View Article

Abstract

Oral medicated jellies are semisolid dosage forms that offer a convenient and palatable alternative to traditional oral medications. Developed in the 20th century, they gained regulatory approval in 2012 for use in osteoporosis treatment in Japan. Recent studies indicate that a significant portion of patients prefer medicated jellies over tablets or liquids due to their ease of administration and appealing taste. These formulations are now available as over-the-counter (OTC) medications for various therapeutic uses, including pain relief and arthritis treatment. Pharmaceutical jellies are composed of natural or synthetic gelling agents, stabilizers, preservatives, and flavoring agents. Their ability to deliver drugs in dissolved or dispersed forms ensures effective absorption through the gastrointestinal tract. The choice of gelling agents influences drug release, making jellies suitable for both immediate and sustained drug delivery. Additionally, their advantages include improved safety, enhanced patient compliance, and broader clinical applications. This study reviews the formulation, benefits, and market acceptance of oral medicated jellies, emphasizing their role in modern drug delivery systems.

Keywords

Oral, Jelly, Paracetamol, Pediatric, Drug Delivery.

Introduction

Jellies are defined as semisolid unit dosage form that are transparent, translucent or non greasy, intended for oral administration. Oral medicated jellies were developed back in the 20th century. Once weekly oral medicated jellies was approved in 2012 by the ministry of Health Labour And Welfare of Japan as the world’s first drug for osteoporosis in a jelly formulation. Recent market studies indicate that more than half of the patient population prefers Oral medicated jellies to other dosage forms and most consumers would ask their doctors for Oral medicated jellies (70%). Pharmaceutical jellies are now available as OTC medicaments in different flavours containing drugs for anesthetics, arthritis. The source from which jellies can be prepared are natural gums like tragacanth, pectin, sodium carboxy-methyl cellulose. Since jellies have eye catching appearance, pleasant taste and easy to handle, everyone prefers jelly over oral liquid or tablets. The main excipients of jellies are a gelling agent, stabilizer, preservative, and flavoring and sweetening agents. Jellies act as a vehicle for a drug which presents either as dissolved or dispersed/suspended form that can release and mix with saliva to be absorbed through gastrointestinal tract mucosa. By choosing the right gelling agent, which can be either natural or synthetic hydrophilic polymers at a suitable concentration, the drug can release immediately or sustained from the jelly vehicle. Advantages attributed to Oral medicated jellies include ease of administration, ease of swallowing, pleasant taste and the availability of several flavours. Oral medicated jellies also offer clinical advantages such as improved safety and, in some cases, improved efficacy and other broader indications. Children are more sensitive to certain excipients due to their smaller size and ongoing physiological development. The objective of this study is the review of articles associated with oral jellies. More specifically, Jellies for Pediatric use.

Fig. 2: Paracetamol Oral Jellies.

MATERIALS AND METHODS:

Medicated jellies are a form of pharmaceutical dosage, which combine the basic principles of jelly chemistry with the addition of active medicinal ingredients. The key components in the chemistry Of medicated jellies are as follows:-

  1. Paracetamol-

Molecular Formula: C8H9NO2

Molecular weight: 151.165 g·mol−1

IUPAC Name: N-(4-hydroxyphenyl)acetamide, N-(4-hydroxyphenyl)ethanamide

Bioavailability: 70-90% absorbed from the gastrointestinal tract following oral Administration.

Half-Life: 1.5 to 2.5 Hrs

Protein Binding: Bind to serum albumin about 10–25%.

Solubility: Soluble in water and insoluble in diethyl ether.

Category: Analgesics and antipyretics

Storage: Preserved in tight, light-resistant containers stored at room temperature and protected from moisture and heat.

Dose: 250 mg, 3times/day

Use: Treat mild to moderate pain, treat fever (high temperature)

Fig. 3: a) Paracetamol Powder.

Fig 3: b) Structure of  Paracetamol.

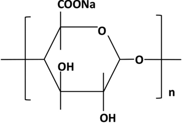
  1. Sodium Alginate-

• Molecular formula: (C6H7NaO6)n.

• Molecular weight: 198.11 g/mol.

• IUPAC name: Sodium 3,4,5,6-tetrahydroxyoxane-2-carboxylate.

• Constituents: Sodium salt of alginic acid. Alginic acid is long chain polyuronide composed of 1,4-linkage residues of D-mannuronic acid and L-gluoronic acid.

Category: Gelling agent.

• Description:White to buff coloured powder, tasteless, odourless, available either as fine or coarse powder.

• Melting point: 99 °C.

• Solubility: Slowly soluble in water forming a viscous, colloidal solution, practically insoluble in

ethanol (96%).

• Specific gravity: between 0.65 and 0.75 g/cm3.

• Uses: Thickening agent, gelling agent, emulsifier, stabilizer, texture-improver.

• Stability & Storage: Stable when stored in a cool, dry place with low relative humidity and in a well-sealed container.

• Shelf life- Pure sodium alginate powder can last for several months if stored properly.

Fig. 4: a) Sodium Alginate Powder.

Fig. 4: Structure of Sodium Alginate.

  1. Sucrose-

Molecular formula: C12H22O11.

Molecular weight: 342.29 g/mol.

IUPAC Name: β-D-fructofuranosyl-α-D-glucopyranoside.

Constituents: Glucose and fructose.

Category: Sweetening agent.

Description: It is a white, crystalline, sweet-tasting carbohydrate that’s also known as table sugar.

• Melting point: 186–188 °C.

• Solubility: Moderately soluble in glycerol, pyridine. Very much soluble in water

, methanol; slightly soluble in ethanol; insoluble in ethyl ether.

• Specific gravity: 1.58g/cm3.

• Uses: Used as a sweetener in foods and drinks, and as a bulking agent and texturizer in baked goods, confectionery, and soft drinks. It also helps extend the shelf life of foods like jams and jellies

by reducing water activity and increasing osmotic pressure.

Stability and Storage: Store it in a cool, dry, and odor-free place.

Fig. 5: a) Sucrose Crystal.

Fig. 5: b) Structure of Sucrose.

  1. Citric Acid-

Molecular formula: C6H8O7.

Molecular weight: 192.12 g/mol.

IUPAC Name: 2-hydroxypropane-1,2,3-tricarboxylic acid.

Category: Flavouring agent.

Description: Citric acid is a weak, odorless, crystalline solid with a sour taste.

Melting point: 153–159°C.

Solubility: Soluble in water, acetone, alcohol, ether, ethyl acetate, DMSO (Dimethyl Sulfoxide) Insoluble in benzene, chloroform, carbon disulfide and toluene.

Specific gravity: 1.54.

Fig. 6: a) Citric Acid Powder.

Uses: Used as a preservative, emulsifying agent, and flavoring agent in many foods and

drinks, used in cosmetics and personal care products to: Brighten skin, Correct dark spots,

Minimize fine lines, preserve products.

Stability & Storage: May be stored for at least 3 years in original or tightly closed containers. Prolonged storage at temperatures higher than 30°C and/or humidity higher than 70% should be avoided in order to prevent caking.

Fig. 6: b) Structure of Citric Acid.

  1. Propyl Paraben-

•Molecular formula: C10H12O3.

• Molecular weight: 180.20 g/mol.

• IUPAC Name: Propyl 4-hydroxybenzoate.

• Category: Preservative.

• Description: A white powder or small, colorless crystals with little to no odor or taste.

Melting point: 95–99°C.

• Solubility: Slightly soluble in water, but freely soluble in alcohol and ether.

• Specific gravity: 1.28 at 77°F.

• Uses: Propyl paraben is a preservative used in a variety of products, including:

Cosmetics- Used in many water-based cosmetics, such as creams, lotions, shampoos, conditioners, and makeup.

Pharmaceuticals- Used in topical and parenteral pharmaceuticals, as well as oral solutions and suspensions.

Food- Used as a food additive in processed vegetables, spices, dairy products, breadstuffs, and juices.

Stability & Storage: Propyl paraben is stable in contact with air, but it should be stored in a cool, dry, well-ventilated place in a tightly closed container. It has a shelf life of 24– 36 months.

Fig. 7: a) Propyl Paraben Powder.

Fig. 7: b) Structure of Propyl Paraben

METHODOLOGY: -

1) All the ingredients will be weighed accurately.

2) Drug dissolves in small amount of solvent (ethanol).

3) In one beaker sugar syrup should be prepared by adding sugar in beaker.

4) Gelling agent will be added to that solution with constant mechanical stirring and heated to dissolve to  achieve desired stiffness.

5) When completely dissolve of gelling agent, stabilizer and citric acid should be properly added and repeat stirred to enhance softness of the jelly by maintain pH respectively, and then after boil for few minutes.

6) Preservative should be added to that polymeric solution after boiling and mixed continuously and uniformly.

7) Now, dissolved drugs added before jelly is allowed to set and mix continuously.

8) Whole polymeric solution should poured in to moulds and then allowed it for cooling and setting undisturbed by proper enfold the moulds to protect exposure to external environment.

Formulation Development:

It involves three distinct stages The Pre-formulation studies, Formulation Design, and The Post- Formulation studies.

  1. Pre- formulation Study: -

Pre-formulation studies emerged between the 1950s and early 1960s. They involved exploring both the physical and chemical properties of a drug substance when mixed with excipients. The overall objective of Pre-formulation studies to provide information regarding the properties and characteristic of the drug in order to formulate safe, efficient dosage form of required quality.

  1. pH Determination-

 The pH of paracetamol is measured using a pH meter apparatus. A 1% w/w dispersion of the drug powder is agitated in distilled water for several minutes, and the pH of the paracetamol is subsequently determined after 5 minutes.

Table 1: Standard pH of Materials.

Sr. No.

Ingredients

pH

1.

Paracetamol

5.5- 6.5

2.

Sodium Alginate

5.0- 7.0

3.

Sucrose

6.0- 7.0

4.

Citric Acid

3.0- 6.0

5.

Propyl Paraben

6.5- 7.0

Table 2: Organoleptic Properties of Materials.

Ingredients

Colour

Odour

Taste

Paracetamol

White Crystalline

Odourless

Bitter

Agar- Agar

Yellowish- white

Odourless

Tastless

Sugar

White Crystalline

Odourless

Sweet

Methyl Paraben

Off-white to white

Odourless

Slightly burning sensation

Citric Acid

Colourless

Odourless

Sour

  1. Organoleptic Properties-

The colour, odour, taste and physical appearance of the drug was studied.

  1. Melting Point-

The melting point of paracetamol was determined using the capillary tube method. A small

Quantity of pure drug was filled in a thin-walled capillary tube which has a sealed end on the other side. Then the capillary tube is placed in the melting point apparatus and heated until the drug is melted. A melting point was detected when the drug started melting.

Table 3: Standard Melting Point of Material

Sr. No.

Ingredients

Melting Point

1.

Paracetamol

169- 179° C

2.

Sodium Alginate

99° C

3.

Sucrose

186-188° C

4.

Citric Acid

153- 159° C

5.

Propyl Paraben

95- 99° C

  1. Identification of Drug-

The identification of paracetamol involved boiling 0.1 gm of paracetamol in 1 ml of concentrated hydrochloric acid for 3 minutes within a water bath. After 3 minutes, 10 ml of distilled water was added, and the mixture was allowed to cool. No precipitation was observed. Subsequently, 0.05 milliliters of potassium dichromate (0.016 N) were added, resulting in the development of a violet color that did not change to red.

  1. Loss on Drying (LOD)-

Initially, the empty porcelain dish is weighed (W). Then 1.09 grams of paracetamol powder were carefully weighed and transferred into a porcelain dish. The porcelain dish was again weighed along with sample (W1). The powder was then subjected to a drying process at 105 degrees Celsius for 3 hours in a hot air oven. Following this, the sample was removed and allowed to cool for 30 minutes. Then the porcelain dish was again weighed and the weight was recorded. LOD was calculated using the formula:

         LOD (%w/w) = W1 – W2 /W1 – W

W1: Weight of porcelain dish along with sample,

W2: Weight of porcelain dish after drying along with sample,

W: Weight of empty porcelain dish.

  1. Solubility Studies-

Solubility is described as the concentration at which the solution reaches equilibrium with the specific solid phase under the prescribed temperature and pressure conditions. In the case of pure paracetamol, it was introduced into various solvent mediums and mixed for two hours or until saturation became evident. This process was carried out to assess the solvent’s capability to dissolve the drug. The solvents employed included 0.1 N hydrochloric acid, distilled water, phosphate buffer with a pH of 6.8, and methanol.

Table 4: Standard Solubility Studies of Material

Sr. No.

Ingredients

Solubility

1.

Paracetamol

Water (14.7 g/ 100 ml)

2.

Sodium Alginate

Water

3.

Sucrose

Water

4.

Citric Acid

Water

5.

Propyl Paraben

Alcohol and Ether

  1. Flow Property Measurement-

The flow propertites of powder are critical for an efficient jellies preparation a good flow of the powder or granulation to be necessary to assure efficient mixing and acceptable weight uniformity for the jellies the flow property measurements include bulk density, tapped density, hausner’s ratio and angle of repose. The flow property measurements of drug and blend were determined to select the type of granulation technique to be carried out for the formulation.

    1. Bulk Density:

It is the ratio of total mass of powder to the bulk volume of powder. It was measured by pouring the weighed powder into a measuring cylinder and initial weight was noted. This initial volume is called the bulk volume. From this the bulk density was calculated according to the formula mentioned below. It is expressed in g/ml and is given by:

ρb= M/Vb

Where,M and Vb are mass of powder and bulk volume of the powder respectively.

    1. Tapped Density:

It is the ratio of weight of the powder to the tapped volume of powder. The powder was introduced into a measuring cylinder with the aid of funnel and tapped for 500 times using Tap Density tester USP I and the volume attained is the tapped volume. It is expressed in

 g/ml and is given by:

ρt= M/Vt

Where, M and Vt are mass of powder and tapped volume of the powder respectively.

    1. Angle of Repose (θ):

The flow properties were characterized in terms of angle of repose, Carr’s index and Hausner’s ratio. For determination of angle of repose, the drug and the blend were poured through the walls of a funnel, which was fixed at a position such that its lower tip was at a height of exactly 2.0 cm above hard surface. The drug and the blends were poured till the time.

Tanθ= h/r

    1. Hausner’s ratio:

Hausner’s ratio is an indirect index of ease of powder flow. It is calculated by the following formula:

HR=ρt/ ρb

Where, ρt and ρb are tapped density and bulk density respectively.

    1. Compressibility:

The compressibility of the powder can be defined as the ability to decrease in volume under pressure. It is used to predict the flow properties based on density measurement.

Carr’s index = tapped density – bulk density x 100/ Tapped density

Table 5: Standards of Flow Property

Carr’s Index

Angle of Repose

Hausner’s Ratio

Flow Characteristic

10

25- 30

1.11

Excellent

11-15

31- 35

1.12- 1.18

Good

16- 20

36- 40

1.19- 1.25

Fair

11- 25

41- 45

1.26- 1.34

Passable

26- 31

46- 55

1.35- 1.45

Poor

32- 37

56- 65

1.46- 1.59

Very Poor

>38

> 65

> 6.0

Very, Very Poor

UV- Visible Spectrophotometric Analysis-

Accurately weigh 10 mg paracetamol and dissolve in 10 mL (1000 µg/mL) phosphate buffer (pH 6.8) solution. Accurately transfer 1 mL of this solution and dilute to 10 ml using phosphate buffer to obtain a solution containing 100 µg/ml. Further dilute 1 mL of this solution to 10 mL to get working standard solution having 10 µg/mL strength. Use this as final concentration and scan between 200. 400 nm using UV-visible spectrophotometer to determine absorption maximum. For Paracetamol has reported absorption maximum is 243 nm, 249 nm and 257 nm in different solvents. Based upon solvent used select any one of the above mentioned wavelength of maximum absorbance.

9.  Compatibility Study-

The compatibility of drug and ingredients under experimental condition is important prerequisite before formulation. Incompatibility between drugs and Excipients can alter stability and bioavailability of drugs, thereby, affecting its safety and efficacy in development of dosage form. The compatibility between pure drug and Excipients were detected by FTIR spectra. The potassium bromide pellets were prepared by using pellet press. For the preparation of pellets, powder sample were ground together in a mortar with 5 times quantity of KBr then finely grounded powder was introduced into a stainless steel die. The powder was pressed in the die between polished steel anvils at a pressure of 50 pounds. Obtained spectra’s were recorded over the wave number of 4000-1 to 400cm-1.

  1. Formulation Design:-

It involves the process of combining ingredients to create a product that meets the required goal. It also encompasses selecting the components and dosage form of a drug or product. This has been covered in the Materials and Methods section.

  1. Post- Formulation Study:-
    1. Physical Appearance-

Physical examinations are important regarding patient compliance and acceptance. The prepared jellies were examined visually for color, texture, clarity and consistency.

    1. Stickiness and Grittiness-

Stickiness and grittiness should be examined by visual inspections of the formulations by slowly rubbing the jelly sample by two fingers.

    1. pH-

The pH of the jellies were examined using digital pH meter at room temperature. For this, 0.5 g of jelly should mixed in 50 ml of distilled water to make 1% solution and the pH was noted. The pH of the final jelly have influence on not only stability but also on the taste.

pH Range: Between 6.2 and 7.6.

    1. Taste Evaluation-

Taste evaluation was done by the volunteers. Five grams of optimized formulation should kept at taste panel experts and for 5 seconds have told to place the gel in their mouth. They were asked to comment on the taste.

    1. Content Uniformity-

At first, jelly from the each formulation were taken, crushed and mixed. Drug equivalent of mixture was extracted by suitable media from the mixture. The absorbance of each solution should measure by UV-visible spectrophotometer at suitable wavelength or the quantity of drug contain in each extract was examined using suitable analytical method. This test is to ensure that each dosage forms contains equal amount of active pharmaceutical ingredients within the batch.

    1. Syneresis-

It is the separation of water from the gel and contraction of the gel upon storage. If limited concentration of gelling agent should employed then it is more prominent in the gels. All the jellies were observed for signs of syneresis at room temp (25°C ± 5°C) and 8°C ± 1°C.

The formulations showing signs of syneresis were refused and not selected for further studies.

    1. Mouth Dissolving Test-

USP-disintegration apparatus is used for this test. To determine the dissolution time, one of jelly is placed in the tube of basket rack. Then the basket rack is immersed in vessel containing buffer solution at pH of 6.8 maintained temperatures of 37°C equivalents to buccal cavity condition with a speed of 60 rpm for duration of 20 minutes.

    1. Blooming Test-

a) Fat Bloom- The development of a thin layer of fat crystals on the surface of the medicated jellies formulation is referred to as fat bloom. This phenomenon results in the loss of gloss and the occurrence of a soft white layer, ultimately reducing the palatability of the medicated jellies and giving it an unappetizing appearance.

b) Sugar Bloom- Sugar bloom refers to the uneven and irregular layer that forms on the surface of a jelly formulation. The primary cause of sugar bloom is condensation, often triggered when the jelly is removed from the refrigerator.

    1. Melting Point-

Melting point of the medicated jelly was determined by placing a jelly in porcelain dish an heated on water bath until it melt and the temperature at which it melts is determined with help of thermometer.

    1. Dimension and Thickness-

Vernier’s calliper is used for the determination of dimensions and thickness of the medicated jellies.

    1. Moisture Content Determination-

Silica gel desiccators are employed to evaluate the moisture content of medicated jelly. The process involves placing the medicated jelly inside the silica gel desiccator, and after a 24-hour period, the medicated jelly is weighed. Subsequently, the percentage of moisture content is calculated using the formula:

Percentage moisture loss (%) = initial weight final weight / initial weight x 100

    1. In- Vitro Drug Release Test-

The dissolution test for medicated jelly is conducted using a USP type dissolution tester apparatus. The procedure is carried out at a temperature of 37±0.5°C with a speed of 50 rpm. Initially, the baskets of the dissolution tester apparatus are filled with 900 ml of 0.1N HCI. Subsequently, the formulation is placed in the basket at intervals of 5, 10, 15, 20, 25 and 30 minutes. The samples are then replaced with an equal amount of fresh medium. Following this, the samples are evaluated and analyzed using a UV spectrophotometer at 260nm.

CONCLUSION:

From the information presented above, it suggests that medicated jellies holds considerable potential as an innovative method for drug delivery in children. Medicated jelly, emerges as an optimal choice for improving patient compliance. Moreover, it provides advantages in concealing the bitter taste and disagreeable odour of drugs, offering a pleasingly smooth texture and consistency.  As the Pharmaceutical industry seeks alternatives to conventional drug delivery methods, medicated jelly is poised to play a significant role, offering a convenient, pleasant, and potentially more effective means of administering medications. The evolving research and positive outcomes in this field forecast a bright future for medicated jellies, making it a focal point of interest in the continued exploration of innovative drug

REFRENCES

        1. Laxmi Gupta, Sarvesh Patil, Rida Kable, Dnyaneshwar Sharma, Mrs. Shivani Pawar; Formulation and Evaluation Of Medicated Gummies Containing Paracetamol And Agar-Agar; International Journal of Creative Research Thoughts (IJCRT); Volume 12, Issue 6 June 2024.
        2. Neha Kousar, Kandikatta Vaishnavi, Dolly Likhitha, Tupakula Navyasri, Prasanthi Raghavarapu, Dr. Tirunagari Mamatha; Design and Evaluation Of Paracetamol Chewable Paediatric Oral Jelly; International Journal Of Progressive Research In Engineering Management And Science (IJPREMS), Vol. 04, Issue 04, April 2024, pp: 1137-1144.
        3. Lubna Abdalkarim Sabri, Abeer H Khasraghi, Hala Talal Sulaiman; Preparation and evaluation of oral soft chewable jelly containing flurbiprofen; Journal Of Advanced Pharmaceutical Technology And Research (JAPTR); 2022 Oct 10;13(4):306–311.
        4. Arifa Begum, Padma Sree, Anusha, Keerthi Veronica, Vinitha Sree, Prameela, Nazeema, Padmalatha; Formulation and Evaluation of Pediatric Oral Soft Jellies of Salbutamol Sulphate; Research J. Pharm. And Tech 2018; 11(11): 4939-4945.
        5. Pradnya Dhananjay Ghuge, Mohit Jadhav; Formulation Development Of In-Vitro Study Of Paracetamol By Oral Jelly;paracetamol oral medicated jelly_1.pptx; Dec 20, 2022.
        6. Sonali. T. Gade; A Review article on Oral Jellies for Pediatrics; Asian J. Pharm. Tech. 2020; 10(3):207-212.
        7. Gurleen Kaur and G. Gananarajan; A Review Article on Oral Jellies for Pediatrics; INDO AMERICAN JOURNAL OF PHARMACEUTICAL SCIENCES; IAJPS 2018, 05 (01), 444-452.
        8. Ajit Devram Nagare, Aachal Manohar Arbat, Kunal Shivaji Jagtap, Dipti Shankar Gajbhare, Pravin Namdev Sathe, Aniket Baban Khaire, Prasad Laxman Gorde; Formulation and Evaluation of Medicated Oral Jelly of Vitamin B Complex Capsule; International Journal of Research Publication and Reviews; Vol 4, no 4, pp 5742-5752 April 2023.
        9. Khalid A Ibrahim , Asma Nawaz, Shamim Mumtaz, Furqan Muhammad Iqbal, Ahmad Khan, Shahiq uz Zaman, Nasser M Abd El-Salam, Naseem Ullah, Tajammal Hussain and Syed Nisar Hussain Shah; Formulation, Evaluation and release rate characteristics of medicated jelly of vitamin C ;Pak. J. Pharm. Sci., Vol.30, No.2(Suppl), March 2017, pp.579-583.

Reference

  1. Laxmi Gupta, Sarvesh Patil, Rida Kable, Dnyaneshwar Sharma, Mrs. Shivani Pawar; Formulation and Evaluation Of Medicated Gummies Containing Paracetamol And Agar-Agar; International Journal of Creative Research Thoughts (IJCRT); Volume 12, Issue 6 June 2024.
  2. Neha Kousar, Kandikatta Vaishnavi, Dolly Likhitha, Tupakula Navyasri, Prasanthi Raghavarapu, Dr. Tirunagari Mamatha; Design and Evaluation Of Paracetamol Chewable Paediatric Oral Jelly; International Journal Of Progressive Research In Engineering Management And Science (IJPREMS), Vol. 04, Issue 04, April 2024, pp: 1137-1144.
  3. Lubna Abdalkarim Sabri, Abeer H Khasraghi, Hala Talal Sulaiman; Preparation and evaluation of oral soft chewable jelly containing flurbiprofen; Journal Of Advanced Pharmaceutical Technology And Research (JAPTR); 2022 Oct 10;13(4):306–311.
  4. Arifa Begum, Padma Sree, Anusha, Keerthi Veronica, Vinitha Sree, Prameela, Nazeema, Padmalatha; Formulation and Evaluation of Pediatric Oral Soft Jellies of Salbutamol Sulphate; Research J. Pharm. And Tech 2018; 11(11): 4939-4945.
  5. Pradnya Dhananjay Ghuge, Mohit Jadhav; Formulation Development Of In-Vitro Study Of Paracetamol By Oral Jelly;paracetamol oral medicated jelly_1.pptx; Dec 20, 2022.
  6. Sonali. T. Gade; A Review article on Oral Jellies for Pediatrics; Asian J. Pharm. Tech. 2020; 10(3):207-212.
  7. Gurleen Kaur and G. Gananarajan; A Review Article on Oral Jellies for Pediatrics; INDO AMERICAN JOURNAL OF PHARMACEUTICAL SCIENCES; IAJPS 2018, 05 (01), 444-452.
  8. Ajit Devram Nagare, Aachal Manohar Arbat, Kunal Shivaji Jagtap, Dipti Shankar Gajbhare, Pravin Namdev Sathe, Aniket Baban Khaire, Prasad Laxman Gorde; Formulation and Evaluation of Medicated Oral Jelly of Vitamin B Complex Capsule; International Journal of Research Publication and Reviews; Vol 4, no 4, pp 5742-5752 April 2023.
  9. Khalid A Ibrahim , Asma Nawaz, Shamim Mumtaz, Furqan Muhammad Iqbal, Ahmad Khan, Shahiq uz Zaman, Nasser M Abd El-Salam, Naseem Ullah, Tajammal Hussain and Syed Nisar Hussain Shah; Formulation, Evaluation and release rate characteristics of medicated jelly of vitamin C ;Pak. J. Pharm. Sci., Vol.30, No.2(Suppl), March 2017, pp.579-583.

Photo
Ilsa Momin
Corresponding author

Department of Pharmaceutics, Shri. Pandit Baburao Chaughule College of Pharmacy, Bhiwandi

Photo
Moin Khan
Co-author

Department of Pharmaceutics, Shri. Pandit Baburao Chaughule College of Pharmacy, Bhiwandi

Photo
Nishma Khan
Co-author

Department of Pharmaceutics, Shri. Pandit Baburao Chaughule College of Pharmacy, Bhiwandi

Photo
Nikita Kharik
Co-author

Department of Pharmaceutics, Shri. Pandit Baburao Chaughule College of Pharmacy, Bhiwandi

Photo
Khushi Gupta
Co-author

Department of Pharmaceutics, Shri. Pandit Baburao Chaughule College of Pharmacy, Bhiwandi

Photo
Abir Fatima Memon
Co-author

Department of Pharmaceutics, Shri. Pandit Baburao Chaughule College of Pharmacy, Bhiwandi

Ilsa Momin*, Moin Khan, Nishma Khan, Nikita Kharik, Khushi Gupta, Abir Fatima Memon, A Review On: Paediatric Paracetamol Oral Jelly, Int. J. of Pharm. Sci., 2025, Vol 3, Issue 3, 1331-1340. https://doi.org/10.5281/zenodo.15026839

More related articles
An Overview of Pictogram: Need in Healthcare Syste...
Jikar Anuja, Kemekar Disha, Bhoyar Yash, Awachat Vrushabh, More S...
Development Of 1,5-Benzothiazepine-Based Molecules...
Priyanka, Neha Sahay, Deepak Kumar, Vineeta Rawat, Deval Harswrup...
Overview Of Liposomes: Versatile Nanocarriers For ...
Taufik Mulla, Heer Trivedi, Sumukh Vasist, Mokshi Rana, ...
Desin And Development of Immediate Release Tablet Using Kollidon 90f As Carrier...
Pruthviraj Kale , Atish velhal , P. D. Jadhav, V. K. Redasani, Monika sabale , ...
Review Article of Herbal Medicine...
Digambar Bagul, Yashoda Suryawanshi, ...
In-Silico ADMET (Absorption, Distribution, Metabolism, Excretion, and Toxicity),...
Nandhini N., Ajai J., Lakshmanan M., Anushka C., Mohammed Navas V., Dr. P. Aravanan, Dr. D. Dhachana...
Related Articles
Review on lipid based carrier as a drug delivery system...
Pranali Subhash jadhav, Pranali Hatwar, Gajanan Sanap, ...
Development Of Spanlastics: Nanovesicular Drug Delivery Of Oxiconazole Nitrate...
Krishnananda Kamath K., Vindhya V. S., Shripathy D., A. R. Shabaraya, ...
Pyrazole: A Promising Agent for The Ovarian and Prostate Cancer Therapy ...
Mahek Patel, Hit Ghodasara, Sanmey Pradhan, Riddhi Trivedi, ...
Review Article on Adrenergic Neurotransmitter...
Ankita Joshi , Samiksha Auti , Gaikwad Vaishnavi , Zine Snehal, Mule Asmita , Jadhav Bhakti , ...
An Overview of Pictogram: Need in Healthcare System...
Jikar Anuja, Kemekar Disha, Bhoyar Yash, Awachat Vrushabh, More Sachin, ...
More related articles
An Overview of Pictogram: Need in Healthcare System...
Jikar Anuja, Kemekar Disha, Bhoyar Yash, Awachat Vrushabh, More Sachin, ...
Development Of 1,5-Benzothiazepine-Based Molecules with Potential Antimicrobial ...
Priyanka, Neha Sahay, Deepak Kumar, Vineeta Rawat, Deval Harswrup, Priyanshu, Monika, ...
Overview Of Liposomes: Versatile Nanocarriers For Drug Delivery And Beyond...
Taufik Mulla, Heer Trivedi, Sumukh Vasist, Mokshi Rana, ...
An Overview of Pictogram: Need in Healthcare System...
Jikar Anuja, Kemekar Disha, Bhoyar Yash, Awachat Vrushabh, More Sachin, ...
Development Of 1,5-Benzothiazepine-Based Molecules with Potential Antimicrobial ...
Priyanka, Neha Sahay, Deepak Kumar, Vineeta Rawat, Deval Harswrup, Priyanshu, Monika, ...
Overview Of Liposomes: Versatile Nanocarriers For Drug Delivery And Beyond...
Taufik Mulla, Heer Trivedi, Sumukh Vasist, Mokshi Rana, ...