobial properties, positioning it as a possible alternative for treating infections.

E) Neuroprotective Effects: Initial research suggests that the plant may offer neuroprotective benefits, which could aid in managing neurodegenerative diseases such as Alzheimer’s and Parkinson’s, thanks to its antioxidant constituents.

F) Skin Disorders: S. anacardium has been used topically to address warts, corns, and other skin ailments. It is thought to assist in wound healing and in alleviating inflammation.

G) Antidiabetic Activity: Ayurvedic literature references the seeds of S. anacardium as a supplementary treatment for diabetes, aiding in the regulation of blood sugar levels.

Traditional processing

1) Collection of Drug - Dried nuts from the plant were gathered from the local market in Hyderabad, Telangana, India. The authenticity of the nuts was verified by the Department of Botany at Osmania University, Hyderabad.

2) Sample Selection - The dried nuts were thoroughly mixed, and a sample was randomly chosen.

3) Equipment for Extraction - Two clay pots, naturally formed, along with a wire mesh, were utilized for processing the nuts. 4) Microorganisms Tested - The microorganisms examined in this study include Staphylococcus aureus, Escherichia coli, Lactobacillus acidophilus, and various streptococci.

5) Purification of Plant Material - The chosen nuts were cleaned using a cotton cloth. Since the seeds have corrosive properties, they were soaked in milk overnight, then removed from the milk and dried in sunlight. The completely dried nuts were used for extraction.

6) Plant Material Extraction - This extraction method was entirely natural and required no solvents. In South India, it is common for palm climbers (Toddy toppers) to use this technique for preparing Marking nut extract. The extract is primarily applied to palm trees to ward off black and white ants, as well as to protect palm wine. One pot was placed in a dug-out area, which was then surrounded with sand. The other pot contained the marking nut seeds, positioned upside down on the first pot, with a wire mesh placed in between. The gap between the two pots was sealed with wet clay to avoid leakage of the extract. A flame was supplied to the seeds using dung cakes. The heat caused the seeds to melt inside the pot, and the resulting extract flowed into the underground pot through the mesh. This process continued for three hours. After that time, the flame was extinguished and left for collection the following morning. The crude extract collected from the lower pot was then gathered.

Bhallataka contains formulations used in markets.

Use care when taking bhallataka-containing formulations. Bhallataka should be taken with a large amount of milk, grains, and ghee.  After taking the formulation, avoid, walking in the sun is excessively sexual. Intercourse, salt, meat consumption, exercise, and Oil massage.  Formulations for Bhallataka  are contraindicated in pitta diseases, pregnant ladies, children, patients with a history of bleeding, diarrhea, and Nephritis. [26]

Manifestation of toxicity of Bhallataka.

Contacting Bhallataka fruits or blooms with the body might cause agantuja shotha, according to Charaka Samhita.  If Bhallataka juice (even in small amounts quantities) contacts it creates extreme burning sensations in the body ulcer. When it encounters the face, it causes a strong burn. The feeling is caused by the presence of inflammation and ulcers.  Several persons are allergic to bhallataka, which presents as itching throughout the body, black and bloody.

Formulation

Product: Nature Dosage Indication

1)Amrut Bhallatakavaleha Electuary: 1-2 tsf, twice per day.  Vitalizer, General tonic

2)Narsimha Choorna Powder: 1-2 grams, two times daily day

3)Rstrorative Suran Vatak: Pills (500 ml each pill) Two tablets, twice a day.  Anorectal and Piles diseases

4)Sanjeevani Vati: Pills (250 mg/pill) Two tablets, three times each day.  Diarrhea, dysentery.

5)Bhallatakasava Wine: 2-4 tsf, twice a day Asthma and Neuralgia

6)Bhallatak Parpati Powder: 250 mg, three times a day in Rheumatic Diseases.

Clinical studies

 Bhallataka is applied both topically and internally for various serious medical conditions. When used externally, it is effective for migraines, wounds, uvulitis, eczema, boils, earaches, hydrocele, and localized pain, among others. To inducing abortion, the oil is applied to the cervix. When taken orally, it is utilized for conditions such as bronchitis, asthma, helminthiasis, hemorrhoids, psoriasis, rheumatism, neuralgias, tumors, and more. Numerous case studies have documented the clinical responses of different cancer types to SAN-AB, a formula based on Bhallataka. There are at least 45 postgraduate dissertations in Ayurveda that explore various elements of Bhallataka, with its role in rheumatoid arthritis being the most common focus. Ayurvedic journals have also published clinical research on Bhallataka's use in rheumatic conditions. Ongoing studies in rheumatic diseases have shown promising results, particularly highlighting the effectiveness of S. anacardium in treating sciatica, where Bhallataka ksheerpak was administered using the classical method of vardhman prayog over three weeks.

Clinical Applications

  1. Arthritis and Joint Pain: S. anacardium is frequently used to treat rheumatoid arthritis and osteoarthritis because of its potent anti-inflammatory qualities.
  2. Management of Diabetes: It is being investigated as a natural treatment for controlling blood sugar levels due to its antidiabetic properties.
  3. Skin Warts and Lesions: S. anacardium extract has been used topically to treat corns, warts, and other skin conditions.
  4. Cancer Treatment: Research is being done on S. anacardium's potential as an adjuvant therapy in cancer treatment, even though clinical data is still in its early stages4.

Pharmacological Evaluation: -

The nut extract's pharmacological and allergenic qualities have been shown by Bose et al.8. Some women apply bruised nuts to their uteri to cause abortions, and the nut is used internally to treat asthma.  S. anacardium nuts have been shown to have anti-inflammatory properties in cases of acute inflammation of both immunological and non-immunological origin (Satyavati et al.)7 J and Bajpai et al.37. The findings of the current clinical experiment are corroborated by reports from (Vijayalakshmi et al.)37 on the therapeutic efficacy of S. anacardium nut milk extract in animals with adjuvant-induced arthritis. The nut extract may be beneficial against rheumatoid arthritis because of its immunosuppressive function, as evidenced by its reduction of the formation of secondary in experimental arthritis. 30 Traditional medicine uses several marking nut concoctions to treat a wide range of tumors. According to (Ghothoskar and Ranadive), tumor development in 14/15 rats might be completely inhibited by a single injection of SA N-AB, another marking nut preparation. S. anacardium nut chloroform extract has antitumor properties against advanced P388 leukemia, B 16 melanoma, glioma 26, and L 121 0. It has also been shown to extend life expectancy in these cases38. A dosage of 40–75 mg/ml within 2 hours greatly hindered the incorporation of radiolabelled precursors into DNA, RNA, and protein, according to the in vitro impact of an acetyl derivative from S. anacardium nuts. This, in turn, severely decreased the biosynthesis of DNA, RNA, and protein39.  In human and animal investigations, Anacartin forte, an Ayurvedic marking nut compound, shown a wide range of anticancer activities. It also demonstrated a broad margin of safety in therapeutic dose, even when administered for extended periods of time. In cases of oesophageal, bladder, liver, and chronic leukemia cancer, it has demonstrated extremely positive outcomes by improving both subjectively and objectively, reducing or eliminating bothersome symptoms, and improving clinical outcomes with longer lifetimes. Because of its selective activity, this preparation exclusively damages cancer cells while sparing healthy cells9.  The biochemical foundation for the nut extract's anticancer efficacy has been missing, even though it has been employed to cure malignant development. Therefore, (Premalatha et al.)12-13 used biochemical screening on a Siddha product called 'Serankottai nei', which is a milk extract of S. anacardium nuts. In experimental hepatocellular carcinoma (HCC), the following characteristics were noted: antioxidative, membrane stabilizing, tumor marker regulative, glucose level restoring (via modulating enzymes that metabolize carbohydrates), and mineral regulation properties14-15. Additionally, nut extract from S. anacardium has been shown to detoxify aflatoxin B, a strong hepatocarcinogen, and induce the excretion of its metabolites in urine17. Given the bleak outlook for primary HCC, which has a poor prognosis with a six-month life expectancy, the outcomes of these tests are quite promising for the future. Additionally, the nut extract increases the effectiveness of common anticancer medications, such as methotrexate, 5-fluorouracil, and mitomycin-C. This natural substance may contain potential antitumor active principles based on its demonstrated antitumor efficacy. Sadly, the discovered anticancer effect is unrelated to bhilawanols or their epoxides. However, K40 is present in the marking nut. The complex nut most likely contains additional active principles with a distinct differential effect on the cancerous cells in addition to its potential effective radioactivity. The isolated frog heart and rabbit gut are directly depressed by the nut extract, which also opposes the spasmogenic actions of pitocin, histamine, carbachol, and barium chloride. The nut extract intensified the delayed kind of hypersensitivity that mice developed when sheep red blood cells were used as an antigen. Our team has documented the nut extract's immunomodulatory efficacy in hepatocellular carcinoma24,28. By blocking intestinal cholesterol absorption and peripheral elimination, it also lowers tissue and serum hyperlipidemia. Therefore, it has encouraging anti-atherosclerotic properties, and patients with coronary heart disease may benefit from using it8,27,28. S. anacardium oil is a cholagogue, a strong antiseptic, a heart tonic, and a general respiratory stimulant. Leucoderma (skin diseases) , coryza, epilepsy, and other neurological conditions can benefit from it. It reduces inflammation, relieves superficial dermatological pain, and helps with paralysis. For a daily cough, oil and milk are administered to relax the tongue and uvula. S. anacardium monohydroxy phenols are externally as dermatological pastes and ointments (I to 10%) to cure psoriasis, aches, and other skin conditions6. Traditional uses of S. anacardium include treating stomach and urinary ailments, as indicated in Charaka Samhitha.  Curative of obstinate skin disorders and possesses Prescribed to treat poisoning. In Sushrutha. Samhitha, plant-nut preparations have suggested to treat intestinal Parasites, fever, liver toxicity, menorrhagia ulcers Obesity and pelvic inflammatory illness 41. It is utilized. as a blood cleanser, brain tonic, and haematinic tonic. Powdered seeds from Semecarpus anacardium, Terminalia chebula with Sesamum indicum L. Combined with jaggery yields good results. Chronic rheumatic diseases. The medicated milk or Its oil is beneficial for dysmenorrhea (painful periods), menstruation & oligomenorrhea (scanty). Bhallataka is a highly effective rejuvenative (rasayana) for the skin. It reduces urine production, making it beneficial for those with kapha-type diabetes. Additionally, it addresses various Vata issues and serves as a preventative measure to enhance the body’s resistance. The plump and delicious fruit of Bhallataka improves digestion, treats imbalances in the vata and kapha doshas, heals wounds, and addresses skin abnormalities. It also helps with conditions such as piles, inflammation, bloating, ascites, and malabsorption issues. The seeds of Bhallataka contribute to these benefits as well. It has excellent nutritional content, balances the vata and pitta doshas, calms pitta, stimulates digestion, and promotes hair development. The fruits and oil are beneficial in treating rheumatic pain and gout42. Fruits following detoxification have been used to improve vision, extend lifespan, and address specific skin problems. They have also been utilized to treat asthma, piles, leprosy, arthritis, and skin conditions such as leukoderma43. Serankottai (marking nut) Nei is a medicinal ghee preparation. The nut extract of Bhalayo is used to treat tuberculosis, cancer, lung infections, neurological discomfort, and autoimmune diseases such as rheumatoid arthritis and osteoarthritis44. Another modified Siddha recipe, Kalpaamruthaa (a wish-fulfilling tree), includes nut milk extract, dried powdered Emblica (indian goose berry) officinalis fruit, and honey. This formulation has been tested for a variety of disorders, exhibiting features such as analgesic, antipyretic, ulcerogenic, anticarcinogenic, and anti-arthritic activity45. To purify Semecarpus anacardium, the thalamus section of the fruit was removed with a sharp knife. The nuts were then treated with fresh cow pee every day for seven days before being treated with cow milk for another seven days. After that, brick powder was liberally put on the nuts and left for three days. During the treatment time, the nuts were carefully cleansed with water prior to the administration of fresh cow urine or milk. On the eighteenth day, which signified the completion of the cleansing process (shodhana), the nuts were washed with hot water. The shodhana procedure was done three times to guarantee that the nuts were completely purified, free of toxins and contaminants, and ready for medicinal use46-47.

Table 2 - Proximate Principle, Minerals and Vitamins in Semecarpus Anacardium Nuts.

Table 3

Consideration of mechanism of action:

The catechol half and lipoid-soluble C I5 chain readily explain many of the well-known characteristics of marked nut oils. The catechol ring may oxidize to an orthoquinone when exposed to air. The quick production of the orthoquinoid intermediate may be intimately related to the vesicant nature and permanent pigmentation. The lipoid soluble CI S chain4 is clearly responsible for the skin's absorption of the oil.

Role of anacardic acid in pharmacology:

When used to treat hookworm infections, anacardic acid from nut oil shown antibacterial and anthelminthic qualities. Gram positive anaerobes are inhibited by monoene and diene bhilawanols, but not gram-negative anaerobes. This is likely because the lipoprotein layer blocks the entry of lipophilic substances like bhilawanols into cell membranes. Bhilawanols cannot inhibit aerobic microorganisms because they are prone to complicated polymerization and atmospheric oxidation in the presence of oxygen21-23.

Toxicity and Safety Considerations:

In its raw state, S. anacardium is extremely poisonous, notwithstanding its therapeutic benefits. The nut's sticky pericarp contains substances that resemble urushiol and cause blisters and extreme skin discomfort when in touch. harmful to the stomach if eaten uncooked. allergic responses, especially in those who are sensitive. Semecarpus anacardium has several health advantages, but if taken in excess, its seeds can be poisonous. Irritating substances found in the plant, such as cardanol and cardol, can irritate skin and upset the stomach. Topical treatments require careful preparation and dosing to prevent negative effects5. S. anacardium has been proven to have certain toxic properties in addition to its numerous medicinal benefits.  Malingerers frequently exploit the intense irritating properties of pericarp juice to create eye and skin sores, as well as induce miscarriages40.  Dermatitis can occur in those who make the oil, apply it to clothes while doing laundry, or wear marked apparel.  There are two primary dermatitis patterns41.  Dermatitis of the hands and face can occur in persons who use nut formulations for medical purposes.  The legs and feet may also be injured if the nuts are crushed with a pestle in a mortar held between the knees.

1. Hazardousness to Humans:

Direct contact with the sap of the plant can result in skin burns, blisters, and severe dermatitis.

2. Safety Measures: The plant's seeds should be carefully consumed under a certified adult's supervision.

Toxicity evaluation:

Peanut oil, ghee, milk, and other foods can be consumed with S. anacardium nuts. These modes of delivery do not have toxic consequences. Conversely, anabolic benefits are achieved. It is important to strictly adhere to the traditional practices suggested by Ayurveda and Siddha to achieve therapeutic results free from toxicity. Numerous accounts have stated the dose range in a graduated fashion, ranging from 300 to 9000 mg. Studies on toxicity were conducted by Ghosh et al. using one Siddha preparation of S. anacardium, and they discovered that, up to an oral dosage of 2000 mg/kg, Rats did not experience any adverse effects or die. Despite the extract being given at a high dose of 1000 mg/kg, histological investigations on the liver, lung, kidney, and heart did not show any notable pathological abnormalities. The animals appeared to be in good condition, active, and free of any weight loss or physiological disturbances. Almost normal was the hematological picture. RBC count and hemoglobin percentage45 were unaffected by the extract, although total WBC count was. According to Vaishnav et al.24,25, the LD50 dosage in rats and rabbits was 40g/kg. The extremely high dosage of the medication causes hazardous side effects, such as vomiting and diarrhea, bodily edema, and skin vesication and ulceration. During the warmer season, it should be taken with caution and in smaller dosages. Any indication of a rash, redness, or itchy or uncomfortable feeling in any region of the body during usage internal or external should be regarded as an indication of negative side effects, and use should be stopped right away.

CONCLUSION

Semecarpus anacardium is a highly valuable plant with significant pharmacological potential. Its diverse range of therapeutic effects, such as anti-inflammatory, antioxidant, antidiabetic, and anticancer activities, positions it as an important medicinal plant in both traditional and modern medicine. However, despite its benefits, toxicity concerns related to improper use warrant caution. Further clinical trials and scientific research are needed to fully establish its safety profile and efficacy in treating various diseases.

REFERENCES

  1. Dhanabal SP, et al. (2010). Anti-inflammatory and analgesic activity of Semecarpus anacardium Linn. Journal of Ethnopharmacology.
  2. Senthilkumar B, et al. (2016). Antioxidant and anti-inflammatory properties of Semecarpus anacardium in experimental animals. Journal of Medicinal Plants Research.
  3. Bhandari U, et al. (2018). Antidiabetic activity of Semecarpus anacardium seeds. International Journal of Pharmacognosy.
  4. Prakash Rao PS, et al. (2011). Anticancer activity of Semecarpus anacardium Linn. Cancer Research Journal.
  5. Ziauddin M, et al. (2013). Toxicological evaluation of Semecarpus anacardium: Safety and efficacy review. Journal of Toxicology and Environmental Health.
  6. Krithikar KR & Basu BD. Indian Medicinal Plants. Vol I. (MS Bishen Singh - Mahendra Paul Singh Publishers, Dehradun, Indi a), 1975,667.
  7. Satyavati, GV, Prasad DN, Das PK & Singh HD. Antiinflammatory activity of SemecGlpus anacardium Linn . A preliminary study. Indian J Physiol Phannacol, 13 (1969) 37.
  8. Bose BC, Mathur VS & Vijavargiya R. Study of chemical and pharmacological properties of Semecarplls anacardilllll Linn. Indian J. Med Res, 55 (1967) 155.
  9. Vad BG. Study of complete regression in four cases of cancer. The Indiall Praclilioner, 26 ( 1973) 253.
  10. Premalatha B, Muthulakshmi V, Vijayalakshmi T & Sachdanandam P. SelllecwjJIIs anacardiulI/ nut extract induced changes in enzymic antioxidants studied in aflatoxin B I caused hepatocellular carcinoma bearing Wistar rats. Int J Pharmacog, 35( 1997) I .
  11. Premalatha B & Sachdanandam P. Semecarpus allCicardill1ll Linn. nut extract administration induces in vivo antioxident defense system in aflatoxin B I mediated hepatocellular carcinoma. J ElhllophannClcol, 66 ( 1999) 131.
  12. Premalatha B, Muthulakshmi V, Vijayalakshmi T & Sachdanandam P. Protective role of SerankOI/Cli nei, a siddha preparation on cell membranes, in aflatoxin B I induced hepatocellular calcinoma bearing rats. III diamdmgs, 34 (1997) 384.
  13. Premalatha B & Sachdanandam P. Stabilizati on of Lysosomal membrane and Cell membrane glycoprotein profile by SemecClrplis anCicardilll1l Linn. nut milk extract in experimental hepatocellular carcinoma. Phylolher Res, 14 (2000) 352.
  14. Premalatha B, Muthulakshmi V & Sachdanandam P. Anticancer potency of th e milk extract of Selllecarplis anacardillll1 Linn. nuts against aflatoxin B I medi ated hepatocellular carcinoma bearing Wistar rats with reference to tumour marker enzymes. Phylolher Res, 13 ( 1999) 183.  
  15. Premalatha B & Sachdanandam P. Pharmacologi cal effect of SemecwjJUs ClnClcardill1ll Linn. nut extract against afl atoxin B I induced hepatocellular carcinoma. Filolherapia, 70 ( 1999) 484.
  16. Premalatha  & Sachdanandam P. Modulating role of Seme (CGllU) S. anacardium L. nut milk extract on aflatoxin 81 biotransformation. PharmacaL Res, 41 (2000) 19.
  17. Indap MA, Ambaye RY & Gokhale SV. Potentiation of activity of anticancer drugs by acetylated oi l of SemecCl/pus anacardillm Linn. F in experimental tumours. Indian Drugs. 23 ( 1986) 447.
  18. Goudgaon NM , Lamture JB & Nayak UR. Semecarpus anacardillm as an anticancer agent: epoxy derivatives of the monoene and diene bhilawanols. Indian drugs 22 ( 1985) 556.
  19. Premalatha B & Sachdanandam P. Immunomodulatory activity of Semecarpus anacardium Linn. nut milk extract in aflatoxin B I induced hepatocellular carcinoma in rats. Pllarm PharmacaL Com/11un, 4 (1998) 507.
  20. Sharma A. Mathur R & Dixit VP. Hypocholesterolemic activity of nut shell extract of Semecarplls anacardium (Bhilawa) in cholesterol fed rabbi Is. Indian J t.xp Bioi 33 (1995) 444.
  21. Chattopadhyaya MK & Khare RL. Isolation of Anacardic acid from SemeCGll}l(S anacardium Linn. and study of its anthelminthic activity. Indian J Pharm, 3 1 ( 1969) 104. 43
  22. Chaltopadhyaya MK & Khare RL. Antimicrobial activity of anacardic acid and its metallic complexes. Indian J Pha rl11 , 32 (1970) 46.
  23. Patwardhan B, Ghoot R8 & David SB. A new anaerobic inhibitor of herbal origin. Indian J Pllarm Sci, 50 ( 1988) 130.
  24. Ghosh D, Thejomoorthy P, Shetty BMV & Veluchamy G. Certain pharmocological studies with SKx (a coded anticancer siddha preparation) with special reference to its toxicity. J Res AyurSiddlla 2. ( 1981 ) 150.
  25. Vaishnav R, Sankaranarayanan A, Chaudhury RR, Mathur VS & Chakravarti RN. Toxicity studies on a proprietory preparation of SemecGlpus anacardiwl1. Indian J Med Res, 77 (1983) 902.
  26. Premalatha B & Sachdanandam P. Modification of Seme (CGllU) S. anacardium Linn. nut milk extract on Rat serum Alphafeto protein level in anatoxin B I mediated hepatic tumourigenesis. Fitotherapia, 70 (1999) 279.
  27. Ghothoskar SV & Ranadi ve KJ. Anticancer screening of SAN-AB: An extract of marking nut, Semecarplis anacardium. Indi J Exp BioI, 9 ( 1971 ) 372.
  28. Cassady JM , Chang CJ & McLaughlin JL. Recelll advances in the isolation of structural elucidation of antineoplastic agents of higher plants. In: Beal JL, Reinhard E, eds. Nall/ral prodlicls as medicinal age/lis. (Verl ag: Hippokrates), 1981 ,
  29. Phatak MK , Ambaye RY , [ndap MA & Bhatia KG. Cytotoxicity of the acetyl ated oil of Semeca/plis anacardium Linn. F.  Indiall J Physiol Pharlllacal, 27 (1983) 166.
  30. Patwardhan, B.K, Saraf, M. N., & David, S. B. (1988). Toxicity of Semecarpus anacardium extract. Ancient Science of Life, 8(2), 106–109.
  31. Samhita C, Trikamji J, editor, 4th ed, 1994. Varanasi: Chaukhamba Sanskrit Sansthan 377-383.
  32. Ramasastri BV, Shenolikar IS, 1974. Nutritive value of two unusual foods: Adda (Bauhinia vahilii) and marking nut (Semecarpus anacardium) kernels, Ind J Med Res, 62: 1673-1677.
  33. Sharma S, Rasatarangini, Kasinath sastri, editor, 11 th ed, 2004. New Delhi: Motilal Banarasidas 478-479.
  34. Lohar DR, Legal status of Ayurvedic, Siddha & Unani medicines, Ghaziabad: Department of AYUSH Ministry of Health & Family Welfare, p72.
  35. Ilanchezhian R, Roshy JC, Acharya R, 2010. Importance of media in shodhana (purification/Processing) of poisonous herbal drugs, Anc Sci Life, 30: 27-30
  36. Vijayalakshmi T, Muthul akshmi V & Sachdanandam P. Effect of milk extract of Semecwpus allacardium nut on adjuvant arthritis-A dose dependent study in Wistar albino rats. Gen. P/wnnacol, 27 (1996) 1223.
  37. Bajpai HS , Satyavati GV , Usha Agarwal ,Gupta JP & Upadyaya YN. Role of Semecarpus anacardiwn Linn. (Bhallatak) in the treatment of Arthropathies (a prelimimlry report). J Res Indian Me.d, 5 (1970) I
  38. Chitinis MP, Bhatia KG, Phatak MK & Kesava Rao, KV. Antitumour activity of the extract of SemecCllplis anacardiulll L.nuts in experimental tumour models. Indian .I Exp BioI, 18 ( 1980) 6.
  39. Phatak MK , Ambaye RY , [ndap MA & Bhatia KG. Cytotoxicity of the acetyl ated oil of Semeca/plis anacardillm Linn. Indian J Physiol Pharlllacal, 27 (1983) 166.
  40. Nikam YP: Potent Ethanomedicinal Plant Semecarpus anacardium Linn: A Review. Systematic Reviews in Pharmacy 2022; 13(3).
  41. Sukh Dev. Prime Ayurvedic Plant Drugs - A Modern Scientific Appraisal, 2nd ed., Ane Books, New Delhi, India. 2012
  42. Nadkarni AK. Indian materia medica. Bombay: Popular Book Depot; 1976.
  43. Kirtikar KR, Basu BD. In: Bishen Singh, MS editor. Indian medicinal plants, vol. 1. Dehradun: Mahendra Palsingh Publishers; 1975
  44. Senthilvel G, Amuthan A, Kumar KS. Phytochemical Standardization of Serankottai nei (a Siddha drug from milk extract of Semecarpus Anacardium nuts) and its in-vitro antitubercular activity against H37Rv strain. International Journal of Pharmacology and Clinical Sciences. 2016;5(1).
  45. Mythilypriya R, Shanthi P, Sachdanandam P. Analgesic, antipyretic and Ulcerogenic properties of an indigenous formulation-Kalpaamruthaa. Phytother Res. 2007;21(6):574–8.
  46. Shodhana of crude drugs, Ayurvedic Pharmacopoeia of India, 1 st edition. Part I, Vol I, Government of India, Ministry of Health and Family Welfare, Department of Ayush, 1999, Appendix 5. 20.
  47. Anonymous. Bhallataka (Fruit), Ayurvedic Pharmacopoeia of India, 1 st edition. Part I, Vol II, Government of India, Ministry of Health and Family Welfare, Department of Ayush, 1999, 19-20.

Reference

  1. Dhanabal SP, et al. (2010). Anti-inflammatory and analgesic activity of Semecarpus anacardium Linn. Journal of Ethnopharmacology.
  2. Senthilkumar B, et al. (2016). Antioxidant and anti-inflammatory properties of Semecarpus anacardium in experimental animals. Journal of Medicinal Plants Research.
  3. Bhandari U, et al. (2018). Antidiabetic activity of Semecarpus anacardium seeds. International Journal of Pharmacognosy.
  4. Prakash Rao PS, et al. (2011). Anticancer activity of Semecarpus anacardium Linn. Cancer Research Journal.
  5. Ziauddin M, et al. (2013). Toxicological evaluation of Semecarpus anacardium: Safety and efficacy review. Journal of Toxicology and Environmental Health.
  6. Krithikar KR & Basu BD. Indian Medicinal Plants. Vol I. (MS Bishen Singh - Mahendra Paul Singh Publishers, Dehradun, Indi a), 1975,667.
  7. Satyavati, GV, Prasad DN, Das PK & Singh HD. Antiinflammatory activity of SemecGlpus anacardium Linn . A preliminary study. Indian J Physiol Phannacol, 13 (1969) 37.
  8. Bose BC, Mathur VS & Vijavargiya R. Study of chemical and pharmacological properties of Semecarplls anacardilllll Linn. Indian J. Med Res, 55 (1967) 155.
  9. Vad BG. Study of complete regression in four cases of cancer. The Indiall Praclilioner, 26 ( 1973) 253.
  10. Premalatha B, Muthulakshmi V, Vijayalakshmi T & Sachdanandam P. SelllecwjJIIs anacardiulI/ nut extract induced changes in enzymic antioxidants studied in aflatoxin B I caused hepatocellular carcinoma bearing Wistar rats. Int J Pharmacog, 35( 1997) I .
  11. Premalatha B & Sachdanandam P. Semecarpus allCicardill1ll Linn. nut extract administration induces in vivo antioxident defense system in aflatoxin B I mediated hepatocellular carcinoma. J ElhllophannClcol, 66 ( 1999) 131.
  12. Premalatha B, Muthulakshmi V, Vijayalakshmi T & Sachdanandam P. Protective role of SerankOI/Cli nei, a siddha preparation on cell membranes, in aflatoxin B I induced hepatocellular calcinoma bearing rats. III diamdmgs, 34 (1997) 384.
  13. Premalatha B & Sachdanandam P. Stabilizati on of Lysosomal membrane and Cell membrane glycoprotein profile by SemecClrplis anCicardilll1l Linn. nut milk extract in experimental hepatocellular carcinoma. Phylolher Res, 14 (2000) 352.
  14. Premalatha B, Muthulakshmi V & Sachdanandam P. Anticancer potency of th e milk extract of Selllecarplis anacardillll1 Linn. nuts against aflatoxin B I medi ated hepatocellular carcinoma bearing Wistar rats with reference to tumour marker enzymes. Phylolher Res, 13 ( 1999) 183.  
  15. Premalatha B & Sachdanandam P. Pharmacologi cal effect of SemecwjJUs ClnClcardill1ll Linn. nut extract against afl atoxin B I induced hepatocellular carcinoma. Filolherapia, 70 ( 1999) 484.
  16. Premalatha  & Sachdanandam P. Modulating role of Seme (CGllU) S. anacardium L. nut milk extract on aflatoxin 81 biotransformation. PharmacaL Res, 41 (2000) 19.
  17. Indap MA, Ambaye RY & Gokhale SV. Potentiation of activity of anticancer drugs by acetylated oi l of SemecCl/pus anacardillm Linn. F in experimental tumours. Indian Drugs. 23 ( 1986) 447.
  18. Goudgaon NM , Lamture JB & Nayak UR. Semecarpus anacardillm as an anticancer agent: epoxy derivatives of the monoene and diene bhilawanols. Indian drugs 22 ( 1985) 556.
  19. Premalatha B & Sachdanandam P. Immunomodulatory activity of Semecarpus anacardium Linn. nut milk extract in aflatoxin B I induced hepatocellular carcinoma in rats. Pllarm PharmacaL Com/11un, 4 (1998) 507.
  20. Sharma A. Mathur R & Dixit VP. Hypocholesterolemic activity of nut shell extract of Semecarplls anacardium (Bhilawa) in cholesterol fed rabbi Is. Indian J t.xp Bioi 33 (1995) 444.
  21. Chattopadhyaya MK & Khare RL. Isolation of Anacardic acid from SemeCGll}l(S anacardium Linn. and study of its anthelminthic activity. Indian J Pharm, 3 1 ( 1969) 104. 43
  22. Chaltopadhyaya MK & Khare RL. Antimicrobial activity of anacardic acid and its metallic complexes. Indian J Pha rl11 , 32 (1970) 46.
  23. Patwardhan B, Ghoot R8 & David SB. A new anaerobic inhibitor of herbal origin. Indian J Pllarm Sci, 50 ( 1988) 130.
  24. Ghosh D, Thejomoorthy P, Shetty BMV & Veluchamy G. Certain pharmocological studies with SKx (a coded anticancer siddha preparation) with special reference to its toxicity. J Res AyurSiddlla 2. ( 1981 ) 150.
  25. Vaishnav R, Sankaranarayanan A, Chaudhury RR, Mathur VS & Chakravarti RN. Toxicity studies on a proprietory preparation of SemecGlpus anacardiwl1. Indian J Med Res, 77 (1983) 902.
  26. Premalatha B & Sachdanandam P. Modification of Seme (CGllU) S. anacardium Linn. nut milk extract on Rat serum Alphafeto protein level in anatoxin B I mediated hepatic tumourigenesis. Fitotherapia, 70 (1999) 279.
  27. Ghothoskar SV & Ranadi ve KJ. Anticancer screening of SAN-AB: An extract of marking nut, Semecarplis anacardium. Indi J Exp BioI, 9 ( 1971 ) 372.
  28. Cassady JM , Chang CJ & McLaughlin JL. Recelll advances in the isolation of structural elucidation of antineoplastic agents of higher plants. In: Beal JL, Reinhard E, eds. Nall/ral prodlicls as medicinal age/lis. (Verl ag: Hippokrates), 1981 ,
  29. Phatak MK , Ambaye RY , [ndap MA & Bhatia KG. Cytotoxicity of the acetyl ated oil of Semeca/plis anacardium Linn. F.  Indiall J Physiol Pharlllacal, 27 (1983) 166.
  30. Patwardhan, B.K, Saraf, M. N., & David, S. B. (1988). Toxicity of Semecarpus anacardium extract. Ancient Science of Life, 8(2), 106–109.
  31. Samhita C, Trikamji J, editor, 4th ed, 1994. Varanasi: Chaukhamba Sanskrit Sansthan 377-383.
  32. Ramasastri BV, Shenolikar IS, 1974. Nutritive value of two unusual foods: Adda (Bauhinia vahilii) and marking nut (Semecarpus anacardium) kernels, Ind J Med Res, 62: 1673-1677.
  33. Sharma S, Rasatarangini, Kasinath sastri, editor, 11 th ed, 2004. New Delhi: Motilal Banarasidas 478-479.
  34. Lohar DR, Legal status of Ayurvedic, Siddha & Unani medicines, Ghaziabad: Department of AYUSH Ministry of Health & Family Welfare, p72.
  35. Ilanchezhian R, Roshy JC, Acharya R, 2010. Importance of media in shodhana (purification/Processing) of poisonous herbal drugs, Anc Sci Life, 30: 27-30
  36. Vijayalakshmi T, Muthul akshmi V & Sachdanandam P. Effect of milk extract of Semecwpus allacardium nut on adjuvant arthritis-A dose dependent study in Wistar albino rats. Gen. P/wnnacol, 27 (1996) 1223.
  37. Bajpai HS , Satyavati GV , Usha Agarwal ,Gupta JP & Upadyaya YN. Role of Semecarpus anacardiwn Linn. (Bhallatak) in the treatment of Arthropathies (a prelimimlry report). J Res Indian Me.d, 5 (1970) I
  38. Chitinis MP, Bhatia KG, Phatak MK & Kesava Rao, KV. Antitumour activity of the extract of SemecCllplis anacardiulll L.nuts in experimental tumour models. Indian .I Exp BioI, 18 ( 1980) 6.
  39. Phatak MK , Ambaye RY , [ndap MA & Bhatia KG. Cytotoxicity of the acetyl ated oil of Semeca/plis anacardillm Linn. Indian J Physiol Pharlllacal, 27 (1983) 166.
  40. Nikam YP: Potent Ethanomedicinal Plant Semecarpus anacardium Linn: A Review. Systematic Reviews in Pharmacy 2022; 13(3).
  41. Sukh Dev. Prime Ayurvedic Plant Drugs - A Modern Scientific Appraisal, 2nd ed., Ane Books, New Delhi, India. 2012
  42. Nadkarni AK. Indian materia medica. Bombay: Popular Book Depot; 1976.
  43. Kirtikar KR, Basu BD. In: Bishen Singh, MS editor. Indian medicinal plants, vol. 1. Dehradun: Mahendra Palsingh Publishers; 1975
  44. Senthilvel G, Amuthan A, Kumar KS. Phytochemical Standardization of Serankottai nei (a Siddha drug from milk extract of Semecarpus Anacardium nuts) and its in-vitro antitubercular activity against H37Rv strain. International Journal of Pharmacology and Clinical Sciences. 2016;5(1).
  45. Mythilypriya R, Shanthi P, Sachdanandam P. Analgesic, antipyretic and Ulcerogenic properties of an indigenous formulation-Kalpaamruthaa. Phytother Res. 2007;21(6):574–8.
  46. Shodhana of crude drugs, Ayurvedic Pharmacopoeia of India, 1 st edition. Part I, Vol I, Government of India, Ministry of Health and Family Welfare, Department of Ayush, 1999, Appendix 5. 20.
  47. Anonymous. Bhallataka (Fruit), Ayurvedic Pharmacopoeia of India, 1 st edition. Part I, Vol II, Government of India, Ministry of Health and Family Welfare, Department of Ayush, 1999, 19-20.

Photo
Vivek Waghere
Corresponding author

Siddhi’s Institue of Pharmacy, Nandgaon, DBATU University, Raigad, Lonere-421401.

Photo
Raj pawer
Co-author

Siddhi’s Institue of Pharmacy, Nandgaon, DBATU University, Raigad, Lonere-421401.

Photo
Pranit Nimse
Co-author

Siddhi’s Institue of Pharmacy, Nandgaon, DBATU University, Raigad, Lonere-421401.

Photo
Tejaswini Asawe
Co-author

Siddhi’s Institue of Pharmacy, Nandgaon, DBATU University, Raigad, Lonere-421401.

Vivek Waghere*, Raj Pawar, Pranit Nimse, Tejaswini Asawe, A Review on Semecarpus Anacardium: Pharmacological Properties, Therapeutic Potential, And Traditional Uses, Int. J. of Pharm. Sci., 2025, Vol 3, Issue 4, 2753-2766 https://doi.org/10.5281/zenodo.15267525

More related articles
In-Vitro Evalution Of Tridax Procumbens In The Tre...
AKASH BHAGVAN AHER, SANDIP GANGDHAR LAWRE, ANUSHKA VIJAYKUMAR PHO...
Harnessing Ascorbyl Palmitate Vesicles (Aspasomes)...
Laura SL, Gopinath E, Suresh K, Vignesh R, ...
Niosomes: A Promising Vesicular Drug Delivery Syst...
Dhanashri Tikar , Ashwini Awsare , Arati Kolhal , Disha Jadhao , ...
Tinea Incognito: A Comprehensive Review of Steroid-Modified Dermatophytosis and ...
Dr. D. Krishna Priyanka, D. Gayathri, Joanna Grace Pullagura, D. V. Krishna Reddy, SK. Asfiya Sharme...
Development and Characterization of an Anti-Aging Herbal Face Pack Using Lignin ...
Savita Shende, Srujal Bandawar, Himant Panem, Pooja Ghutake, ...
Related Articles
A Microsponge-Based Drug Delivery System For The Treatment Of Fungal Infection...
Shivani Soni, Dharmesh Sisodiya, Tanu Bhargava, Kamlesh Dashora, ...
Data Integrity in Pharmaceutical Manufacturing: Evolving Global Regulatory Frame...
Prathamesh Salunkhe, Chaitali Mane , Sanket Kumbhar , Venkat Battalwar , Koushal Kadam , Sanket Salu...
Marketing Development of Affordable Medicine...
Mohanraja P R, Akshob N, Deepaknath R, Nisha S R, ...
Hot-Melt Extrusion as a Platform for Next-Generation Pharmaceutical Manufacturin...
Nensi Raytthatha, Keyur Patel, Vishva Patel, Vaishnavi Barot, Priyanshi Rathod, Priyansi Raj, ...
In-Vitro Evalution Of Tridax Procumbens In The Treatment Of Urolithisis...
AKASH BHAGVAN AHER, SANDIP GANGDHAR LAWRE, ANUSHKA VIJAYKUMAR PHOLANE, AVISHKAR PARSHARAM BARHATE, S...
More related articles
In-Vitro Evalution Of Tridax Procumbens In The Treatment Of Urolithisis...
AKASH BHAGVAN AHER, SANDIP GANGDHAR LAWRE, ANUSHKA VIJAYKUMAR PHOLANE, AVISHKAR PARSHARAM BARHATE, S...
Niosomes: A Promising Vesicular Drug Delivery System for Enhanced Therapeutic Ef...
Dhanashri Tikar , Ashwini Awsare , Arati Kolhal , Disha Jadhao , Anjali Gawai , R.A. Ingle, K. R. Bi...
In-Vitro Evalution Of Tridax Procumbens In The Treatment Of Urolithisis...
AKASH BHAGVAN AHER, SANDIP GANGDHAR LAWRE, ANUSHKA VIJAYKUMAR PHOLANE, AVISHKAR PARSHARAM BARHATE, S...
Niosomes: A Promising Vesicular Drug Delivery System for Enhanced Therapeutic Ef...
Dhanashri Tikar , Ashwini Awsare , Arati Kolhal , Disha Jadhao , Anjali Gawai , R.A. Ingle, K. R. Bi...